Site hosted by Angelfire.com: Build your free website today!
next up previous contents
Next: Momento de uma força Up: Produto vetorial de dois Previous: Propriedades do produto vetorial   Contents

Produto vetorial expresso em termos das componentes cartesianas

Utilizando a Equação (3.1) e sabendo que os vetores unitários \bgroup\color{black}$\vec{i}$\egroup, \bgroup\color{black}$\vec{j}$\egroup e \bgroup\color{black}$\vec{k}$\egroup, são ortogonais entre si, e adotando a regra da mão direita para a nossa conveção de sinais podemos escrever que:


\begin{displaymath}
\begin{array}{ccc}
i \times i = 0 & j \times i = - k & k \ti...
...\times k = -j & j \times k = i & k \times k = 0 \\
\end{array}\end{displaymath} (3.6)



A Figura 3.4 ilustra de forma mais simples com obter as relações expressas em (3.6)

Figure 3.4: Convenção para o produto vetorial entre vetores unitários
\resizebox{25mm}{25mm}{ %
\vspace{-20mm} %
\includegraphics{/home/marvinsc/Academico/Ueg/Mecanica/2001_1/Aulas/Figuras/prodvetuni.eps}}



Seguindo o sentido anti-horário, acharemos vetores positivos, assim teremos que i vezes j é igual a k (positivo), ao passo que seguindo o sentido horário, acharemos vetores negativos, assim, observando a figura veremos que j vezes i é igual a -k. E assim pode-se reconstruir as nove equações apresentadas em (3.6). Agora iremos ver em que isso nos ajuda para representar produtos vetoriais em termos de componentes cartesianas.



Sabemos que um vetor qualquer \bgroup\color{black}$\vec{v}$\egroup pode ser expresso em termos de suas componentes cartesisanas através da seguinte equação:


\begin{displaymath}\bgroup\color{black} \vec{v} = v_x \vec{i} + v_y \vec{j} + v_z \vec{k} \egroup\end{displaymath}



Portanto, podemos representar o produto vetorial \bgroup\color{black}$\vec{C} = \vec{A} \times \vec{B}$\egroup do seguinte modo:


\begin{displaymath}\bgroup\color{black} \vec{C} = (a_x \vec{i} + a_y \vec{j} + a...
...ec{k}) \times (b_x \vec{i} + b_y \vec{j} + b_z \vec{k}) \egroup\end{displaymath}



Aplicando a propriedade distributiva e relembrando as identidades apresentadas em (3.6) chegaremos 3.1 a seguinte equação:


\begin{displaymath}
\vec{C} = (a_y b_z - a_z b_y) \vec{i} + (a_z b_x - a_x b_z) \vec{j} + (a_x b_y - a_y b_x) \vec{k}
\end{displaymath} (3.7)



As componentes cartesianas do produto verorial \bgroup\color{black}$\vec{C}$\egroup são, portanto, iguais a:


\begin{displaymath}
\begin{array}{l}
c_x = a_y b_z - a_z b_y \\
\\
c_y = a_z b_x - a_x b_z \\
\\
c_z = a_x b_y - a_y b_x \\
\end{array}\end{displaymath} (3.8)



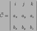
Observando a Equação (3.7), percebe-se que o segundo menbro representa a expansão de um determinante. O produto vetorial \bgroup\color{black}$\vec{C}$\egroup pode então ser expresso da seguinte forma, que é mais facilmente memorizável:


\begin{displaymath}
\vec{C} = \left\vert
\begin{array}{ccc}
i & j & k \\
\\
a_x & a_y & a_z \\
\\
b_x & b_y & b_z \\
\end{array}\right\vert
\end{displaymath} (3.9)


next up previous contents
Next: Momento de uma força Up: Produto vetorial de dois Previous: Propriedades do produto vetorial   Contents
marvinsc 2006-03-29