Site hosted by Angelfire.com: Build your free website today!
next up previous contents
Next: Introdução ao Método da Up: Fundamentos Teóricos dos Métodos Previous: Introdução ao Método da   Sumário

Introdução ao Método da Flexibilidade - Abordagem Matricial


Agora vejamos o caso apresentado na Figura 18:

Figura: Método da Flexibilidade - Viga com dois redundantes
\resizebox{140mm}{90mm}{
\vspace{-20mm}
\includegraphics{/mnt/oldlin/Academico/Ueg/CME/Figuras/vigabalanco2v.eps}}



No caso da viga apresentada na Figura 18-(a) temos uma estrutura estaticamente indeterminada do segundo grau, e neste caso, a solução do problema via método da flexibilidade requer que sejam rompidos dois vínculos da viga. No caso específico da viga da Figura 18-(a) foram rompidos os vínculos dos apoios B e C. Como determina o método da flexibilidade, foram colocados os redundantes estáticos $R_B$ e $R_C$ no locais onde os vínculos foram rompidos, resultando no esquema estrutural da Figura 18-(c).



O próximo passo é calcular os deslocamentos na estrutura liberada nos pontos onde atuam os redundantes. Em primeiro lugar, calculam-se os deslocamentos devido a ação do carregamento que solicita a estrutura (o carregamento distribuído $w$). Em seguida calculam-se os deslocamentos devido a ação dos redundates $R_B$ e $R_C$.



A partir de agora, chamaremos os deslocamentos $\Delta$ devido aos carregamento de $D_L$. O subíndice $L$ indica apenas que é um deslocamento devido ao carregamento (em inglês load), não sendo propriamente um subíndice, mais um indicador. Os $D_{Li}$ terão os subíndeces $i$, que indicam a posição $i$ onde o deslocamento está sendo calculado.



Para o caso apresentado na Figura 18-(d), podemos calcular $D_{L1}$ e $D_{L2}$ através da técnica da carga virtual unitária do modo ilustrado nas Figuras 19 e 20.

Figura 19: Deslocamento DL1 na estrutura liberada devido as cargas
\resizebox{120mm}{45mm}{
\vspace{-10mm}
\includegraphics{/mnt/oldlin/Academico/U...
...D_{L1} = \frac{3wL^4}{128EI} \\
\\
\end{array}\end{displaymath}\end{minipage}}

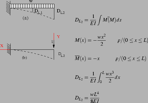
Figura 20: Deslocamento DL2 na estrutura liberada devido as cargas
\resizebox{120mm}{45mm}{
\vspace{-10mm}
\includegraphics{/mnt/oldlin/Academico/U...
...tyle D_{L_2} = \frac{wL^4}{8EI}
\\
\end{array}\end{displaymath}\end{minipage}}



Agora que já calculamos os valores dos deslocamentos devido aos carregamentos atuando na estrutura liberada, falta calcular os deslocamentos devido a ação dos redundates atuando na estrutura liberada. Só que desta vez, calcularemos as flexibilidades nos pontos 1 e 2 de tal sorte que poderemos expressar os deslocamentos devido aos redundantes em função de suas respectivas flexibilidades. Os cálculos das flexibilidades, está ilustrado nas Figuras 21 e 22.

Figura 21: Flexibilidades $F_{11}$ e $F_{21}$ na estrutura liberada
\resizebox{120mm}{45mm}{
\vspace{-10mm}
\includegraphics{/mnt/oldlin/Academico/U...
...laystyle F_{21} = \frac{5L^3}{48EI}
\end{array}\end{displaymath}\end{minipage}}

Figura 22: Flexibilidades $F_{12}$ e $F_{22}$ na estrutura liberada
\resizebox{120mm}{45mm}{
\vspace{-10mm}
\includegraphics{/mnt/oldlin/Academico/U...
...splaystyle F_{22} = \frac{L^3}{3EI}
\end{array}\end{displaymath}\end{minipage}}



Agora que já sabemos as flexibilidades nos pontos 1 e 2, podemos calcular os deslocamentos na estrutura liberada devido a ação das redundantes estáticas. Uma vez que já foram calculadas as flexibilidades, podemos expressar os deslocamentos na forma da Equação (2.5):


\begin{displaymath}
\begin{array}{c}
D_{11} = F_{11} R_B \\
D_{12} = F_{12} R_C \\
D_{21} = F_{21} R_B \\
D_{22} = F_{22} R_C \\
\end{array}
\end{displaymath} (40)



Agora que já sabemos quais os valores dos deslocamentos causados pelo carregamento e pelas redundates, podemos escrever as equações de Equilíbrio para os nós B e C (que chameremos de 1 e 2), na forma da Equação (2.6):


\begin{displaymath}
\begin{array}{l}
\displaystyle \delta_1 = -\frac{3wL^4}{128E...
...= -\frac{wL^4}{8EI} + F_{21} R_B + F_{22} R_C \\
\end{array}
\end{displaymath} (41)



A Equação (2.6) pode ser matricialmente expressa na forma da Equação (2.7):


\begin{displaymath}
\left[
\begin{array}{c}
\delta_1 \\
\delta_2 \\
\end{array...
...\cdot
\left[
\begin{array}{c}
R_B\\
R_C\\
\end{array}\right]
\end{displaymath} (42)



Adotando a nomeclatura semelhante a utilizada por gereweaver, nominaremos os deslocamentos gerais como $D$; os deslocamentos devido as cargas de $D_L$, e as forças redundates denotadas por $Q$. Desse modo a Equação (2.7), é reescrita em temos gerais na forma da Equação (2.8):


\begin{displaymath}
\left[
\begin{array}{c}
D_1 \\
D_2 \\
\end{array}\right]
=...
...\cdot
\left[
\begin{array}{c}
Q_1\\
Q_2\\
\end{array}\right]
\end{displaymath} (43)



Substituindo os valores já calculados para a Equação (2.8), obteremos a Equação (2.9):


\begin{displaymath}
\left[
\begin{array}{c}
0 \\
0 \\
\end{array}\right]
=
\le...
...\cdot
\left[
\begin{array}{c}
R_B\\
R_C\\
\end{array}\right]
\end{displaymath} (44)



Agora, se desejamos obter os valores das redundantes $[Q]$, isolamos esse termo da Equação (2.9), obtendo a Equação (2.10):


\begin{displaymath}
\left[
\begin{array}{c}
R_B\\
R_C\\
\end{array}\right]
\cd...
...frac{3wL^4}{128EI} \\
\frac{wL^4}{8EI} \\
\end{array}\right]
\end{displaymath} (45)



De modo, que se desejamos obter os valores das redundantes, precisaremos inverter a matriz de flexibilidade, conforme indicado na Equação (2.11):


\begin{displaymath}
\left[
\begin{array}{c}
R_B\\
R_C\\
\end{array}\right]
=
\...
...frac{3wL^4}{128EI} \\
\frac{wL^4}{8EI} \\
\end{array}\right]
\end{displaymath} (46)



Utilizando a técnica algébrica descrita em boldrini, podemos obter a inversa da matriz de flexibilidade, dada pela Equação (2.12):


\begin{displaymath}[F]^{-1}
=
\frac{48EI}{7L^3}
\left[
\begin{array}{cc}
16 & -5 \\
-5 & 2 \\
\end{array}\right]
\end{displaymath} (47)



Assim, podemos reescrever a Equação (2.11) na forma da Equação (2.13):


\begin{displaymath}
\left[
\begin{array}{c}
R_B\\
R_C\\
\end{array}\right]
=
\...
...128EI}
\left[
\begin{array}{c}
3 \\
16 \\
\end{array}\right]
\end{displaymath} (48)



Resolvendo (2.13), chegamos aos valores dos redundantes expressos na Equação (2.14)


\begin{displaymath}
\left[
\begin{array}{c}
R_B\\
R_C\\
\end{array}\right]
=
\...
...56}
\left[
\begin{array}{r}
-32 \\
17 \\
\end{array}\right]
\end{displaymath} (49)


next up previous contents
Next: Introdução ao Método da Up: Fundamentos Teóricos dos Métodos Previous: Introdução ao Método da   Sumário
marvinsc 2006-05-04