Torricelli's Law and Fluid
Dynamics
MATH 2413 Research Project 2002
Home | Representation | Analysis | Experimentation | Comparison | Extension | Presentation
Experimentation
Measurements
There are four pipes to be used in the experiments, each with differing
radii for the hole and the pipe itself. The properties of each pipe are as follows:
Pipe 1: big pipe, big hole (BB) <-- view graphs
r = 0.25", R = 1", f = 4", h0
= 55.25"
Pipe 2: big pipe, small hole (BS) <-- view graphs
r = 0.125", R = 1", f = 3.3", h0
= 58.6"
Pipe 3: small pipe, big hole (SB) <-- view graphs
r = 0.25", R = 0.5", f = 3.3", h0
= 57.4"
Pipe 4: small pipe, small hole (SS) <-- view graphs
r = 0.125", R = 0.5", f = 3.25", h0
= 55.7"
Based on the equations of the previous section, we can predict the graphs for
each of these 4 pipes in terms of height, velocity, and volume. Note that the
t-value listed in the first column is the time at which all three functions
hit zero, and is applicable to all three equations for that pipe.
Units:
time - seconds
height - inches
velocity - inches per second
volume - square inches
Note that gravity is in inches per seconds squared.
| hBB = 0.26598t^2 - 7.66689t + 55.25, t < 14.4126 | vBB = -8.51130t + 123.169 | VBB = 0.83559t^2 - 24.0862t + 173.573 |
| hBS = 0.01662t^2 - 1.97398t + 58.6, t < 59.3726 | vBS = -2.12783t + 126.334 | VBS = 0.05222t^2 - 6.20143t + 184.097 |
| hSB = 4.25565t^2 - 31.2586t + 57.4, t < 3.67259 | vSB = -34.0452t + 125.034 | VSB = 3.34238t^2 - 24.5504t + 45.0819 |
| hSS = 0.26598t^2 - 7.69805t + 55.7, t < 14.4712 | vSS = -8.51130t + 123.169 | VSS = 0.20890t^2 - 6.04603t + 43.7467 |
Composite graphs of the functions above:
(color key: pipe BB, pipe
BS, pipe SB,
pipe SS)
Height:
Velocity:
Volume:
Experiment 1: Deriving Torricelli's Law with Drainage Time
Objective: Measure the time it takes to drain each pipe of water from the top. If the time matches up with theory, then Torricelli's Law is verified.
Procedure:
Take each pipe. Plug the hole, and fill it with water to the top. Begin
timing as the hole is unplugged, making sure that the pipe is perpendicular
to the ground the entire time. Record the time t at which water no
longer flows from the hole. Repeat this process five times for each pipe.
Data:
| Pipe | Trial 1 | Trial 2 | Trial 3 | Trial 4 | Trial 5 | Average |
| BB | 13.2 s | 13.3 s | 13.6 s | 13.2 s | 13.1 s | 13.3 s |
| BS | 50.6 s | 50.2 s | 50.2 s | 50.3 s | 50.5 s | 50.4 s |
| SB | 3.8 s | 3.8 s | 3.6 s | 3.7 s | 3.9 s | 3.8 s |
| SS | 13.2 s | 13.0 s | 13.2 s | 13.2 s | 13.1 s | 13.1 s |
Results:
Pipe BB drains in 13.3 seconds.
Pipe BS drains in 50.4 seconds.
Pipe SB drains in 3.8 seconds.
Pipe SS drains in 13.1 seconds.
Experiment 2: Proving Torricelli's Law with Height and Velocity
Objective: Measure the exit velocity and time elapsed of the water column at different times, to derive Torricelli's Law for the pipe system at hand.
Procedure:
The velocity can be determined as follows:
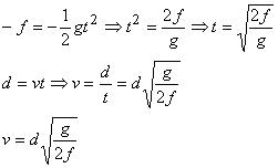
As f, the distance from the bottom of the hole to the ground, is constant for each individual pipe, we can measure d for a given time t and use projectile motion to determine v. To do so, at time t stop the flow of water, and determine where the water landed on the ground. (This can alternately be done by measuring the time t when the flow of water passed a predetermined distance d.)
Bucket Height: 14"
Pipe BB:
| Distance | Time | Velocity (derived) | |
| Trial 1 | 0" | 13.30 s | 0 in/s |
| Trial 2 | 8" | 11.87 s | 26.2 in/s |
| Trial 3 | 16" | 10.37 s | 52.4 in/s |
| Trial 4 | 28" | 6.65 s | 91.7 in/s |
| Trial 5 | 40" | 4.04 s | 131.0 in/s |
| Trial 6 | 58" | 0 s | 189.9 in/s |
Pipe BS:
| Distance | Time | Velocity (derived) | |
| Trial 1 | 0" | 50.40 s | 0 in/s |
| Trial 2 | 8" | 45.54 s | 26.7 in/s |
| Trial 3 | 16" | 39.12 s | 53.4 in/s |
| Trial 4 | 28" | 28.93 s | 93.5 in/s |
| Trial 5 | 40" | 22.70 s | 133.6 in/s |
| Trial 6 | 62" | 0 s | 207.1 in/s |
Pipe SB:
| Distance | Time | Velocity (derived) | |
| Trial 1 | 0" | 3.80 s | 0 in/s |
| Trial 2 | 8" | 3.31 s | 26.7 in/s |
| Trial 3 | 16" | 3.04 s | 53.4 in/s |
| Trial 4 | 28" | 2.04 s | 93.5 in/s |
| Trial 5 | 40" | 1.01 s | 133.6 in/s |
| Trial 6 | 60" | 0 s | 200.4 in/s |
Pipe SS:
| Distance | Time | Velocity (derived) | |
| Trial 1 | 0" | 13.1 s | 0 in/s |
| Trial 2 | 8" | 12.1 s | 26.8 in/s |
| Trial 3 | 16" | 10.4 s | 53.5 in/s |
| Trial 4 | 28" | 6.89 s | 93.7 in/s |
| Trial 5 | 40" | 4.59 s | 133.8 in/s |
| Trial 6 | 58" | 0 s | 194.0 in/s |
Results:
The data for each pipe forms a plot for which we can find a linear regression:
Pipe BB: v(t) = -13.8145t + 188.307 (r =
-0.997871)

Pipe BS: v(t) = -4.12361t + 214.023 (r =
-0.995462)
Pipe SB: v(t) = -50.1263t + 194.878 (r =
-0.994724)
Pipe SS: v(t) = -14.342t + 196.17 (r = -0.996945)
