Site hosted by Angelfire.com: Build your free website today!

Torricelli's Law and Fluid Dynamics
MATH 2413 Research Project 2002

Home | Representation | Analysis | Experimentation | Comparison | Extension | Presentation


Analysis

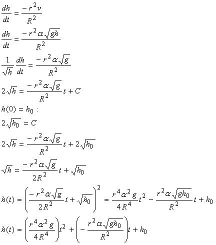
Initial Derivation

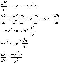
The following properties can be used to describe the entire pipe system, as discussed in Representation: R, r, A, a, h, v, and V. We attempt to find relationships between these properties, so that we can use predictable behavior of some properties to examine other, less predictable behavior.

We have a few to begin with:

These eliminate the need for A and a.

We also have that .

The following is also true:

This is not integrable because v is a function of t.

Torricelli's Law
Torricelli's Law is , where v is the exit velocity of the water, h is the height of the water column, and g is the gravitational constant (g = 9.81 m/s2 = 386 in/s2). However, in a realistic situation, this will not be entirely accurate. For example, viscosity of the liquid must be considered. Any rotation inside the pipe results in an energy loss, as well. Thus, a more general form of the law is appropriate. For water, Torricelli's Law is .

Final Derivation

We can now solve for h(t), given the initial condition h(0) = h0:

Thus, according to theory, if t = 0 is when water is first released from the pipe, a plot of the height against time should match up with the function for h(t).

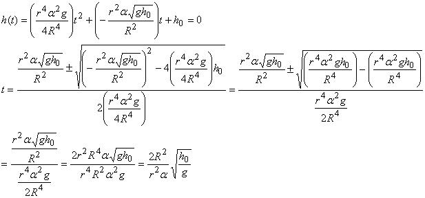
A point of particular significance here is the point where h(t) = 0. In fact, for all t greater than or equal to the value of t that satisfies that equality, h(t) = 0. We can thus make a piecewise graph, but first we need to find that value of t:

With other expressions, we can now also solve for v(t) and V(t):

We now know everything about the behavior of this system.

Summary

We are now ready to begin experimenting!