Cellular and Molecular Biology Topics
![]()
Amino Acids Properties
There are five highly hydrophobic amino acids: valine, leucine, isoleucine, methionine and phenylalanine. There are three other mostly hydrophobic amino acids: alanine, proline and tryptophan. There are seven highly hydrophilic amino acids: lysine, arginine, histidine, asparagine, glutamine, aspartate, and glutamate. Other hydrophilic amino acids are Glycine, serine, Threonine, cysteine and tyrosine. Non polar amino acids include Glycine, alanine, valine, leucine, isoleucine, methionine, phenylalanine, tryptophan and proline. Polar are serine, Threonine, cysteine, asparagine, glutamine and tyrosine. There are three positively charged (basic) amino acids: histidine, lysine and arginine; and two negatively charged (acid) amino acids: aspartate and glutamate. Two contain sulfur: cysteine and methionine. Three contain a hydroxyl: serine, Threonine and tyrosine. Two contain amino side chains: asparagine and glutamine. Three are aromatic: phenylalanine, tyrosine and tryptophan.
Weak acids and bases have acid dissociation constants Ka:
HA
H+
+ A- ; Ka = [H+] [A-]
[HA]
Dissociation depends on the pH of the solution. Ka can be expressed as pKa (= -log Ka). The pKa of a weak acid is the pH at which 50% of the protons (H+) are dissociated. The Henderson-Hasselbach equation relates pH, pKa and ion concentration:
pH = pKa + log [A-]
[HA]
The terminal carboxyl group of a protein dissociates at pH 3-4. The amino terminus dissociates at pH 8-9. Seven standard amino acids have ionizable side chains:
Tyrosine (pKa3 = 10.07) |
Cysteine (pKa3 = 8.18) |
Histidine (pKa3 = 6.00) |
|
Lysine (pKa3 = 10.53) |
Arginine (pKa3 = 12.48) |
Aspartate (pKa3 = 3.65) |
Glutamate (pKa3 = 4.25) |
Take Quiz: [Q1]
Back to Basics: Biological
Chemistry
Biochemistry
Advance Topics: Medical Pharmacology
Modified Amino Acids
The sulfur atom in cysteine may be substituted by a selenium to yield selenocysteine. There are a few enzymes that incorporate selenocysteine in their active sites.
+ Se
+ S
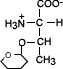
Amino acids with an hydroxyl group (tyrosine, serine, Threonine) can undergo phosphorylation by attaching a phosphate group to the hydroxyl.
+ PO3(2-)
+ H+ + e-
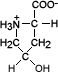
An important post-translational modification in collagen is the hydroxylation of proline to yield 4-hydroxyproline. A diet low in vitamin C prevents this hydroxylation and produces scurby.
+ OH-
+ H+ + e-
Certain amino acids have lipid groups attached to serve as membrane anchors (acylation). Proteins may be attached to a fatty acid chain or a farnesyl group.
S-farnesyl-cysteine
N-myristoryl-glycine
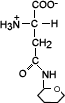
Glycosilation occurs when a sugar is attached to an amino (N-linked) or hydroxyl (O-linked) group.
N-glucosyl-asparagine
O-glucosyl-threonine
Take Quiz: [Q1] [Q2] [Q3]
Back to Basics: Biochemistry
Basic Protein Structure
Proteins may be fibrous, globular or membrane-bound. Fibrous proteins are water insoluble and built upon a single repetitive structure assembled into cables or threads. They are usually static molecules that provide mechanical support, forming long fibers.
Collagen is an important fibrous protein. Glycine is important in the structure of collagen because it is found every third residue, at the meeting points of the three chains. Any other amino acid would not fit in that position, and would lead to bone deformities.
Globular proteins are water soluble, compact and roughly spherical, tightly folded polypeptide chains. They have a hydrophobic interior, a hydrophilic surface, and indentations or clefts that specifically bind a substrate. Examples are hemoglobin and myoglobin.
There are two types of transmembrane proteins: serpentines and single-pass. The serpentines pass through the membrane several times, i.e. they have several transmembrane domains. A lot of receptors are single-pass transmembrane proteins, where the ligand binding domain is on the outside and the signaling domain on the inside face of the plasma membrane.

Non-covalent interactions
such as hydrogen bonding, ion-pairing and the hydrophobic effect help stabilize
protein structure.
Ionic interactions probably contribute the most stabilization if the side chains
are not exposed to the surface. Hydrogen bonding is weaker than ionic interactions
but proteins are rich with hydrogen-bonding opportunities: side-chain to side-chain,
main chain to main chain, and side chain to main chain. The hydrophobic amino
acid side chains react like oil droplets when placed in water. They tend to
cluster together to avoid interacting with water. These interactions are the
weakest overall but their strength lies in their total number.
Take Quiz: [Q1] [Q2]
Back to Basics: Biological Chemistry
Biochemistry
Levels of Protein Structure
Proteins have four levels of structure. Primary structure is the linear sequence of amino acids and any other covalent bonds that describe the polypeptide chain.
| 1 acatttgctt ctgacacaac tgtgttcact
agcaacctca aacagacacc atggtgcacc 61 tgactcctga ggagaagtct gccgttactg ccctgtgggg caaggtgaac gtggatgaag 121 ttggtggtga ggccctgggc aggctgctgg tggtctaccc ttggacccag aggttctttg 181 agtcctttgg ggatctgtcc actcctgatg ctgttatggg caaccctaag gtgaaggctc 241 atggcaagaa agtgctcggt gcctttagtg atggcctggc tcacctggac aacctcaagg 301 gcacctttgc cacactgagt gagctgcact gtgacaagct gcacgtggat cctgagaact 361 tcaggctcct gggcaacgtg ctggtctgtg tgctggccca tcactttggc aaagaattca 421 ccccaccagt gcaggctgcc tatcagaaag tggtggctgg tgtggctaat gccctggccc 481 acaagtatca ctaagctcgc tttcttgctg tccaatttct attaaaggtt cctttgttcc 541 ctaagtccaa ctactaaact gggggatatt atgaagggcc ttgagcatct ggattctgcc 601 taataaaaaa catttatttt cattgc |
The information for determining the correct folding of a protein lies within its amino acid sequence. A protein can be denatured and then allowed to reform and will end up with the same foldings.
Premature termination of protein synthesis by the introduction of a stop codon or mutation that causes a large insertion could cause drastic changes in protein structure and function. Even a single amino acid change, for example changing of a small side chain for a bulky one, would make the protein very unstable and could degrade before it can assemble into the complete protein or as it is synthesized. For example, the lack of functional beta-chains in some red-blood cells proteins, will make the polipeptide unfold and precipitate forming inclusion bodies (Heinz bodies). This causes red cell fragility and result in hemolytic anemia since cells lyses as they squeeze through capillaries.
Secondary structure describes the backbone conformation of the amino acids, if they are arranged into specially organized structures or a random coil. The most common secondary structures are the alpha-helix and the beta-sheet.
The alpha-helix is a double stranded helix stabilized by hydrogen bonds. A hydrogen bond forms between each amino group and the carbonyl oxygen 3.5 residues down. In some cases, the alpha-helix is amphipatic, with one face of the helix being non-polar, the other polar.


A beta-sheet consists of multiple beta-strands arranged in sheets stabilized by hydrogen bonds between carbonyl oxygens and amino hydrogens on adjacent strands. The strands can be either parallel (running in the same N-terminus to C-terminus direction) or antiparallel (running in opposite directions). Parallel sheets are less stable than antiparallel sheets. Beta-turns frequently occur at the end of two adjacent segments of an antiparallel beta-sheet. It is a 180 degree turn involving four amino acids. The carbonyl oxygen of the first amino acid forms a hydrogen bond with the amino of the fourth amino acid.
<draw>
Tertiary structure is the three-dimensional arrangement of the secondary structure, including detailed interactions between the amino acids in the protein. Motifs are commonly repeated substructures of domains. For example, a common structural motif found in many proteins is beta-alpha-beta.
Quaternary structure only applies to multi-subunit proteins and describes the arrangement of the individual subunits with respect to each other. In a folded protein, domains are discrete folded structural units that perform some specific function.

Some enzymers have multiple domains, one responsible for binding the substrate (binding domain), another responsible for catalyzing the reaction (catalytic domain), and in some cases a domain responsible for binding a coenzyme (coenzyme-binding domain).
Chaperonins are proteins that aid multi-subunit proteins to fold correctly. Each subunit must wait around while the other subunits are synthesized. Chaperonins bind to the newly synthesized protein and prevents it from pairing up with the wrong proteins.
Many serious disorders are due to alternative folding within proteins that promote aggregation and deposition. Important examples are Alzheimer’s disease, Huntington’s disease, a1-antitrypsin deficiency, and prion encephalopathies like Mad-Cow disease. In many cases, the protein is initially properly synthetized and folded, but there is a conformational transition that forms very stable beta-sheet structures. These beta-sheets form polymerized aggregates that precipitate in tissue, giving rise to plaques and neurofibrillary tangles. The causative processes that give rise to the structural transition are unknown, but once formed the new conformations appear to promote the transition of other proteins..
Take Quiz: [Q1] [Q2]
Back to Basics: Biological Chemistry
Biochemistry
Separation of Proteins
Separation of different proteins may be acomplished by using either gel-filtration, affinity chromatography or electrophoresis.
Electrophoresis involves separation based on charge. If we put a mixture of proteins in an electric field, each protein will move towards the anode or cathode at a rate determined by its net charge under the conditions of the experiment. If the mixture of proteins is denatured with detergent (sodium dodecylsulfate, SDS) the denatured proteins form complexes with the negatively charged SDS, binding at a ratio of about one SDS for every two amino acid residues. This gives the protein a large negative charge roughly proportional to its mass, and will move at a fixed rate towards the positive electrode. If the electrophoresis matrix is set up to let smaller molecules pass through faster than larger ones, then we can separate the proteins by subunit size.
Different forms of hemoglobin can be separated by non-denaturing electrophoresis. Each hemoglobin molecule is a tetramer with two alpha and two beta chains (a2b2). Embryonic hemoglobin has an epsilon chain instead of the beta chain (a2e2). Fetal hemoglobin has a gamma chain instad of the beta chain (a2g2). A small percent of adult hemoglobin has a delta chain instead of the beta chain (a2d2). This yields four different hemoglobin tetramers (HbF, HbA, HbS and HbA2) which posses different net charges and will migrate differently in an electric field.
In gel filtration, the sample is applied to the top of a column consisting of porous beads made of an insoluble but highly hydrated polymer. Small molecules can enter the beads, but larger ones cannot, thus small molecules are distributed both in the aqueous solution inside and outside the beads, while larger molecules are only outside. Larger molecules flow more rapidly through the column and emerge first because a smaller volume is available to them.
Affinity chromatography takes advantage of the high affinity of a protein for a specific chemical group. For example, to purify a protein with high affinity for glucose, the protein is passed through a column of beads containing covalently attached glucose residues. The protein of interest will bind to the column while other proteins will flow through. The bound protein can be released from the column by adding a concentrated solution of glucose to displace the column-attached glucose from the binding sites in the protein.
Take Quiz: [Q1] [Q2] [Q3]
![]()
Continue
to "Enzymes" or take a test: [T1] [T2]
[T3].
Need more practice? Answer the following review questions:
Questions not yet available