Cellular and Molecular Biology Topics
![]()
Energy of Reaction
The Gibbs free energy DG’ is the energy change for a reaction at constant pressure and temperature. It is independent of the rate of reaction, but is dependent on the concentration of substrates and products. DG’ is negative if the reaction proceeds from substrate to products, and is zero when the reaction reaches equilibrium.
DG’
< 0
S
P
DG’
= 0
S
P
DG’
> 0
S
P
The standard free energy DG°’ is the Gibbs free energy of reaction at pH = 7 and 1 M substrate concentration.
DG’
= DG°’ + RT ln [P]
[S]
The free-energy of activation DG‡ is the energy required to reach the intermediate transition state S/P between substrate and product.
S
S/P
P
According to transition state theory, the rate of a reaction is a function of DG‡: the lower the DG‡, the faster the reaction rate. Enzymes accelerate the rate of reaction by lowering the DG‡ of the reaction.
S
S/P
P ; DG‡a
S + E
E(S/P)
P + E ; DG‡b
DG‡a > DG‡b
Enzymes use proximity, orientation and transition state binding to achieve accelerated reaction rates. Reactants must come together in the proper orientation for a chemical reaction to occur. Enzymes serve as templates to collect and orient substrates and coenzymes using the active site amino acids.
Enzymes enhance catalysis by binding and stabilizing transition states. A transition state is not a stable intermediate, rather a chemist’s view of the type of chemical structure at the instant of bond making and breaking. Stabilization of the transition state can occur by hydrogen bonding, van der Walls interactions, and/or electrostatic interactions with amino acids in the active site of the enzyme. Electrostatic stabilization is particularly important when partial charges develop during the transition state.
Take Quiz: [Q1]
Back to Basics: Biological
Chemistry
Biochemistry
Advance Topics: Intro to Pharmacology & Toxicology
Acid-Base Catalysis: HIV Protease
Many enzymes accelerate chemical reactions by participating in proton transfers. Partial proton transfer to or from an acidic or basic amino acid side chain stabilizes the transition state. Reactions susceptible to acid-base catalysis include those at phosphate, carbonyl or peptide groups. Amino acids with ionizable side chains can participate in acid base catalysis: Asp, Glu, His, Lys, Arg, Tyr, and Cys.
An example of such an enzyme is HIV protease. The proteins in HIV are produced as long poly-proteins, which are then cleaved by HIV protease to generate the functional form of the viral proteins. Soon after the budding of a new HIV particle from the host cell membrane, HIV protease becomes active, resulting in the cleavage of proteins into various subunits and generation of the mature form of HIV. This process is essential for the generation of the infectious virus. Inhibitors of HIV protease block this maturation process, thus rendering the viral particles non-infectious.
HIV protease is comprised of two identical subunits, each contributing a single Asp residue to the active site. One of the Asp is protonated, the other is not.

The cleavage of peptide bonds involves acid-catalyzed protonation of the carbonyl residue to be cleaved, and base-catalyzed activation of a water molecule that attacks the carbonyl carbon of the same amino acid to yield a tetrahedral intermediate.

The intermediate breaks down when one Asp removes the proton it originally donated, and the other Asp donates the proton it obtained from water to the peptide nitrogen.

Take Quiz: [Q1] [Q2] [Q3]
Back to Basics: Biochemistry
Electrostatic and Covalent Catalysis : Serine Proteases
In covalent catalysis, the transition state is stabilized through the formation of a covalent enzyme-substrate complex that yields a modified enzyme intermediate. In electrostatic catalysis, the stabilization of charged transition states by electrostatic interactions with amino acid chains at a polar active site can substantially enhance catalytic rates.
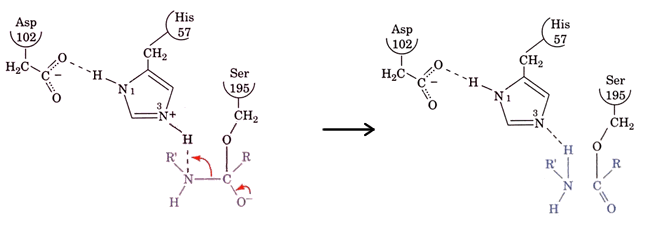
Serine proteases digest proteins by using both covalent and electrostatic catalysis. The substrate binding site has the Asp-His-Ser catalytic triad and an oxyanion hole (a proton-rich area).

Following peptide binding, His acts as a base, removing a proton from Ser, which activates the Ser to attack the substrate’s peptide carbonyl. This forms a negatively charged tetrahedral intermediate which is electrostatically stabilized by the proton-rich oxyanion hole. (Serine preotease mechanism pictures taken from an animation at http://info.bio.cmu.edu/Courses/03231/LecF00/Lec26/lec26.html. See the complete animation at http://info.bio.cmu.edu/Courses/03231/Protease/SerPro.htm)

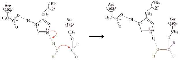
Then His donates its proton to the leaving amine group, leaving the rest of the molecule covalently bonded to Ser. Asp serves to stabilize and orient His during this process. The result is a covalent acyl-enzyme intermediate, with serine covalently linked to the carbonyl group of the substrate.

The second half of the reaction involves activating a water molecule to hydrolyze the acyl-enzyme intermediate, yielding a free carboxylated product and regenerating Ser.


Serpins are serine protease inhibitors. They form irreversible complexes with certain proteases and allow the proteolitic enzyme to be cleared from the circulation. a1-tripsin, which is much more effective at inhibiting elastase than trypsin (?), controls the activity of extracellular proteases. Diminishing levels of a1-tripsin lead to destruction of lung alveoli. Antithrombin III is a serpin associated with the regulation of the clotting cascade and functions to inactivate thrombin molecules before the cascade runs out of control.
Chymotrypsin, trypsin and elastase are serine proteases that digest proteins by catalyzing the hydrolysis of peptide binds. They all posses the same catalytic residues but differ in which amino acids are recognized for hydrolysis. Their substrate specificities are determined by the amino acids that line a substrate binding pocket beyond the catalytic triad. Chymotrypsin has a wide pocket and will recognize large hydrophobic side chains like that of phenylalanine. Trypsin recognizes positively charged side chains like Lys, Arg and His, because it has an Asp in the pocket. Elastase has valine and threonine residues blocking the pocket for all but the smallest side chains, like that of Ala.
Take Quiz: [Q1] [Q2]
Back to Basics: Biological Chemistry
Biochemistry
Zymogens and Isoenzymes
Some enzymes are synthesized as inactive precursors to prevent unwanted activity within the cell. The pancreatic enzymes chymotrypsin and trypsin are synthesized as chymotrypsinogen and trypsinogen. Both enzymes are secreted from the pancreas in zymogen granules and are activated after their release.
Enzyme forms that catalyze the same reaction but have different amino acid sequences are called isoenzymes. They can be encoded from different genes and are often expressed in different tissues or during different periods of development. For example, the H and M subunits of lactate dehydrogenase are encoded from two different genes. They are similar enough to form both homotetrameric and heterotetrameric forms. Each form is made in a different tissue, but the relative amount of H or M expressed in each is different. For instance, the H form is expressed at much higher levels in the myocardium, while the M-form is expressed at much higher levels in muscle tissue. Tissue damage resulting from necrosis and cell lysis will release these isoenzymes into the serum and their presence can be used to diagnose different types of tissue injury, in this case heart attack versus skeletal muscle injury.
Take Quiz: [Q1] [Q2]
Back to Basics: Biological Chemistry
Biochemistry
Enzyme Kinetics
At steady-state conditions, the velocity of an enzyme-catalyzed reaction equals the change in product over time or the change in substrate over time:
Km
kcat
E + S
E·S
E + P
v
= -d[S] = d[P]
dt dt
This steady-state relationship is based on several assumptions:
Given
these conditions, the Michaelis-Menten equation for an enzymatic reaction is:
v
= kcat[E]0[S]
Km + [S]
were Km is the dissociation constant for E·S (the
enzyme-substrate transition complex). Since kcat[E]0
is defined as Vmax, then:
v = Vmax
[S]
Km + [S]
When the concentration of substrate is much larger than Km, v = Vmax (a zero-order reaction). When [S] is much smaller than Km, v = Vmax[S]/Km (a second-order reaction). Km equals the substrate concentration where v = 0.5Vmax.
The
Michaelis-Menten equation may be linearized by taking the reciprocal of both
sides, which yields a Lineweaver-Burk plot describing a linear equation.
1 =
Km 1
+ 1
v
Vmax [S]
Vmax
y = m x + b
Take Quiz: [Q1] [Q2] [Q3]
Back to Basics: Biological Chemistry
Biochemistry
Advance Topics: Intro to Pharmacology & Toxicology
Rate of Reaction: Alcohol Dehydrogenase
From the Michaelis-Menten equation, the initial rate of reaction is directly proportional to [E]0 at fixed [S].
v
= kcat[E]0[S]
Km + [S]
Therefore, we can determine how much enzyme we have by measuring the initial rate versus the total amount of protein (?) in units of either mass/volume (mg/mL) or concentration/volume (mM). Enzyme activity is measured in units of activity. A unit is the amount of enzyme required to convert one mmol of substrate to product per minute.
Also from the Michaelis-Menten equation it is evident that the larger the Km, the lower the initial rate of rection. In other words, Km measures the afinity of the enzyme for a particular substrate, and a lower Km value indicates a higher affinity.
Km
kcat
E + S
E·S
E + P
For example, aldehyde dehydrogenase catalyzes the oxidation of acetaldehydes to acetate using NAD+ as cofactor. There are two isoenzymes in liver cells : ALDH1 and ALDH2. ALDH2 has a low Km (~1 mM) for acetaldehyde, and the majority of acetaldehyde (>99%) is metabolized through this isoenzyme. The production of acetaldehyde from alcohol dehydrogenase is slow enough that acetaldehyde does not build up in tissues much above 2 mM.

Approximately 50% of the Asian population has an inactive allele of ALDH2, therefore
the protein is produced but is not active in the cell Those individuals become
ill when they consume alcohol, but their overall ethanol metabolism appears
to be largely unaffected. ALDH1 possesses a Km ~ 30 mM,
but similar Vmax. Thus, under a large ethanol load the
levels of acetaldehyde build up 10-30 fold before ALDH1 can metabolize acetaldehyde.
But eventually the ethanol/acetaldehyde load is metabolized at a similar rate
(?).

The aversive reaction to ethanol is due to the build-up of acetaldehyde, a toxic metabolite, in tissues. This leads to general vasodilation, tachycardia, nausea, and dizziness. The anti-alcoholic drug Antabuse (disulfiram) works by provoking the same reaction through inhibition of ALDH2.
Take Quiz: [Q1] [Q2] [Q3]
Advance Topics: Intro to Pharmacology & Toxicology
Enzyme Inhibition
An enzyme inhibitor is a substance that reduces the velocity of an enzyme-catalyzed reaction. Although pH and temperature may have the same effect, we are only concerned with substances that specifically bind to an enzyme and alter activity.
Competitive inhibitors and substrate molecules compete for the same binding site on the enzyme. Thus the presence of a competitive inhibitor lowers the “effective concentration” of the substrate, making the Km value appear higher. At very high substrate concentrations the effect of this type of inhibitor can be eliminated. In other words, the substrate can out-compete the inhibitor, so the ultimate Vmax value is unaffected.

A noncompetitive inhibitor binds to a site different from the substrate-binding site and affects only Vmax. Km is unaffected since the inhibitor does not interact with the substrate-binding site.

Take Quiz: [Q1] [Q2] [Q3]
Advance Topics: Intro to Pharmacology & Toxicology
![]()
Continue
to "Enzyme Regulation" or take a test:
[T1] [T2] [T3].
Need more practice? Answer the following review questions:
Questions not yet available