Bu bölüm Deniz Dershanelerinin katkılarıyla hazırlanmıştır. Teşekkürlerimle

Özdeşlikler ve Çarpanlara Ayırma


12.  mn olmak üzere
(m2/n-m) + (n2/m-n) = 6 ve m.n=2 ise (m-n)2 kaçtır?

A) 18     B) 24     C) 26     D) 27     E) 28

 

13.  [ (x-y)3+4xy(x-y)] / (x2-y2)  ifadesinin en sade şekli aşağıdakilerden hangisidir?

A) x-y      B) x+y      C) (x-y)2
D) xy       E) 1

 

14.  x-y=5 ise
(x2-y2+4x-4y)/(x2-y2-8y-16)  ifadesinin sayısal değeri kaçtır?

A) 1      B) 5/4      C) 9/5      D) 4      E) 5

 

15.  x(a-b) = y(a+b) ise
      (x+y)/(x-y)  ifadesinin eşiti nedir?

A) a/b    B) b/a    C) -a/b    D) -b/a    E) 1

 

16.  (4x-3y)/(y-2x) = 1/3 bağıntısı veriliyor. x ve y birer tamsayı ise (x2-y2) ifadesinin en büyük değeri nedir?

A) -96     B) -74      C) -25      D) -24      E) 0

 

17.  [1/(x+y-2)] = [2/(x+y+2)]  ve  (1/x)+(1/y)=3 ise, x2+y2- xy  nin değeri kaçtır?

A) 24      B) 30      C) 32      D) 36      E) 38

 

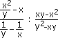
18.    işleminin sonucu nedir?

A) xy      B) 1/x      C) 1/y      D) x      E) y

 

19.  [(2ax2+ax)/(a2x3-x)].[(ax+1)/(2x+1)]
       ifadesinin en sade biçimi aşağıdakilerden hangisidir?

A) a/(ax-1)      B) 1/(x-1)      C) (ax+1)/(ax2-1)
D) 2a/(x-1)      E) (a+2)/(ax-1)

 

20.  x=0,064   y=1,936  ise
(2x2-xy-y2).(x2+xy+y2)/(2x+y).(x3-y3ifadesinin değeri kaçtır?

A) 0      B) 1      C) 2      D) 3      E) 4

 

21.  [(713+493)/120]-71,49  'un eşiti aşağıdakilerden hangisidir? 

A) 729    B) 625    C) 576    D) 484    E) 391

 

22.   eşiti nedir?

A) 0                  B) 1              C) (x-1)/(x-2)
D) (x-3)/(x-5)     E) 1/(x-5)

 

23.  x+y=6 ise,
(x2-y2-3x-3y)/(x2-y2-6x-9)   ifadesinin sayısal değeri aşağıdakilerden hangisidir?

A) 1/3     B) 1/2     C) 2     D) 2/3     E) 3/2

 

24.  (a4-a3+a-1)/(a4+a3+a+1)   ifadesinin en sade şekli nedir?  

A) (a+1)/a          B) (a-1)/a      C) (a-1)/(a+1)
D) (a+1)/(a-1)     E) -1

 

25.     ifadesinin sonucu aşağıdakilerden hangisidir?

A) 1              B) x+y              C) 1/(x+1)
D) 2              E) x/(x+1)

 


Önceki Sayfa

Konular Başlıkları


[Ana Sayfa] [Matematik Tarihi] [Java ile çizim programlari]  [Incelenen konular]  [Matematikçilerin biyografileri]  [Düşünce Yolu]
 [Matematik link arsivi] [Üniversite Hazırlık]  [Ziyaretçi Defteri]