Site hosted by Angelfire.com: Build your free website today!
next up previous contents
Next: Resumo da introdução aos Up: Fundamentos Teóricos dos Métodos Previous: Introdução ao Método da   Sumário

Introdução ao Método da Rigidez - Abordagem Matricial


A viga da Figura 23 representa um caso simples de apenas um grau de indeterminação cinemática, didaticamente válido para ilustrar o método da rigidez, entretanto ao se analisar uma estrutura mais complexa, com um número maior de indeterminações cinemáticas é necessário um procedimento mais sistematizado e facilmente generalizável. Para ilustrar esse procedimento mais sistematizado analisaremos o caso apresentado na Figura 24.

Figura: Método da Rigidez - abordagem matricial
\resizebox{120mm}{150mm}{
\vspace{-20mm}
\includegraphics{/mnt/oldlin/Academico/Ueg/CME/Figuras/vigarigidezmatri.eps}}



O primeiro passo da análise da viga apresentada na Figura 24(a) é o cálculo do grau de indeterminação cinemática e a identificação dos deslocamentos incógnitos. Desconsiderando os deslocamentos axiais, a viga da Figura 24(a) pode ter até 6 deslocamento nodais (translação vertical e rotação dos nós A, B e C). Desses seis deslocamentos possíveis, 4 são conhecidos (dois do nó A, um do nó B e um do nó C), desse modo, a estrutura é cinematicamente indeterminada do segundo grau e os deslocamentos desconhecidos são as rotações dos nós B e C, que nominaremos respectivamente de $D_1$ e $D_2$, conforme o indicado na Figura 24(a).



O segundo passo da análise é obter a estrutura restringida, colocando engastes nos pontos onde a estrutura apresenta os deslocamentos incógnitos $D_1$ e $D_2$, ou seja, nos pontos B e C. Desse modo obtém-se a estrutura restringida apresentada na Figura 24(b).



Em seguida da detreminação da estrutura restringida, calcula-se as ações de extrmidade na estrutura restringida devidas ao carregamento real, para tanto, utilizam-se os valores pré-tabelados do anexo 1, casos 1 e 4. [*] Essas ações de extremidade estão graficamente indicadas na Figura 24(b) e serão nomidadas por $A_{L1}$ e $A_{L2}$.



Utilizando os valores tabelados no Anexo 1, e lembrando que para o nó B contribuem 2 barras ao mesmo tempo (barra AB e barra BC), teremos que:


\begin{displaymath}
\begin{array}{l}
\displaystyle A_{L1} = - \frac{w(2L)^2}{12}...
...wL^2}{3} \\
\displaystyle A_{L2} = \frac{PL}{4}\\
\end{array}\end{displaymath} (59)



Agora que já sabemos os valores das ações de extremidade devidas aos carregamentos reais, devemos calcular os valores dessas mesmas ações de extremidade agora devidas a ação dos deslocamentos incógnitos. Para que a solução fique mais genérica e mais matricialmente tratável calcularemos primeiramente os valores das ações de extrmidade devido a deslocamentos unitários nos memsmo pontos e sentidos dos deslocamentos $D_1$ e $D_2$, de modo que as ações de extremidade devida aos deslocamentos serão expressas na forma $[S][D]$. Utilizando a segunda tabela do anexo 1 e lembrando que concorrem duas barras no ponto B (barras AB e BC), teremos:


\begin{displaymath}
\begin{array}{l}
\displaystyle S_{11} = \frac{4EI}{2L} + \fr...
...\fbox{$ \displaystyle S_{22} = \frac{2EI}{L}$}} \\
\end{array}\end{displaymath} (60)



Agora que já obtivemos os valores das ações de extremidade devido a deslocamentos unitários podemos expressar essas mesmas ações em função dos deslocamentos incónitos na forma matricial $[S][D]$, e logo em seguida escrevermos a equação de equilíbrio, também conhecida como equeção de superposição para os nós B e C, da seguinte forma:


\begin{displaymath}[A]= [A_L] + [S][D]
\end{displaymath} (61)



Onde:



Também costuma-se nominar $[A]$, $[A_L]$ e $D$ por vetores.



Para o caso da viga da Figura 24(b) a Equação (2.26) é expressa como:


\begin{displaymath}
\left[
\begin{array}{c}
A_1 \\
A_2 \\
\end{array}\right]
=...
...\cdot
\left[
\begin{array}{c}
D_1\\
D_2\\
\end{array}\right]
\end{displaymath} (62)



Substituindo os valores já obtidos nas Equações (2.24) e (2.25) na Equação (2.27), teremos:


\begin{displaymath}
\left[
\begin{array}{c}
0 \\
0 \\
\end{array}\right]
=
\le...
...\cdot
\left[
\begin{array}{c}
D_1\\
D_2\\
\end{array}\right]
\end{displaymath} (63)



Isolando a matriz do termos independentes ($[A_L]$) da Equação (2.28), teremos que:


\begin{displaymath}
\left[
\begin{array}{c}
\left( \frac{wL^2}{3} - \frac{PL}{4...
...\cdot
\left[
\begin{array}{c}
D_1\\
D_2\\
\end{array}\right]
\end{displaymath} (64)



Neste ponto da análise chega-se a um sistema de equações onde a matriz (ou vetor) $[D]$ é o vetor das incógnitas a serem determinadas. Reescrevendo a Equação (2.29) de outra forma, fica mais fácil visualizar a expressão matricial de um sistema de equações, conforme mostrado na Equação (2.30):

\begin{displaymath}
\frac{EI}{L}
\left[
\begin{array}{cc}
4 & 1 \\
1 & 2 \\
\e...
...frac{PL}{4} \right) \\
- \frac{PL}{4} \\
\end{array}\right]
\end{displaymath} (65)



Existem várias formas de se resolver a Equação (2.30), que em termos práticos resolvida numericamente, através de um método numérico específico para a solução de sistemas de euqações lineares. No caso específico do método da rigidez, onde a matriz de rigidez $S$ é sempre uma matriz quadrada e simétrica, a decomposição de Cholesky é um método numericamente veloz e eficiente.



Em capítulos posteriores aprofundaremos os estudos em alguns métodos numéricos necessários para a montagem e a solução de sistemas de equações como os da Equação (2.30). Por ora, continuemos a solução imaginando que ela será realizada sem a ajuda de um computador digital. Para isso será necessário obter a inversa da matriz de rigidez $[S]^{-1}$. Uma das formas de se inverter uma matriz quadrada é apresentada por boldrini, e seguindo esta metodologia obteremos a inversa da matriz de rigidez apresentada na Equação (2.30) como sendo a matriz $[S]^{-1}$ (2.31):


\begin{displaymath}[S]^{-1} = \frac{L}{7EI}
\left[
\begin{array}{rr}
2 & -1 \\
-1 & 4 \\
\end{array}\right]
\end{displaymath} (66)



Uma vez que se tem a inversa da matriz de rigidez $[S^{-1}]$, pode-se resolver a Equação (2.30), chegando-se a expressão da Equação (2.32):


\begin{displaymath}
\left[
\begin{array}{c}
D_1 \\
D_2 \\
\end{array}\right]
...
...frac{PL}{4} \right) \\
- \frac{PL}{4} \\
\end{array}\right]
\end{displaymath} (67)



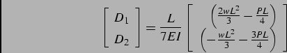
O vetor $[D]$ da Equação (2.32) contém os deslocamentos que solucionam o problema, expressos por:


\begin{displaymath}
\left[
\begin{array}{c}
D_1 \\
D_2 \\
\end{array}\right]
...
... \frac{wL^2}{3} - \frac{3PL}{4} \right) \\
\end{array}\right]
\end{displaymath} (68)



Agora que os deslocamentos foram encontrados, é possível calcular as reações de apoio e esforços internos nas extremidades dos membros. Existem basicamente dois caminhos para se proceder os cálculos restantes: um deles visa a otimização para solução via método numérico e computador digital, outra possibilita a solução analítica do problema.



Em termos práticos, é óbvio que para os problemas mais complexos adota-se a solução via computador digital, e nos próximos capítulos veremos essa abordagem de maneira mais aprofundada. Entretanto, antes de adentrar-mos na seara da programação em computadores digitais é necessário compreender a mecânica dos processos de cálculo do método da rigidez, visto que essa compreenção é essencial para que futuramente possamos realmente entender o uso dos algoritimos de programação na solução computacional das análises matriciais de estruturas reticuladas.



Na solução via método da rigidez, primeiramente são calculados os deslocamentos, e a partir destes pode-se achar as reações de apoio e esforços internos nas barras, conforme vimos de maneira genérica na Seção 2.3. Agora, que já sasbemos os valores dos deslocamentos, podemos calcular as reações de apoio conforme o especificado na Equação (2.34):


\begin{displaymath}
A_R = A_{RL} + A_{RD} \cdot D
\end{displaymath} (69)



Onde:



Os valores de $A_{RL}$ e $A_{RD}$ são obtidos usando as mesmas tabelas do anexo 1.



De modo análogo ao da Equação (2.34), podemos calcular as ações de extrmidade dos membros na forma expressa pela Equação (2.35):


\begin{displaymath}
A_M = A_{ML} + A_{MD} \cdot D
\end{displaymath} (70)



Onde:



Os valores de $A_{ML}$ e $A_{MD}$ também são obtidos usando as mesmas tabelas do anexo 1.



Calculemos as reações de apoio para o exemplo da viga da Figura 24, utilizando a Equação (2.34). O esquema estrutural da Figura 25 indica como obter cada uma das parcelas da Equação (2.34)

Figura: Método da Rigidez - abordagem matricial
\resizebox{120mm}{150mm}{
\vspace{-20mm}
\includegraphics{/mnt/oldlin/Academico/Ueg/CME/Figuras/reacoesvigarigidezmatri.eps}}



Observando a Figura 25, e lembrando que no ponto B concorrem duas barras (AB e BC), podemos utilizar as tabelas do Anexo 1 e determinar os componentes dos vetores $A_{RL}$ e $A_{RD}$ do seguinte modo:


\begin{displaymath}
\begin{array}{lcl}
\displaystyle A_{RL1} & = & \frac{w2L}{2}...
...c{3EI}{2L^2} & & A_{RD42} & = & -\frac{3EI}{L^2}\\
\end{array}\end{displaymath} (71)



Substituindo os valores da Equação (2.36) na Equação (2.34), teremos que:


\begin{displaymath}
\left[
\begin{array}{c}
A_{R1}\\
A_{R2}\\
A_{R3}\\
A_{R4}...
...\cdot
\left[
\begin{array}{c}
D_1\\
D_2\\
\end{array}\right]
\end{displaymath} (72)



Para fins ilustrativos suponhamos que a viga da Figura 24(a), seja feita de uma material cujo módulo de elasticidade é igual a $2,8 \times 10^{10} \;\; N/M^2$, (concreto armado $f_{ck}$=25MPa) tenha uma seção transversal com $I = 1,5 \times 10^{-3} \;\; m^4$ (aproximadamente uma seção retangular 20x50cm), que L seja igual a 1 metro, que $w = 2\times 10^4 \;\; N/m$ e que $P = 2\times 10^4 \;\; N$, podemos obter os valores numéricos da Equação (2.33), de modo que:


\begin{displaymath}
\left[
\begin{array}{c}
D_1 \\
D_2 \\
\end{array}\right]
=...
...\times 10^{-5}\\
-7,3696 \times 10^{-5}\\
\end{array}\right]
\end{displaymath}



Perceba que $D_2$ é negativo, isso implica que o deslocamento real no apoio C se dá no sentido horário, o que é razoável de se esperar uma vez que o vão que contém as cargas distribuídas possui peso suficiente para "levantarbegintex2html_wrap_inline$$ o vão que possui apenas a carga concentrada. Portanto, de acordo com os deslocamentos encontrados, a linha deslocada arbitrada para a viga apresentada na Figura 24(a) deve ser corrigida para a linha deslocada da viga apresentada na Figura 26

Figura: Linha deslocada após análise numérica
\resizebox{120mm}{50mm}{
\vspace{-20mm}
\includegraphics{/mnt/oldlin/Academico/Ueg/CME/Figuras/linhadeslocada.eps}}



Perceba ainda que em módulo, uma vez que o sinal serve apenas para indicar o sentido do giro, $D_2 > D_1$. O que siginifica que as maiores "flexasbegintex2html_wrap_inline$$ ocorrerão no vão menos carregado (BC).


next up previous contents
Next: Resumo da introdução aos Up: Fundamentos Teóricos dos Métodos Previous: Introdução ao Método da   Sumário
marvinsc 2006-05-04