Site hosted by Angelfire.com: Build your free website today!
V.6 No 4, pp 13 - 19

13

The features of inclined force acting

 

The features of inclined force acting on 1D homogeneous

elastic lumped line and corresponding modernisation

of the wave equations

 

Sergey B. Karavashkin

Special Laboratory for Fundamental Elaboration SELF

187 apt., 38 bldg., Prospect Gagarina, Kharkov 61140, Ukraine

Phone 38 (0572) 276624; e-mail: selflab@go.com , selflab@mail.ru

 Abstract

We analyse the exact analytical solutions for 1D elastic lumped lines under action of an external force inclined to the line axis. We show that in this case an inclined wave being described by an implicit function propagates along the line. We extend this conclusion both to free vibrations and to distributed lines. We prove that the presented solution in the form of implicit function is a generalizing for the wave equation.

When taken into consideration exactly, the dynamical processes pattern leads to the conclusion that the divergence of a vector in dynamical fields is not zero but proportional to the scalar product of the partial derivative of the given vector with respect to time into the wave propagation direction vector.

Keywords: Mathematical physics, Wave physics, Dynamics, Elastic lumped lines, Inclined force action, General solution of the wave equation, Vector flgebra, Divergence of vector in dynamical fields, ODE systems

Classification by MSC 2000: 30E25; 70E55; 70J35; 70J60; 70K40; 70F40

Classification by PASC 2001: 02.60.Lj; 05.10.-a; 05.45.-a; 45.30.+s; 46.15.-x; 46.25.Cc; 46.40.-f; 46.40.Fr

1. Introduction

In the previous papers of this cycle, [1]-[3], we have considered the longitudinal vibrations in a 1D elastic lumped line. However, in such line the vibrations of more general form are possible, if we attribute the concept of one-dimensionality only to the general shape of a line but not to the degree of freedom of the line elements vibration. In this paper we will study the features of exact analytical solutions for this class of problems.

We will also present some results developing the vector algebra for dynamical fields, as well as some essential improvements of general solution of the wave equation. Though these results seem simple, their impact on the further concept of basic models will be essential enough, they to be formulated especially. This is why, targeting to formulate the most completely the basis of the exact analytical solutions for dynamical many-body systems, we do not care, are the considered problems complicated or simple, but draw our attention to the importance of such or other aspect in general context of the studied phenomenon.

2. Vibrations in a semi-finite elastic line under an inclined external force acting on the line start

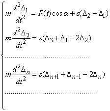
In the view of stated above, supposing an elastic line elements having two degrees of vibration freedom, we can present the model as shown in Fig. 1. In case of small vibration amplitude (linear vibrations), this model can be described by two systems of equations – with respect to x- and y- projections of the external force action correspondingly:

fig1.gif (4985 bytes)

(1)
and

(2)

where alphacut.gif (839 bytes) is the angle of an external force inclination to the line axis.

Contents: / 13 / 14 / 15 / 16 / 17 / 18-19