LA PARTÍCULA DENTRO DEL CRISTAL BANDAS DE ENERGÍA Cuando un electrón se mueve a través de la red cristalina actúan sobre él fuerzas electrostáticas que hacen variar su cantidad de movimiento, la partícula se acelera al acercarse al núcleo atómico y se desacelera al alejarse de él. Este constante cambio de su energía cinética es compensado con un aumento o disminución de su energía potencial de acuerdo a la distancia de la partícula con respecto al núcleo, se establecen por lo tanto niveles de energía potencial que delimitaran el movimiento de las partículas a través de la red. En una red cristalina el potencial se distribuye periódicamente, en un cristal su distribución es tridimensional en el volumen del cuerpo. Se considera la energía potencial cero para una partícula completamente desligada del núcleo, pero aumenta rápidamente al acercarse a él, de manera que estando en un nivel de energía como él se encontrara atrapado en regiones debido a la imposición de las barreras de potencial. A medida que el electrón se encuentra en niveles energéticos superiores, las bandas permitidas se hacen más amplias y puede moverse con facilidad hasta el punto en las diferentes bandas adyacentes se superponen y el electrón puede desplazarse con libertad de un átomo a otro. Las bandas superpuestas en donde los electrones pueden moverse libremente son llamadas bandas de conducción en la que se encuentra fijos se denominan bandas de valencia; los electrones de la banda de valencia pueden pasar a la banda de conducción si se le suministra energía suficiente. Los electrones que se encuentran en las capas inferiores a la banda de conducción son llamados electrones de valencia, los que se encuentran en la banda de conducción son considerados electrones libres. MODELO ANALITICO DE BANDAS DE ENERGÍA - El modelo de Bandas de energía es tratar al electrón dentro del cristal como una partícula libre, con una masa especial denominada Masa Efectiva. - Hay una repetición periódica del campo potencial. - Si el electrón se acerca al núcleo se acelera y se aleja se desacelera, esto se mantiene hasta caer en la influencia del campo potencial del próximo núcleo. - El campo de energía potencial del cristal es periódico. LAS CURVAS SON LA ENERGÍA SEGÚN COULOMB Y LAS RECTAS SON LA ENERGÍA SEGÚN BOHR REPRESENTACION DEL CAMPO DE ENERGÍA POTENCIAL DEL CRISTAL UNIDIMENSIONAL - 
![]()
Los niveles de energía se desdoblan formando bandas de energía.

MODELO DE KRONIG – PENNEY
Es posible realizar un modelo matemático del comportamiento de los electrones dentro de un cristal mediante una aproximación .
Consideremos un electrón único que se desplaza a través de la red de tal manera que en la región I Ep = 0 y en la región II Ep = ¥ . El movimiento de la partícula esta determinado por la Ecuación de Schrödinger independiente del tiempo que es:
![]()
![]()
- El campo potencial del cristal es periódico, se puede describir por funciones periódicas:
u(x) es, entonces, una función de Bloch periódica
- u(x), altera la función onda f (x) en su amplitud, la solución, son del tipo:
f (x) = u(x) ejKx
DETERMINACION DE LAS FUNCIONES DE BLOCH
EL MODELO DE KRONIG – PENNEY

La Ecuación de Schrödinger:
![]()
Soluciónes:
u(x) = Función de Bloch
Representa la periodicidad de la red
f (x) = u(x) ejKx
ONDA PLANA DEL VECTOR DE ONDA K
REGIÓN I
Condición Ep(x) = 0
Para la ecuación de Schrödinger :
![]()
![]()
f I(x) = uI(x) ejKx
![]()
Tenemos la ecuación:
![]()
![]()
![]()
REGIÓN II
Condiciones:
Ep (x) = Eo
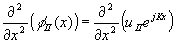
Para la Ecuación de Schrödinger:
![]()
![]()
![]()
f II(x) = uII(x) ejKx
se obtiene la ecuacion diferencial
![]()
SOLUCION DE LA ECUACION DIFERENCIAL
uI(x) = a e j (a - K) x + B e -j (a + K) x
uII(x) = C e j (b - K) x + e -j (b + K) x
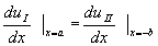
Las ecuaciones restantes, se obtienen de las condiciones de continuidad en los limites de las regiones, la función u(x) y ¶ u/¶ x debe ser continua en los limites de las regiones.
Condiciones para X=0
uI(0) = uII(0)
![]()
Condicion X = - b , X = 0
![]()
uI(a) = uII(-b)
Al solucionar estas ecuaciones se obtiene un sistema de 4 ecuaciones de 4 incógnitas:
![]()
![]()
N = Número de átomos
Valido para E < Eo
1.- El primer miembro es una relación trigonométrica.
2.- El segundo miembro es una función armónica válida entre + 1 y –1.
3.- El tercer miembro puede dar valores mayores que 1.
Para E > Eo
Con la relación 8

entonces, b = jg , es imaginarlo.
senh jg b = jsen g b
cosh jg b = cos g b
![]()
![]()
Para E > Eo
L = a + b

- Se obtiene bandas, donde los valores energéticos son permitidos.
- Bandas donde no son permitidos los valores energéticos o bandas prohibidas.
Del modelo de Kronig – Penney se puede hacer la siguiente simplificación.
Eo ® ¥ con b ® 0 Þ Eo b es constante
a @ L y b b = 0
![]()
senh b b @ b b
cosh b b @ 1
b 2 >> a 2
Entonces:
![]()
b 2 = E0
a = L
![]()
h (a L) = cos (KL)


MASA EFECTIVA
- La velocidad de la partícula es la de grupo.
- El paquete de ondas transporta la energía de la partícula.
F = Fuerza externa ejercida
m = masa de la partícula.
Vg= Velocidad de grupo.
a = Aceleración.
![]()

La partícula en el cristal:
- Es una magnitud no determinada.
- Depende de múltiples variables: temperatura, material, campo aplicado entre otros.
- No se puede modelar matemáticamente con exactitud.
![]()
m* es la masa efectiva
Se define:
Determinación de la masa efectiva:

![]()
![]()

Por lo tanto la masa efectiva es:

MASA EFECTIVA POSITIVA
- La partícula se acelera en el sentido de los electrones (Este es el concepto de electrón), las bandas de energía son cóncavas.
MASA EFECTIVA NEGATIVA
La partícula se acelera en sentido contrario de los electrones (Este es el concepto de hueco de acuerdo a la Mecánica Cuántica), Las bandas de energía son convexas.
BANDAS DE ENERGÍA EN EL ESPACIO K
La dependencia de la energía respecto al vector de onda K, depende de la orientación de los planos del cristal y de la dirección en el cristal.
El germanio (Ge) y el silicio (Si), son denominados semiconductores de banda de energía indirecta porque sus mínimos energéticos en la banda de conducción para, los electrones, están alejados del valor K=0; mientras que semiconductores como el arseniuro de galio (AsGa) son denominados semiconductores compuestos o de banda de energía directa porque sus mínimos energéticos en la banda de conducción están justo en el valor K=0.
En la figura se muestra lo esplicado anteriormente:

El ancho de la banda prohibida del germanio es de 0.7eV, el del silicio es de 1.11eV y el del arseniuro de galio es del 1.4eV.

MODELO SENCILLO DE BANDAS DE ENERGÍA
EL ELECTRÓN EN EL CRISTAL
La ecuación de Schröedinger tiene soluciones para valores discretos de energía en el caso de la partícula libre.
Existe en el cristal un gran número de átomos que interactúan y que están distribuidos periódicamente, por lo tanto, la energía potencial del electrón es periódica.
Así como los átomos interactúan entre sí, también lo hacen los niveles de energía y se desdoblan en tantos niveles como átomos existan en el cristal formando las bandas de energía.

Cuando x tiende a infinito, la energía toma valores discretos
Cuando x es muy pequeño, entonces, los niveles se convierten en bandas de energía.
Se crea el siguiente modelo:
Eg es la barrera de energía de la banda prohibida
La banda de energía define el tipo de material
TIPOS DE MATERIALES

|
Alta resistividad |
Resistividad media y baja conductividad |
Baja resistividad y alta conductividad |
CONCEPTO DE HUECO Y ELECTRÓN EN EL MODELO SENCILLO DE BANDAS DE ENERGÍA

|
Todos los estados de la banda de valencia están ocupados y la de conducción esta vacía, es decir, el material tiene resistividad infinita. |
En un material intrínseco (sin impurezas ) por cada electrón existe un hueco. Si un semiconductor gana energía, entonces, un portador de carga puede saltar de la banda de valencia a la banda de conducción . |
MODELO DE ENLACE COVALENTE
Semiconductores como el Germanio y el Silicio son tetravalentes es decir, que tienen cuatro electrones en su capa externa y por lo tanto forman enlaces covalentes ( Comparten electrones de valencia con átomos vecinos).

|
En el cero absoluto de temperatura todos los enlaces están completos. La banda de valencia esta llena y la de conducción vacía por lo tanto el material posee una resistividad infinita porque no hay electrones libres. |
Para temperaturas mayores al cero absoluto en el material intrínseco los electrones ganan energía y pasan de la banda de valencia a la banda de conducción por lo tanto se rompen los enlaces produciendo pares electrón - hueco. La conductividad aumenta y las corrientes son de huecos y electrones es por eso que los dispositivos fabricados con materiales como este se llaman bipolares ( Un transistor ) |
PÁGINA PRINCIPAL | CONOCIMIENTOS BÁSICOS | FUNDAMENTOS DE LA FÍSICA CUÁNTICA | MODELO ATÓMICO DE BOHR | DUALIDAD ONDA PARTÍCULA | ECUACIÓN DE SCHRÖDINGER | CONCEPTOS DE CRISTALOGRAFÍA | LA PARTÍCULA CARGADA DENTRO DEL CRISTAL | SEMICONDUCTORES | BIOGRAFÍA Y OBRAS DE EINSTEIN