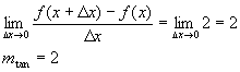
Determine the slope of the line tangent to ƒ(x)=2x-3 at point (x,y).
Solution by the four-step process,
1) ƒ(x+
x) = 2(x+
x)-3
2) ƒ(x+
x)-ƒ(x) = (2x+2
x-3)-(2x-3)
= 2
x
3)
4)

Note in Example 1 that the slope of ƒ is constant. This is not surprising since we know that the graph of ƒ is a line. Of course, not all graphs have constant slope, as the next example illustrates.
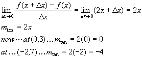
Determine the formula for the slope of the graph of y = x2 + 3 (see figure 5).
What is its slope at (0,3)? At (-2,7)?
Solution by the four-step process,
1) ƒ(x+
x) = (x+
x)2+3
2) ƒ(x+
x)-ƒ(x) = x2+2x(
x)+(
x)2+3-x2-3
= 2x(
x)+(
x)2
3)
4)

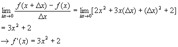
Find the derivatives of ƒ(x)=x2+2x.
Solution
1) ƒ(x+
x) = (x+
x)3+2(x+
x)
2) ƒ(x+
x)-ƒ(x) = x3+3x2(
x)+3x(
x)2+(
x)3+2x+2(
x)-(x3+2x)
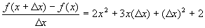
= 3x2(
x)+3x(
x)2+(
x)3+2(
x)
3)
4)
