|
DNA,
RNA & Proteins |
|
|
Summary Outline of DNA Information: A. DNA Experiments 1. Frederick Griffith 2. Oswald Avery 3. Hershey & Chase B. Structure & Organization of DNA 1. Nucleotides 2. Chargaff's Rule 3. Rosalind Franklin 4. Watson & Crick 5. Antiparallel Orientation 6. Prokaryotes vs. Eukaryotes C. DNA Replication 1. Base Pairing 2. DNA Polymerase 3. Prokaryotes vs. Eukaryotes 4. Detailed Explanation D. Damage to DNA 1. Causes 2. Repair Enzymes 3. Mutations E. Eukaryotic Chromosomes 1. Structure 2. Components F. Genome Organization 1. Components 2. Human Genome Project G. The Central Dogma 1. DNA 2. RNA 3. Protein |
A. DNA
Experiments
1. Frederick Griffith - 1928 -
studied mice infected with pneumonia caused by two different bacterial strains
a. Virulent
- contained DNA coding for production of a capsule to protect bacteria from
mouse's immune system; therefore, the mouse would die
b. Nonvirulent
- did not contain DNA coding for capsule production; therefore, the mouse would
survive
c. Griffith's
Experiment - injected mice with four different treatments of the above
bacterial strains
1) Living, virulent bacteria ---- Death of Mouse

2) Living, nonvirulent bacteria --- Survival of Mouse

3) Heat-killed, virulent bacteria --- Survival of Mouse

4) Heat-killed, virulent + living, nonvirulent --- Death of Mouse

d. Griffith's
Conclusion - there was a transfer of genetic information between bacterial
cells (bacterial transformation)
2. Oswald Avery - 1944 - showed that
Griffith's bacterial transformation only occurred with DNA and not protein
a. Avery's
Conclusion - DNA is the genetic material
b. Scientific
Dissent - the scientific community did not accept Avery's conclusion
3. Hershey & Chase - 1952 - worked
with bacteriophages (viruses, made only of DNA and protein, that infect
bacteria)
a. Hypothesis
- bacteriophages inject their DNA into bacteria in order to produce new
bacteriophages; therefore, DNA is the genetic material
b. Experiment
- used radioactive labeling of bacteriophage
1) Labeled Phosphorus - DNA contains Phosphorus; therefore, since
this label was found inside the cell, DNA moves into bacteria during viral
infection
2) Labeled Sulfur - Proteins contain Sulfur; therefore, since this
label was found outside the cell, proteins do not move into bacteria during
viral infection

c.
Conclusion - Since only the radioactively labeled Phosphorus entered
the bacterial cell, DNA must be the genetic material.
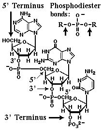
B. Structure
& Organization of DNA
1. Nucleotides - subunits (monomers) of
DNA
a. Deoxyribose
- five carbon sugar
b. Phosphate
- one, two or three phosphate groups
c. Nitrogenous
Base - one of four possible molecules
1) Adenine - purine base - two rings
2) Thymine - pyrimidine base - one ring
3) Guanine - purine base - two rings
4) Cytosine - pyrimidine base - one ring
d. Covalent
Bonds - joins the nucleotides together between the sugars and the phosphate
groups

2. Chargaff's Rule - A = T and C = G in
regards to amount
3. Rosalind Franklin - used x-ray diffraction
to determine that DNA was double-stranded and helical in shape

4. Watson & Crick - finalized the overall
structure of DNA
a)
Double-stranded
b) Double
Helix
c) Sides of
Ladder = sugars + phosphates
d) Rungs of
Ladder = complementary base pairs

5. Antiparallel Orientation - the two strands
of DNA run in opposite directions
a) 3' end -
hydroxyl group of deoxyribose on the #3 carbon
b) 5' end -
phosphate group of deoxyribose on the #5 carbon
6. Prokaryotes vs. Eukaryotes
a) Prokaryotes
- one large circular strand of double-helical DNA
b) Eukaryotes
- multiple chromosomes each containing double-stranded, double-helical DNA
C. DNA
Replication

1. Base Pairing - nucleotide
sequence of one DNA strand provides the information to create a second strand
a) A pairs
with T
b) C pairs
with G
c) template
- strand used to direct DNA replication
d)
example:
template = A A T C G A C
C T A G
copy = T
T A G C T G G A T C
2. DNA Polymerase - enzyme that joins
DNA nucleotides together during replication
a) makes very
few errors
b) proofreading
enzymes - check new DNA strand for complementary base pairing just in case
DNA Polymerase makes an error
3. Prokaryotes vs. Eukaryotes
a)
Prokaryotes - one origin of replication that proceeds bidirectionally around
the circular chromosome

b) Eukaryotes
- multiple origins on chromosomes; allows for faster replication of a much
larger DNA amount
4. Detailed Explanation
a) Steps of
DNA Replication
1) DNA Helicase - unwind and unzip DNA double helix
2) Replication Fork - y-shaped structure of DNA formed after the
action of DNA Helicase

3) DNA Polymerase - adds DNA nucleotides to the replicated strand
by forming Phosphodiester Bonds between the sugar of one nucleotide and
the phosphate of another nucleotide

4) Restrictions of DNA Polymerase:
a. Can only add nucleotides to an already growing strand of DNA
1. RNA Primer - short segment of RNA that begins the new strand of
replicated DNA
2. RNA Primase - enzyme that catalyzes the production of RNA Primer
b. Can only add nucleotides in the 5' to 3' direction
1. Leading Strand - replicated continuously by DNA Polymerase's 5'
to 3' movement down the strand; the template for the leading strand is the
original 3' to 5' DNA strand

2. Lagging Strand - replicated discontinuously
a) Okazaki fragments - segments of nucleotides that must be added
in chunks by DNA Polymerase moving in the 5' to 3' direction; the template for
the lagging strand is the original 5' to 3' DNA strand
b) DNA Ligase - enzyme that joins together Okazaki
fragment to form a continuous replicated strand of DNA
b) Semiconservative DNA Replication - both replicated DNA molecules contain one
strand from the original DNA molecule and one strand of newly replicated DNA
1) Other Options
a. Conservative Replication - after replication, one DNA molecule
contains two strands from the original DNA and the other DNA molecule contains
two strands from the newly replicated DNA
b. Dispersive Replication - both replicated DNA molecules contain
pieces of the original DNA and pieces of the newly replicated DNA
![]()
2) Meselson & Stahl Experiment - used heavy and light forms of
nitrogen in the presence of growing bacteria (which also means DNA replication)
and found that both types were present in the offspring; therefore, replication
must be semiconservative


D. DNA Damage
1. Causes - many different
substances can cause DNA damage
a)
Ultraviolet light (sun, tanning beds, etc.)
b)
X-rays (doctor, dentist, etc.)
c)
Extreme heat (burn victims in fires)
2. Repair Enzymes - use undamaged
template strand to repair damaged DNA through complementary base pairing
3. Mutations - inheritable changes in
DNA molecules
a)
Chromosome Level Mutations
1) Attachment
2) Loss of entire chromosome
3) Polyploidy - extra chromosomes
b)
Nucleotide Level Mutations
1) Substitution
2) Insertion
3) Deletion
4) Inversion (part of DNA inserted backwards)
c) Mutagen
- any substance that causes mutation
1) Examples - radiation, nicotine, heroine, etc.
2) Results - somatic AND sex cells can be affected
d) Benefit
- increases genetic variation; thus, provides the raw material for evolution
e) Harms
- most mutations are harmful if not deadly; genetic engineering is currently
trying to determine causes and cures for most mutations affecting humans
E. Structure
of Eukaryotic Chromosomes
1. Structure - organized into
chromosomes which are made of DNA and proteins
2. Components:
a)
Histones - chromosomal proteins that protect DNA from breaking and tangling
by winding DNA around themselves
b)
Nucleosomes - structure composed of DNA wrapped around clusters of histones
to allow for tight packaging of DNA into chromosome

F. Genome
Organization
1. Components - total of all
genes in a cell or organism
a)
Transposable Gene (Jumping gene) - segment of DNA that can copy and insert
itself into another area of a genome; involved in antibiotic resistance in
bacteria
b)
Repetitive DNA - multiple copies of genes coding for proteins which are used
in large amounts by the organism
2. Human Genome Project - U.S.
Government funded project whose goal is to sequence the entire genome of human
beings
** For more information on the HGP, please click on the link below.
To test your knowledge about DNA, click on the DNA Questions Link at the top of this page. After you answer the questions, be sure to check your responses by clicking on the DNA Answers Link.
|Home|
|Genetics| |Standardized
Exams|
|Ask a Question| |Related
Links| |Site Index|