PRINCIPIOS DE ANALISIS VECTORIAL
Definición de Vector: Es un segmento rectilíneo dirigido, que cuya magnitud posee Dirección, Sentido y Modulo

eA = Vector unitario
A = eA A
| A | = A
® modulo del vector A| eA | = 1

El Campo Vectorial:
P = Punto espacial.
A ( P ) = Función posición vectorial, describe el campo vectorial.
r = Vector posición, describe la posición del punto P en el espacio.
El campo vectorial se puede describir con el vector A ( P ) = A ( r )
El Campo Escalar:
d ( r ) = Aplicado a magnitudes escalares sin dirección ni sentido.
j
( r ) = Función posición escalar.

A = ex Ax + ey Ay + ez Az
B = ex Bx + ey By + ez Bz
A + B = ex ( Ax + Bx ) + ey ( Ay + By ) + ez ( Az + Bz )
Resta de Vectores:

A = ex Ax + ey Ay + ez Az
B = ex Bx + ey By + ez Bz
A - B = ex ( Ax - Bx ) + ey ( Ay - By ) + ez ( Az - Bz )

Producto Escalar de dos Vectores:
B . A = B A COS (
a )
eA . B es la componente del vector B en la dirección de A.
Forma general ei A componente vectorial de A en dirección de ei
Condición de ortogonalidad:
Función vectorial perpendiculares entre sí.
a
= 90º es el ángulo entre los vectores A y B, entonces:
B. A = 0
Si las funciones vectoriales son ortogonales el producto escalar es cero.
Sistemas ortogonales de vector unitario:

Condición de Ortogonalidad
e1 . e2 = e2 . e3 = e3 . e1 = 0
e1 . e1 = e2 . e2 = e3 . e3 = 1
Dados: A = e1 A1 + e2 A2 + e3 A3
B = e1 B1 + e2 B2 + e3 B3, entonces:
A . B = (e1 A1 + e2 A2 + e3 A3 ) . ( e1 B1 + e2 B2 + e3 B3 )
A . B = ( e1 e1 ) A1 B1 + (e2 e1 ) A2 B1 + (e3 e1 ) A3 B1
+ ( e1 e2 ) A1 B2 + (e2 e2 ) A2 B2 + (e3 e2 ) A3 B2
+ ( e1 e3 ) A1 B3 + (e2 e3 ) A2 B3 + (e3 e3 ) A3 B 3
A . B = ( e1 e1 ) A1 B1 + (e2 e2 ) A2 B2 + (e3 e3 ) A3 B3
A . B = A1 B1 + A2 B2 + A3 B3
Si B = A ( paralelo )
A . A = A 2 COS ( 0 ) = A1 2+ A2 2+ A3 2
Luego despejando
A = ( A1 2+ A2 2+ A3 2 ) 1/2

F = h .A con h = B SEN (
a ) ® SEN ( a ) = h / BF = A B SEN (
a ) Producto Vectorialn = la normal a la superficie F
Si A gira en sentido B se produce un diestrogiro perpendicular a la superficie F en dirección a la normal.
Producto Vectorial:

A x B = n A B SEN (
a )B x A = - n A B SEN (
a )Dado
A = ex Ax + ey Ay + ez Az
B = ex Bx + ey By + ez Bz
A x B = (ex Ax + ey Ay + ez Az ) x ( ex Bx + ey By + ez Bz )
A x B = ( ex x ex ) Ax Bx + (ex x ey ) Ay Bx + (ez x ex ) Az Bx +...
( ex x ey ) Ax By + (ey x ey ) Ay By + (ez x ey ) Az By + ( ez x ez ) Az Bz + (ex x ez ) Ax Bz + (ey x ez ) Ay Bz
Aplicando condiciones de ortogonalidad
ex x ey = ez ; ey x ez = ex ; ez x ex = ey
ex x ex = ey x ey = ez x ez = 0
A x B = 
El producto de tres vectores no coplanares
( no están todos sobre una superficie ).
A = ex Ax + ey Ay + ez Az
B = ex Bx + ey By + ez Bz
C = ex Cx + ey Cy + ez Cz
( A x B ) = 
C( A x B ) = (Cx ex + Cy ey + Cz ez ) 
C ( A x B ) =
Aplicando condiciones de ortogonalidad
ex x ex = ey x ey = ez x ez = 0

F = Superficie, A x B = n A B SEN (
a )C ( A x B ) = C n A B SEN (
a )H = C n
Es la proyección de la componente del vector C en dirección n
C ( A x B ) = El volumen del paralelepípedo
Sistema de Coordenadas Cartesianas
Es el sistema Diestrogiro mas sencillo.
Es un sistema ortogonal
Sus coordenadas son : X, Y , Z .

Los vectores unitarios de este sistema son: ex, ey, ez
Luego:
| ex | = | ey| = | ez | = 1

Un punto de posición en el espacio

r = Vector Posición
r = ex X + ey Y + ez Z
La variación del vector posición


El diferncial total de la variación de la posición
dr = ex dX + ey dY + ez dZ
el modulo seria:
| dr | = ( dX 2 + dY 2 + dZ 2 ) 1/2
La descripción en coordenadas cartesianas tiene sus limitaciones. Este solo facilita operaciones en configuración cilíndricas rectangulares. Luego, se necesita una forma mas general para caracterizar el sistema de coordenadas y el mas adecuado es el Sistemas de Coordenadas Curvilíneas. El cual se estudiara a continuación.
Sistemas de Coordenadas Curvilíneas:

Es un sistema ortogonal y cumple con:
e1 x e2 = e3 ; e2 x e3 = e1 ; e3 x e1 = e2
e1 x e2 = e2 x e3 = e3 x e1 = 0
Relación con el sistema de coordenadas cartesianas.
X = X ( u1, u2, u3 )
Y = Y ( u1, u2, u3 )
Z = Z ( u1, u2, u3 )
Característica de los vectores unitarios
Están en la dirección tangencial a los ejes de coordenadas en el punto P.

r = Vector Posición
Definición del Vector Unitario
![]()
i = 1, 2, 3...

Modulo del vector unitario. Factor métrico
Sabiendo que:
![]()

Simplificando y despejando hi tenemos:




![]()
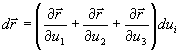
Forma diferencial


![]()
Por definición de vector unitario:
![]()
Para coordenadas cartesianas
u1 = X ; u2 = Y ; u3 = Z
h1 = h2 = h3 = 1
![]()
El Gradiente de una Función Posición escalar
![]()
![]()

Gradiente ( grad
j ) Diferncial total del vector posición dr
![]()
![]()
Coordenadas Cartesianas:
h1 = h2 = h3 = 1
;
; ![]()
![]()
La Integral de Desplazamiento de un Campo Gradiental o Conservativo
V ( r ) = Función posición Vectorial
j
( r ) = Funcion posición escalarSe cumple:
![]()


La integral de desplazamiento de un campo gradiental, no depende de la forma del trayecto, si no, de la posición del punto inicial y el final.
Si P1 = P2, como en el caso de la figura siguiente,

![]()
Si el campo vectorial se describe con el gradiente de una función escalar, entonces la integral del contorno es cero.
Si la integral de contorno de un campo vectorial es cero, el campo se describe con el gradiente de una función escalar.
[
PÁGINA PRINCIPAL] [SIGUIENTE][
CONOCIMIENTOS BÁSICOS] [PRINCIPIOS DEL CAMPO ELÉCTRICO ESTACIONARIO][
PRINCIPIOS DEL CAMPO MAGNÉTICO ESTACIONARIO][
LAS ECUACIONES DE MAXWELL] [POTENCIAL ELECTRODINÁMICO][
PROPAGACIÓN DE ONDAS]