LA LEY DE COULOMB:
En un medio material dieléctrico, es decir, un medio aislante, que se describe en su forma más simple a través de la constante dieléctrica se aprecia la modificación del espacio debido a la presencia de una carga eléctrica. Esta modificación se conoce como el campo eléctrico.

LEY DE COULOMB COMO TEOREMA EXPERIMENTAL:
Q* = es una segunda carga enmersa dentro del campo de la carga Q

Si ejerce una fuerza mecánica " K " sobre la carga " Q ".
Se mide que: La fuerza generada
es proporcional al producto de las cargas e inversamente proporcional al cuadrado de la distancia que los separa.
La fuerza
es radial.
![]()
(1)
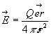
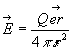
LA INTENSIDAD DEL CAMPO ELECTRICO "E".
La fuerza es proporcional a la carga Q*
![]()
(2)
Comparando 2 con 1

Se define la intensidad del campo eléctrico E como:
(3)
Es proporcional a la carga que la genera es inversamente proporcional al cuadrado de la distancia.
![]()
función posición escalar
![]()
![]()
con (3)

![]()
V= potencial
(4)
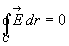
E = -grad V (5)
El potencial es proporcional a la carga que lo genera es inversamente proporcional de la distancia.
El campo electrostático es un campo gradiental; E es un campo conservativo, la integral del campo electrostático es un contorno cerrado es cero.
![]()
El campo eléctrico tiene fuentes que los generan, la divergencia G
![]()
El campo electrostático no tiene rotacional
![]()
= DENSIDAD DE FLUJO ELECTROSTATICO:
Magnitud vectorial independiente de las características de la materia.
De (3)

(6)
j
C = flujo electrostático

F = superficie
![]()
DETERMINACION DE FUENTES ELECTROSTATICAS.
Tomemos una carga Q encerada dentro de un volumen especifico "v"

La superficie de la esfera: F = 4
p r2El flujo
![]()
![]()
= es normal a la superficie F
Con (6)

![]()
![]()
![]()
![]()
(7)
El flujo que atraviesa una superficie cerrada en el espacio es equivalente a la carga contenida en el volumen cerrada.
DENSIDAD DE CARGA ESPACIAL "r "
![]()
Q = carga eléctrica
V= unidad de volumen
(8)
(7) con j e y (8)
j
e= Q
![]()
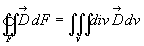
EL TEOREMA DE GAUSS.
La integración de un campo sobre una superficie periférica de un volumen cerrado es igual a las fuentes contenidas dentro del volumen representado por la divergencia del campo.
![]()
Gauss v
![]()
![]()
La densidad de carga es la fuente del campo electrostático
LA ECUACION DEL CAMPO ELECTROSTATICO.
![]()
![]()
![]()
![]()
D Operador de Laplace
r = - e
D V
(10)
ECUACION DE POSICION.
CASO DE UN VOLUMEN LIBRE DE CARGAS:
r
= 0D
V = 0Esta es la ecuación diferencial de Laplace.
[
PÁGINA PRINCIPAL] [SIGUIENTE][
CONOCIMIENTOS BÁSICOS] [PRINCIPIOS DEL CAMPO ELÉCTRICO ESTACIONARIO][
PRINCIPIOS DEL CAMPO MAGNÉTICO ESTACIONARIO] [LAS ECUACIONES DE MAXWELL][
POTENCIAL ELECTRODINÁMICO] [PROPAGACIÓN DE ONDAS]