EL PROBLEMA DE VALORES DE FRONTERA DE PRIMER ORDEN

V= Volumen cualquiera
F= Superficie periférica que encierra al volumen v libre de cargas, es decir r = 0
La superficie periférica se encuentra al potencial
El problema
Determinar el potencial dentro del volumen "v" libre de cargas. Si la superficie periférica, se encuentra al potencial

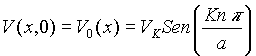
Un cilindro rectangular de base X = a; Y = b y cualquier valor de Z, tiene un potencial aplicado.
V(X, a) = Vo(X) = VK sen (Kp x/a)
Sobre las demás superficie el potencial es cero (superficie conectadas a tierra).
Se desea determinar la distribución de potencial V(x,y) y la intensidad de campo E (x,y) dentro del cilindro.
El cilindro esta libre de cargas en el interior.
Problema plano respecto a las coordenadas "xy" independiente de la coordenada "z".

La solución en cada superficie Z = constante es la misma. Por lo tanto el problema es independiente de Z, depende solo de X Y.
Como el volumen esta libre de cargas entonces:
r = 0 C/m3
Se debe solucionar la ecuación de Laplace bidimencional.
Determinar las soluciones de la ecuación de Laplace Bidimensional.
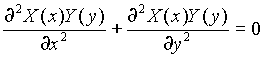
(1)
Aplicando un artificio matemático del producto de Bernoulli para separación de variables
(2)
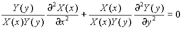
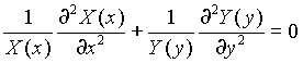
(2) en (1) 


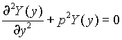
como la primera parte de la ecuación es p2 y la segunda -p2, se obtienen dos ecuaciones diferenciales

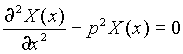
(3)

Soluciones de las ecuaciones diferenciales (3)
Para p
¹ 0![]()
![]()
Para p = 0
![]()
![]()
Las condiciones de frontera
![]()
![]()
![]()
(5)
Caso 1: Con la condición de frontera (5)
V(0,y) = 0
con el artificio del producto (2)
![]()
![]()
Caso 2:
![]()
Con las soluciones resultantes en las ecuaciones (4)
![]()
Para x = 0
![]()
![]()
![]()
![]()
![]()
Para x = a
![]()
![]()
![]()
![]()
para p
¹ 0 y a ¹ 0(7)
![]()
entonces
.
De (7)
![]()
![]()
Se cumple si "p" es un número imaginario con q real
![]()
![]()
Por lo tanto
![]()
![]()
Los valores EIGEN del sistema

Funciones EIGEN del sistema

Las soluciones (3)
![]()


depende de "n"
(9.a)
![]()

(9.b)
Todos los valores "p" se convirtieron en "n"
El artificio del potencial (2)
(10)
Sustituyendo las ecuaciones (9.a) y (9.b)

![]()
![]()
(11)
Con las condiciones de frontera (5): V(x,y)=0 en (11)

Como x
¹ 0

(12)
Sustituyendo (12) en (11) se simplifica el artificio del potencial


Como lo que esta entre llaves es igual a

entonces:
(13)
Con la cuarta solución de frontera (5)
K=1,2,3,4
aplicada al potencial (13) con y=0

(14)
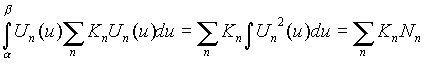
TEOREMA DEL DESARROLLO ORTOGONAL
Si la función f(u) esta definida en una región b
³ u ³ a y la f(u) se hace cero en los extremos para u = a y u = b , entonces f(u) se puede desarrollar ortogonalmente por la sumatoria de sus funciones EIGEN, Un(u).
(15.a)
Condición de ortogonalidad
Un(u) = Funciones Eigen.
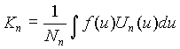
Kn = Constante.

Nn = Norma (15.b)
Resolviendo la integral la siguiente integral:


Para las constantes Kn para todo "n":
(15.c)
Aplicando al problema, comparando (14) y (15.a)
; ![]()
Funciones Eigen

u = x y Kn = Cn*

Determinación de la norma



Con (15.c)
![]()



![]()
(17)
![]()
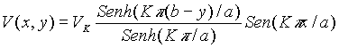
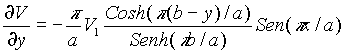
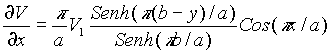
Con (17) el potencial para cada K

Artificio del potencial

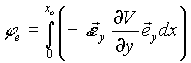
Determinación de las líneas de campo K=1
Queda el artificio del potencial
(1)
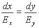
LAS LINEAS DE CAMPO (Intensidad del Campo Eléctrico)
Suponiendo una línea de campo cualquiera en el espacio

Como la línea de campo tiene en todos sus puntos la intensidad E, es E tangencial a la curva de campo.
Ecuación diferencial de las líneas de campo
Se define como:

Este producto es nulo porque estas funciones vectoriales tienen la misma dirección
Sabemos
![]()
![]()
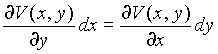
En un sistema ortogonal curvilíneo se cumple lo siguiente
![]()

![]()
Como los vectores unitarios son diferente de cero, entonces



Para el problema plano
con ![]()
![]()

En coordenadas cartesianas
![]()
![]()

![]()
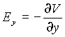
E = -gradV
Con
; 
![]()
(3)
Con el potencial (1)


Sustituyendo en (3)


Se integra

Integral de la forma


C= constante de integración

Se obtiene la ecuación generalizada de las líneas de campo eléctrico
(4)
Se analiza el problema

Suponiendo que las líneas de campo inician en el punto (xo , 0)
Con la ecuación (4)
(5)
Para cualquier xo en y=0 es válida la ecuación de las líneas de campo siguiente:
(1) en (4):
(6)
El punto (xo , 0), se describe con flujo en dirección "y"

![]()

El problema es plano

El flujo se simplifica

(7)

En el punto (xo , 0) se describe con el flujo en dirección "y" porque no existe ninguna dependencia con el eje "z".

Sustituyendo en (7)


(8)
Determinación del flujo para x = a, y = 0:

(9)
La relación (8) se NORMA respecto al flujo para x = a en (9)


(10)
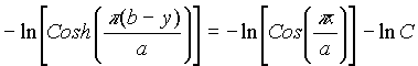
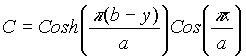
La solución de la ecuación de las líneas de campo se obtiene al sustituir (10) en (6), esta solución se conoce como "La Ecuación del Ducto de Flujo"
Ecuación del Ducto de Flujo
S1 y S2 se conocen como Puntos Singulares, en estos puntos la intensidad del campo eléctrico es cero.
[
PÁGINA PRINCIPAL] [SIGUIENTE][
CONOCIMIENTOS BÁSICOS] [PRINCIPIOS DEL CAMPO ELÉCTRICO ESTACIONARIO][
PRINCIPIOS DEL CAMPO MAGNÉTICO ESTACIONARIO] [LAS ECUACIONES DE MAXWELL][
POTENCIAL ELECTRODINÁMICO] [PROPAGACIÓN DE ONDAS]