LOS TEOREMAS DE GREEN j
A: función posición escalar A= gradY -1-
Se pide determinar: div(j A) =Agradj + j divA -2-
Con 1 y 2 div(j gradY ) = gradY gradj + j divgradY
DY
= divgradY ® Operador de LaplaceIntegración en el volumen v:
![]()
con el teorema de Gauss se obtiene el Primer Teorema de Green:
-3-
En -3- se cambian las funciones j y Y
-4-
Se restan -3- y -4- para obtener el Segundo Teorema de Green:
![]()
Caso del primer Teorema
Y =j
![]()
Caso del segundo Teorema
Y =1
![]()
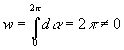
Un campo gradiental V=grad
j tiene una integral de contorno igual a cero.Se plantea la pregunta sobre el significado de la Integral de contorno de un campo vectorial diferente de cero.
![]()

Como ejemplo se puede tener que:
V( r ) es un fluido
![]()
y su integral de contorno es igual a:

![]()


Si el campo vectorial gira alrededor del centro, tiene una integral de contorno diferente de cero.
FORMA GENERAL:
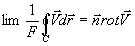
Si se hace la superficie rotacional muy pequeña, obtenemos información que describe la formación de remolinos rotacionales a escala infinitesimal.
![]()
Se obtiene la Componente Normal del rotacional rotV en el sentido de la normal de superficie.
El CAMPO MAGNETICO es un campo rotacional.
Para un sistema de coordenadas U1, U2, U3 y vectores unitarios e1, e2, e3

rotV = e1( e1rotV ) + e2( e2rotV ) + e3( e3rotV )
Los contornos infinitesimales para U1= constante son: dw1 = Ve2h2dU2
Los contornos infinitesimales para U2 = constante son: dw2 = Ve1h1dU1
Los lados del contorno:
MN = dw2(U1, U2, U3)
NO = dw1(U1+dU1, U2, U3) = dw1(U1, U2, U3) + ![]()
En sentido contrario:
OP = -dw2(U1, U2+dU2, U3) = -dw2(U1, U2, U3)-![]()
PM = -dw1(U1, U2, U3)
Determinación del contorno infinitesimal:
dc3 = MN+NO+OP+PM
![]()
dw1=V2h2dU2 dw2= V1h1dU1
![]()
Para la componente rotV en el sentido e3:


EL ROTACIONAL EN COORDENADAS CARTESIANAS
h1 = h2 = h3 = 1;
u1 = x, u2 = y, u3 = z;
e1 = ex , e2 = ey, e3 = ez;

con V(x,y,z) = Vxex + Vyey + Vzez
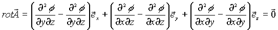
LA AUSENCIA DE ROTACIONALES DE UN CAMPO GRADIENTAL
A
es un campo vectorial; f es un campo escalar.
A = grad
f
A =
Axex+Ayey+Azez

Determinar los rotacionales de un campo gradienta es calcular rotA = rot(grad
f ):


Por lo tanto, rot(gradf )=0, esto quiere decir que un campo gradiental no tiene rotacional. Si la integral de contorno de un campo es cero, entonces, sus rotacionales son nulos y, por lo tanto, todo campo vectorial con rotacionales nulos se puede describir por el gradiente de una función escalar.
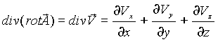
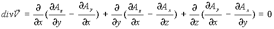
DETERMINACION DE LAS FUENTES CONTENIDAS EN UN CAMPO ROTACIONAL
Sea A un campo vectorial. Es necesario calcular div(rotA). Si V es un campo vectorial que se describe como el rotacional de A, entonces, div(V) = div(rotA):



Por lo tanto, todo campo rotatorio está libre de fuentes. Si un campo vectorial no tiene fuentes, entonces, se puede escribir como el rotacional de una función vectorial.
[
PÁGINA PRINCIPAL] [SIGUIENTE][
CONOCIMIENTOS BÁSICOS] [PRINCIPIOS DEL CAMPO ELÉCTRICO ESTACIONARIO][
PRINCIPIOS DEL CAMPO MAGNÉTICO ESTACIONARIO] [LAS ECUACIONES DE MAXWELL][
POTENCIAL ELECTRODINÁMICO] [PROPAGACIÓN DE ONDAS]