CONCEPTO DE ROTACIONAL:

F es una superficie esférica a través de la cual fluye el campo V(r), r es un vector posición del diferencial dF respecto al punto 0, C es el contorno de la superficie F.

Esta es la componente del rotacional normal a la superficie F
![]()
![]()
![]()
Esta es la definición de Rotacional

Se subdivide la superficie dF en varias partes, las flechas indican la rotación del campo que las atraviesa.
![]()
![]()
Los aportes de los lados de contornos vecinos se anulan.
Solo afecta la integración el contorno "C " externo ![]()
![]()
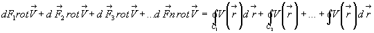
Teorema de Stokes:
![]()

La integral sobre cualquier especie en el espacio de los rotacionales del campo vectorial es equivalente a integrar el campo vectorial sobre el contorno limite de esta superficie.
LOS TEOREMAS INTEGRALES DE STRATTON.
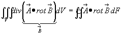
A(r) y B(r) son funciones vectoriales continues en el volumen V con primeras y segundas derivadas parciales continuas.
V(r) es un campo vectorial definido de la siguiente manera:
V = A x rot B
Se determinan las fuentes en el volumen "V" calculando lo siguiente:

Con la siguiente relación:
div( A x C ) = C rot A - A rot C
se obtiene el primer teorema de Stratton
![]()
PRIMER TEOREMA DE STRATTON
Si se hace un intercambio entre A y B, se obtiene lo siguiente:
![]()
Se hace la resta de esta ecuación con la del Primer Teorema de Stratton y se obtiene así el segundo teorema:
![]()
SEGUNDO TEOREMA DE STRATTON
SISTEMA DE COORDENADAS CILINDRICAS.

er es perpendicular a la superficie cilíndrica.
ef es tangente a la superficie cilíndrica en la base de la misma.
ez es perpendicular a la base del cilindro.
ECUACION DE DIFERENCIACION CARTESIANA:
En coordenadas cilindricas:
u1 = r , u2 = f y u3 = z
Vectores unitarios
e1 = er , e2 = ef y e3 = ez
x = r cosf , y = r senf y z = z
0 £ r < ¥ , -¥ < z < ¥ , 0 £ f 2p
DETERMINACION DEL VECTOR POSICION.
r(x, y, z) = ex x + ey y + ez z
r(x, y, z) = ex r cosf + ey r senf + ez z
DETERMINACION DE FACTORES METRICOS FORMA GENERAL.
![]()
Para ui = r , entonces:

hp2 = cos2 f + sen2 f = 1
por lo tanto
hp = 1
Para ui = j

r 2 cos2j + r 2 sen2 j = r 2
r 2 ( cos2j + sen2 j ) = r 2
hj = r
Para ui = z

hZ = 1
FACTORES METRICOS:
hp = 1, hj = r y hZ = 1
DETERMINACION DE VECTORES UNITARIOS:

Para ui = r , entonces, hp = 1, por lo tanto:

er
= ex cosf + ey senf 5A
Para ui = f
hf = r

![]()
ef
= -ex senf + ey cosf
Para hz = 1 y uz = z
ez = ez 5-C
EL DIFERENCIAL DE VOLUMEN:
dV = h1du1 h2du2 h3du3
dV ( r , f , z ) = r dr df dz
El campo vectorial V ( r , f , z )
V ( r , f , z ) = er Vr + ef Vf + ezVz
V ( r , f , z ) = (ex cosf + ey senf ) Vr + (-ex senf + ey cosf ) Vf + ezVz
V ( r , f , z ) = ex (Vr cosf - Vf senf ) + ey (Vr senf + Vf cosf ) + ezVz
Vx = Vr cosf - Vf senf
Vy = Vr senf + Vf cosf
OPERACIONES VECTORIALES
1.- EL GRADIENTE:
f = Función escalar
grad f = 
Con f = er
e2 = ef
e3 = ez
h1 = 1, h2 = r y h3 = 1

2.- LA DIVERGENCIA
hp = 1, hf = r y hZ = 1
V (r , f , z ) es una función vectorial en forma general.

h1 = 1, h2 = r , h3 = 1, V1 = Vr , V2 = Vf , V3 = Vz, u1 = r , u2 = f , u3 = z

Productividad de fuentes de los vectores unitarios
V
( r , f , z ) = er Vr + ef Vf + ezVz
Vr =1, Vf = 0, Vz = 0

![]()
Vr = 0, Vr = 1, Vz = 0

div ef = 0
Vr = 0, Vf = 0, Vz = 1

div ez = 0
Sólo existe un aporte al campo en la dirección r
EL OPERADOR DE LAPLACE:


3.- EL ROTACIONAL:


[
PÁGINA PRINCIPAL] [SIGUIENTE][
CONOCIMIENTOS BÁSICOS] [PRINCIPIOS DEL CAMPO ELÉCTRICO ESTACIONARIO][
PRINCIPIOS DEL CAMPO MAGNÉTICO ESTACIONARIO] [LAS ECUACIONES DE MAXWELL][
POTENCIAL ELECTRODINÁMICO] [PROPAGACIÓN DE ONDAS]