Site hosted by Angelfire.com: Build your free website today!

Melatonin

The neuronal hormone melatonin, which is synthesized and secreted mainly from the pineal gland (a small neuroendocrine organ whose location varies between species), plays an important physiological role in synchronizing biological rhythms and neuroendocrine functions in vertebrates (Kvetnoy et al. 1997). In all species studied, melatonin levels rise at night and fall to low levels during the day (Reppert et al. 1979; Zawilska et al. 2000; Bubenik et al. 1993).  Since light is the most important factor controlling melatonin synthesis (Axelrod et al. 1966; Tomatic and Orias 1967; Zawilska et al. 2000; Zatz et al. 2000) this hormone acts as a chemical messenger by transducing photoperiodic information to the brain.  As well as following a circadian rhythm (daily), melatonin also displays a circannual rhythm (yearly; Vivien-Roels et al. 1979; Danilenko et al. 1994; Thrun et al. 1995).  In general, melatonin concentrations in the plasma remain elevated longer when daylight is shorter (e.g. the winter).  The circadian and circannual rhythms of melatonin have been shown to correlate with the breeding patterns of a number of species (Brinklow and Loudon 1993; Jackson et al. 1990; Bittman et al. 1983). 

Melatonin levels rise at night because of an increase in the transcription and translation of serotonin N-acetyltransferase (AA-NAT), the rate-limiting enzyme in melatonin synthesis.  Light given during the dark phase of a light/dark (L/D) cycle can suppress AA-NAT, thus reducing melatonin synthesis and release from the pineal gland (Minneman et al. 1974).  Melatonin can, in turn, influence circadian rhythms through activation of melatonin receptors in the suprachiasmatic nucleus (SCN) of the hypothalamus, the site of the mammalian circadian pacemaker (Weaver et al. 1993; Dubocovich et al. 1996; Hunt et al.  2001).  Exposure to light at different times in the night phase of the L/D cycle can change the periodicity of melatonin synthesis (Reiter 1991).  In humans, melatonin supplementation has been used to treat disruptions of photoperiod-induced circadian rhythms such as jet lag syndrome (Arendt and Broadway 1987) and shift work syndrome (Folkard et al. 1993).  Both syndromes are expressed as a desynchronization of normal circadian rhythms as well as a lower level of melatonin in the plasma.  By supplementation with melatonin a number of these adverse symptoms can be alleviated. 

     Humans produce relatively low levels of melatonin, which can be found at varying concentrations throughout the body fluids (Reiter 1986,1993). Physiological levels of melatonin in the blood are in a concentration range of 10-100 pM (30 to 200 pg/ml; Ubeda et al. 1995; Waldhauser and Dietzel 1985).  Melatonin levels are highest during early childhood, begin to decrease around puberty and continue to fall into senescence (Garcia-Patterson et al. 1996).  In rodents, decreasing the levels of melatonin by pinealectomy has been shown to cause an increase in oxidative damage of macromolecules and tissues (Reiter et al. 1999) over a lifespan.  This ability of melatonin to act as an antioxidant has been shown by many researchers (Pierrefiche et al. 1993; Reiter 1996; Konecna et al. 2001; Somova et al. 2001; Lee et al. 2001), leading to a corroboration of research on the oxidative theory of aging and the antioxidative properties of melatonin.  The publication of many articles and books describing the potential antioxidant/antiaging properties of melatonin swept the United States in the early/mid 1990’s.  One of the first books to bring melatonin into the public’s attention was published by Pierpaoli and Regelson in 1993 and led to a dramatic public interest in using exogenous melatonin as a “cure” for the symptoms of aging.  Currently, the FDA does not regulate the manufacture and distribution of melatonin making it freely accessible for public use.  Melatonin has been used in the treatment of a number of diseases including among others epilepsy and cancer (Lissoni et al. 1987, 1989; Moretti et al. 2000; Molina-Carballo et al. 1997; Fauteck et al. 1999a; Sandyk 1990; Sandyk and Kay 1990; Brzezinski 1991).  The most often employed concentration of melatonin for oral use is 3mg/day, which can lead to levels of this hormone in the blood of up to 1-10 nM.  In the treatment of cancers, melatonin has been used at a dose of 50mg to 700mg/day (Kane et al. 1994; Gonzalez et al. 1991).  In a study by Guardiola-Lemaitre (Guardiola-Lemaitre 1997), ingestion of melatonin by human subjects, at a single dose of 5 mg raised morning melatonin levels (1-10 pM) to almost 10 nM one hour after administration.  When 80 mg tablets were used the elevation of melatonin in the plasma was as high as 100 nM, one hour after administration (see Table 1.1).   

Due to the fact that melatonin is an over-the-counter drug in the U.S., and it can raise levels of circulating melatonin significantly, it becomes important to understand its actions exerted at both physiological, as well as pharmacological concentrations. 

The Pineal Gland

     The pineal gland is a small secretory organ regulated by either direct exposure to light, or influenced by visual

 

 

Normal (Average)

5 mg Mel

10 mg Mel

80 mg Mel

Morning

4.3 pM (Graw et al. 2001; measured from the plasma)

24,000 pM (Graw et al. 2001; measured from the plasma)

90,400 pM (Dollins et al. 1994; measured from the plasma)

130,000 pM (
Guardiola-Lemaitre 1997; measured from the plasma)

Night

861 pM (Graw et al. 2001; measured from the plasma)

80,200 pM (Debus et al. 2002; measured from the CSF)

Not data available

No data available

 

Table 1.1.  Physiological and pharmacological concentrations of melatonin in humans.                                           .  


pathways.  In fish and amphibians, regulation of the pineal takes place by direct exposure to light, because of its location on the surface of the brain (Axelrod et al. 1965; Cahill 1996; Iigo et al. 1997a, 1997b).  In birds and reptiles, the signal is usually a combination of direct photoreception and light-induced hormonal signals (Veylon 1980; Tosini et al. 2001).  In humans, due to the location deep in the midbrain, the pineal glands functions are regulated exclusively by signals arising from the retina (Reiter 1981).  Although in rodents the pineal gland is located near the surface of the brain, its regulation is still similar to that of humans.

     The neuronal pathways regulating the pineal (Figure 1.1) originate in the retina, which projects fibers to the suprachiasmatic nucleus (SCN) via the retinohypothalamic tract. From the SCN, the signal passes through the paraventricular nucleus (PVN), follows the medial forebrain bundle and ends in the intermediolateral cell column of the upper thoracic spinal cord (UTC). From there a projection to the superior cervical ganglion (SCG) exists, from which sympathetic neurons (nervii conarii) innervate the pineal (Moller and Baeres 2002). These fibers are the final part of the neuronal pathway between the SCN and the pineal.  The main neurotransmitter of the sympathetic innervation is

Figure 1.1.  Schematic representation of the pathway from the eye to the pineal gland.  SCN- suprachiasmatic nucleus; PVN – paraventricular nucleus; UTC – upper thoracic spinal cord; SCG – superior cervical ganglion; A-R – alpha adrenergic receptor; B-R – beta adrenergic receptor; CREB – cAMP response element binding protein; V – Ventricles of the Brain; C – Capillaries.  The arrow behind cAMP indicates an increase in its concentration following stimulation of A-R or B-R by norepinephrine.


noradrenaline, which is released in the perivascular space, near the pinealocytes.

The pineal contains a dense vascular network and is thus a well-perfused organ (Hodde 1979a; Hodde and Veltman 1979b).  The intensive blood supply assures a rapid transportation of melatonin towards target areas, including the brain. Direct secretion into the cerebrospinal fluid is another important way of melatonin delivery, especially to the brain structures located in the proximity of the ventricles (Rollag et al. 1977; Tricoire et al. 2002; Rousseau et al. 1999). 

Melatonin: Metabolism and Distribution

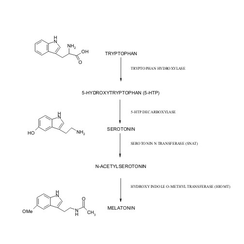
     Activation of b-adrenergic and/or a-adrenergic receptors (Figure 1.1; A-R and B-R) on the pinealocytes leads to an increase of cAMP via a G-protein coupled receptor leading to the activation of cAMP response element binding protein (CREB; Figure 1.1).  CREB activates the transcription of serotonin N-acetyltransferase.  Melatonin is synthesized from the essential amino acid L-tryptophan (Figure 1.2), which is converted to 5-hydroxytryptophan by tryptophan 5-hydroxlase. 5-hydroxytryptophan (5-HTP) is then converted to 5-hydroxytryptamine (serotonin) with aromatic amino acid decarboxylase.  Serotonin N-acetyltransferase (SNAT) then converts serotonin into the

 

 

 

Figure 1.2.  Synthesis of Melatonin from L-Tryptophan.

L-tryptophan is first converted to 5-hydroxytryptophan by the enzyme tryptophan 5-hydroxlase. 5-hydroxytryptophan (5-HTP) is then converted to 5-hydroxytryptamine (serotonin) with the enzyme Aromatic amino acid decarboxylase.  Serotonin N-acetyltransferase (SNAT) converts serotonin into the rate-limiting product for melatonin, N-Acetylserotonin.  Melatonin is then synthesized from N-acetylserotonin by the enzyme Hydroxyindole- O – methyltransferase (HIOMT).

 

 


rate-limiting product for melatonin, N-acetylserotonin.  Melatonin is then synthesized from N-acetylserotonin utilizing the enzyme Hydroxyindole- O – methyltransferase (HIOMT).  Because melatonin is lipophilic it then leaves the pinealocytes through passive diffusion into the ventricles (Figure 1.1 – “V”) and into the capillaries (Figure 1.1 – “C”).  Melatonin can then act on melatonin receptors and/or other non-melatonin receptor binding sites.

The primary sites for melatonin degradation are the liver (the majority of melatonin is hydrolyzed here) and kidneys.  Melatonin undergoes 6-hydroxylation followed by the addition of a sulfate or glucuronide group.  The two by-products: 6-hydroxymelatonin sulfate (6-sulfatoxymelatonin) and 6-hydroxymelatonin glucuronide are then excreted in the urine (Deacon and Arendt 1994; Arendt et al. 1995).  Measurement of the 6-sulfatoxymelatonin has been used as an indicator of circulating levels of melatonin in the plasma (Raynaud et al. 1993; Kennaway et al. 1999; Deacon and Arendt 1994), and is the most widely used method for quantification of circulating melatonin in humans.

     Small amounts of melatonin can also be degraded in the brain, where it can be metabolized to either N-acetyl-N-formyl-5-methoxykynurenamine or N-acetyl-5-methoxykynurenamine (Burkhardt et al. 2001; Tan et al. 2001). 

     The melatonin concentration in rodents is not uniform and varies depending on the structure studied and the time of day (Pang and Brown 1983; Skinner and Malpaux 1999).  While the concentration of melatonin in the plasma was reported to be in the picomolar range, (Cardinali et al. 1997), the brain tissue (neurons and glia) can accumulate melatonin periodically, to a level exceeding 50 times its plasma concentration (Pang et al. 1990; Cardinali et al. 1997) .   It is speculated that neurons may have the ability to increase their concentrations of melatonin even higher through uptake (Witt-Enderby and Li 2000).  The distribution of melatonin within the brain is not uniform and several fold differences in the melatonin content have been reported between brain ventricles (Skinner and Malpaux 1999).  This is significant in that the hippocampus (the structure used as a model for this research) is located in proximity to the third ventricle, which receives melatonin directly from the pineal gland via the pineal recess (Tricoire et al. 2002).  It was demonstrated that the third ventricle can accumulate melatonin to concentrations of up to 1 nM, while in the pineal recess melatonin concentrations can be as high as 80 nM (Tricoire et al. 2002).  Because the concentrations of melatonin in the third ventricle can be significantly higher then previously reported, structures like the hippocampus bathed by the ventricular cerebral spinal fluid, can be exposed to higher concentrations of melatonin as compared to structures distal to the ventricle.

 

 

This is a small part of my dissertation, to see more sections and more information go back to the main index by clicking here.