Solutions to problems

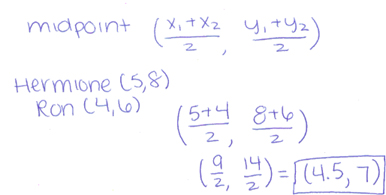
a)


b)


c)


d)

Back to the Problems

Return to main page