Gearing: The Module and Gear Cutters.
Selecting a gear cutter requires little knowledge about how the gear tooth and
the pinion leaf are supposed to be designed because cutters have been
standardized in order to achieve economies of scale. If a cutter could be used to
generate a wide variety of different gears, then a much more limited and
therefore less expensive set of cutters would be needed to perform a wide
variety of tasks. You will have concluded after reading the essays about the
epicycloidal and involute curves that each gear should be individually
designed and each needs its own individual cutter. You would be correct if you designed the gear train to have 12 tooth pinions; the angle of
rotation during impulse is small, so the design of the tooth becomes less
important and using a design that is merely approximately correct becomes
acceptable.
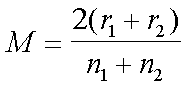
To determine the appropriate cutter for the task, you must first find the
module, defined as the pitch circle diameter in millimeters divided by the
number of teeth. Since it is difficult to measure the pitch diameter accurately,
an easy method is to measure the distance between centers (the distance
between the bushings, or the distance between the pivots if the gear and
pinion were mounted in a depthing tool). The module is equal to twice the
distance between centers divided by the sum of the gear and pinion teeth.
For example, if the distance between centers were 12 mm, the gear had 50
teeth, and the pinion had 10 teeth, then twice the distance (2x12) divided by
the sum of teeth (50+10) would be 24/60 = 0.4 = module. The module is a
measure of the space between two teeth.
Notice that both the gear and the pinion have the same module or they will not mesh properly. Though they have the same module, different cutters are used to make them. The gear and the pinion have different numbers of teeth, so the angle between each tooth will be different. It is said that the taper is different.
Each cutter will have the number of the module on it. It will also have two numbers, such as "35-54" to indicate that it may be used to cut a gear with between 35 and 54 teeth. A selection of cutters for a module would look something like this:
| 6 teeth |
| 7 |
| 8 |
| 9 |
| 10-11 |
| 12-13 |
| 14-16 |
| 17-20 |
| 21-25 |
| 26-34 |
| 35-54 |
| 55-134 |
| 134- rack |
|---|
If the cutter does not have a tooth number range on it, it may have a "w" for wheel (or gear). It is important to be aware that different systems have various guidelines for their uses. It is therefore vital to know what system the cutter comes from.
The cutters made under the metric system, which is what I have described here, are available in modules ranging from 0.2 to 1.0, in increments of 0.05. You must round off your calculation to the nearest module size: for example, if your calculation is 0.2375, you select a module size of 0.25.
When making a new gear to replace an antique gear, problems can arise when trying to reproduce the original design. There are differences between English, German, and American gear designs. Some have taller teeth, some smaller. Some have radial flanks. Others have flanks that are curved outwards for additional strength. Custom gearcutting can present difficulties when you have a standardized set of cutters. In this situation, there is no substitute for practical experience.
These gearing essays do not cover all aspects of gearing design and are not intended to because volumes could and have been written on this subject. I have wished only to present an introduction to gearing that would be easily available to readers on the internet. I hope you find this information useful.
I would like to thank Mr. Richard Cox for his invaluable assistance in this essay. Richard cuts gears and pinions for Fendley's at 1530 Etain Rd, Irving, Texas 75060. If you need a gear cut, you may reach him at (972) 986-7698 or send an email to richard@fendley-cox.com.
Go to Gear Photos
Clock Repair Main Page
Escapements in Motion
Links Page
|
|