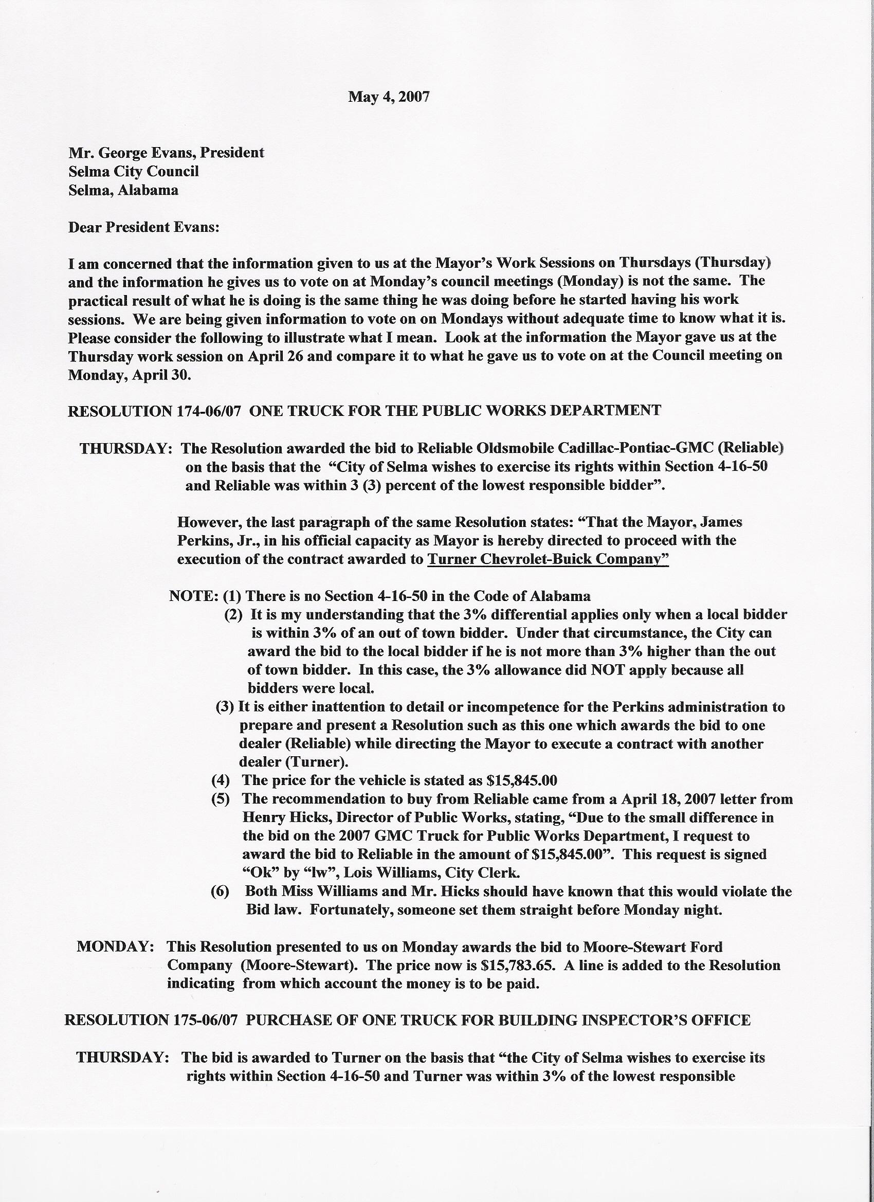
MORE FINANCIAL HANKY-PANKY IN CITY HALL
5-7-07
          This website has received the following letter which Councilman Dr. Cecil Williamson sent to Council President George Evans. One of the council members who received the letter furnished it to us. We reprint it as it was written. It is self-explanatory.


