PERKINS LEAVES THE CITY IN FINANCIAL CHAOS
8-15-09
          The magnitude of the financial mess that former Mayor Perkins left the City in is just coming to light. The recent audit showed that the City General Fund spent $772,000.00 MORE than it recieved during the fiscal year ending September 30, 2008, AND that the CITY OWED AN ADDITIONAL $660,000.00 in bills due as of September 30, 2008 - A TOTAL EXCESS OF EXPENDITURES OVER INCOME SOME $1,441,000.00. It is no wonder that the City has had to cut salaries, programs and services just to survive this mess. Of course, City Finance Director Cynthia Mitchell never mentioned any of this to the City Council, which is another reason she should be fired immediately!
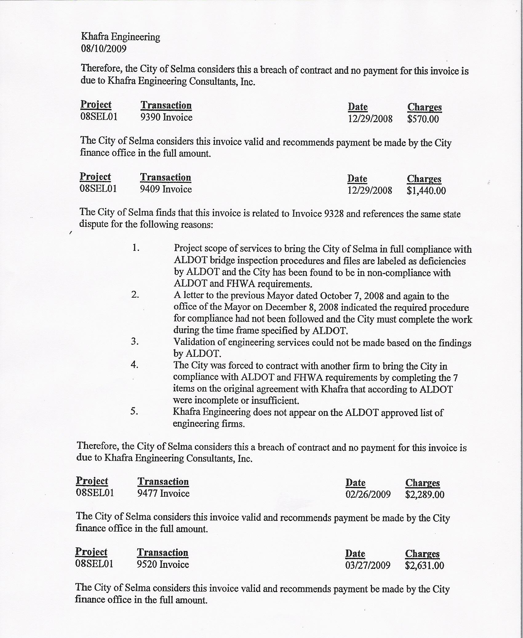
          THE LATEST fiasco left over from the Perkins administration came to light last week when Mayor Evans presented the following statements from Khafra Engineering stating that the City owed them some $50,000.00 for work done as far back as 2003. Here is what we think happened. Khafra employees were among the largest contributors to Mayor Perkins' campaign in 2004 and 2008. Thinking Perkins would be in office forever, Khafra did not bill the City for everything it did, or as the records which follow show, billed the City twice for some work, which the City PAID TWICE - more incompetence in the City Finance Office. With Perkins out of office, Khafra decided to try to collect on work which they had already paid for or had not billed.
          THE CITY IS ADMITTING IT OWES KHAFRA ABOUT $18,000.00 OF THE $50,000.00 CLAIMED. Why didn't Mitchell present these bills or tell the City Council about the amount AND WHY WASN'T IT PAID? Apparently Mitchell has conviced Mayor Evans she supported him, but the truth is, SHE WAS THE CITY FINANCE DIRECTOR AND PERKINS COULD NOT HAVE DONE WHAT HE DID TO CITY FINANCES WITHOUT HER KNOWLEDGE, COOPERATION, OR AT LEAST HER SILENCE!
          Read the pages which follow and see if you don't think some heads should roll over this financial fiasco:





