Site hosted by Angelfire.com: Build your free website today!

Independent Groups t-test: Chapter 10

Strength of the Relationship

- For the example we computed in class, we found a statistically significant difference – there is a "statistically significant relationship" between test-taking strategy (fake v. honest) and personality test scores.

- Our next question is: since a relationship exists, how strong is this relationship?

- Question addresses the issue of "practical significance" or "real-world significance"

- Examine how strongly the IV and DV are associated, or related, to one another by computing "eta-squared" (eta2 or )

- This is a general index of the degree to which the IV influences the DV

- In other words, "how much of the variability among test scores in our experiment can be explained by the fact that we asked some people to fake a good impression?"

- Conceptually, eta2 is a proportion, ranging from .00 to 1.00 – a higher proportion indicates a stronger association between the IV (fake v. honest) and the DV (test scores).

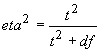
- the computational formula based on the t-test is:

where df = n1 + n2 – 2

- eta-squared is also informative when a statistical test is nonsignificant

- relates to fact that power increases w/sample size

- If null is not rejected and eta-squared is small, the statistical decision is reinforced

- If null is not rejected and eta-squared is relatively large, this is a flag of potentially low statistical power

Nature of the Relationship

- Final question is to explain the nature of the relationship between the IV and DV

- In what manner does the IV influence the DV?

- For the independent groups t-test, we explain the nature of the relationship by looking at the group means and describing which group is higher on the DV.

- In our case, the nature of the relationship is such that on average, test-takers who attempt to fake a good impression end up with higher personality test scores than test takers who respond honestly.