Site hosted by Angelfire.com: Build your free website today!

Measures of Central Tendency and Variability: Chapter 3

Measures of Central Tendency for Quantitative Variables

- Mode – most easily computed index of central tendency

- Score that occurs most frequently

- Problem of bimodal or multimodal distributions

- Median – point in distribution that divides distribution into two equal parts

- 50% of scores occur above the median, 50% occur below

- Reflects the middle value when observations are ordered from least to most, or vice versa

- Mean – arithmetic average of scores

- Sum all scores and divide by the total number of scores

- Equation: : Where represents the mean of a set of scores on variable X

 

Use of Mode, Median, and Mean

- When quantitative variable measured on a level that approximates interval characteristics, all three measures of central tendency are meaningful

- Concepts of median and mean are meaningless for qualitative variables because both involve ordering objects along dimension

 

Measures of Variability for Quantitative Variables

- Range – highest score minus lowest score

- Interquartile Range (IQR)

- The difference between the highest and lowest scores after the top 25% of scores and bottom 25% of scores have been trimmed

- Represents the middle 50% of scores

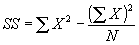
- Sum of Squares

- Index of variability takes into account all of the scores in the data set

- How far do scores vary from "typical" score

- Represent typical score w/mean, concerned with how each score deviates from the mean

- Can’t use the sum of the deviation scores, because those will equal zero

- Sum of Squares gets its name because it is the sum of squared deviations from the mean

- formula: where is the sum of the squared X scores and is the square of the summed X scores

- Variance

- Variance takes into account the number of cases in each set in computing an index of variability

- in the examples above,

- Standard Deviation – The positive square root of the variance

- Represents the average deviation from the mean

 

Characteristics and Use of Sum of Squares, the Variance, and the Standard Deviation

- SS, s2, and s are always greater than or equal to 0

- Can never be negative because all based on squared deviation scores

- When SS = 0, variance and standard deviation will also equal 0

- 0 represents there is no variability in scores, all scores are the same

 

Skewness and Kurtosis

- Two other ways distributions of scores can differ

- Skewness – tendency for scores to cluster on one side of mean

- Positively skewed – "tail" is toward the positive (right) end of the abscissa

- Negatively skewed – "tail" is toward the negative (left) end of the abscissa

- Kurtosis – refers to the flatness or peakness of one distribution relative to another

- Platykurtic – less peaked than another

- Leptokurtic – more peaked than another

 

Sample vs. Population Notation

Index

Sample Notation

"Statistic"

Population Notation

"Parameter"

Mean

Variance

Standard Deviation

- Greek notation makes it explicit that we are describing a population.