Correlated Groups t-test (Chapter 11)
Use of the Correlated Groups t Test
This test is used to analyze the relationship between two variables under the following conditions:
1. The dependent variable is quantitative and measured on an interval level
2. The independent variable is within subjects in nature
3. The independent variable has only two levels
Disturbance Variables
- An advantage of the correlated groups t test over the independent groups t test is that we can control disturbance variables.
- Major disturbance variables we deal with in research are the differences in background and abilities of the individuals participating in the research.
Research question: Do relaxation techniques decrease feelings of nervousness prior to giving a speech compared to no intervention?
|
Individual |
Pretest |
Posttest |
|
1 |
90 |
76 |
|
2 |
90 |
78 |
|
3 |
91 |
77 |
|
4 |
91 |
79 |
|
5 |
92 |
80 |
|
6 |
92 |
78 |
|
7 |
93 |
81 |
|
8 |
93 |
79 |
|
9 |
94 |
82 |
|
10 |
94 |
80 |
|
|
|
This is a within-subjects design. All people are in both conditions – i.e., all people completed both the control and treatment conditions.
I. IS THERE A RELATIONSHIP BETWEEN THE IV AND THE DV?
Step 1: State the null and alternative hypotheses (in reference to means associated with each level of IV):
H0:
(there is not relationship between the IV and DV)
H1:
(there is a relationship between the IV and DV)
Step 2: State decision rules:
- alpha = .05
- df = N – 1 = 10 – 1 = 9 à because using same group of people twice, n1 = n2 = N
Step 3: Compute the relevant values for your test statistic:
- When we are using the correlated groups t-test, we use difference scores because we are interested in looking at the differences between the scores from the pretest to the posttest.
(a) Calculate the difference scores and the squared difference scores
(b) Calculate the mean of the difference scores
- Now we are dealing with difference scores. So instead of the sampling distribution of the mean underlying our test procedure, we have a sampling distribution of the mean of difference scores.
- The standard deviation of this distribution is called the standard error of the mean of difference scores
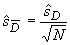
(c) Now we need to calculate the estimated standard error of the mean of difference scores:
![]()
-
is the standard deviation estimate from our sample difference scores (D)
- Since we are interested in finding
, we first need to find ![]()
![]()
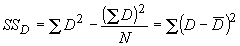
- To get our variance estimate (for the difference scores), we use the following formula:
![]()
- To get our standard deviation estimate for our D scores (which is what we need to put into our standard error formula) we simply take the square root of this number:
![]()
- Now that we have our standard deviation estimate for our difference scores, we can find out what our estimated standard error of the mean of difference scores is
Step 4: Compute the test statistic (Correlated groups t-test):
- Our observed t value is computed using the following formula:
Step 5: Compare our observed t value to the expected/critical values
Step 6: Express findings in reference to your original research question.
II. Strength of the relationship
We use the index of eta-squared to tell us how strong this observed relationship is. Remember eta2 tells us how much influence our IV (relaxation techniques) has on our DV (anxiety).

eta-squared (in the context of a CG t-test) tells us the proportion of the variability in DV is due to the changes in the IV after the variability due to individual differences is removed
III. Nature of the relationship
We go back to our original means and describe which group is higher and which is lower.
Methodological Considerations
BUT:
- This type of design can result in a carry-over effect
- There is something we can do to try to get rid of these carryover effects called counterbalancing.