Site hosted by Angelfire.com: Build your free website today!

Measurement Hierarchy

Level

Properties

Observations Reflect

Examples

Type of Data

Ratio

True zero

Equal intervals

Order

classification

Measurable differences in total amount

weight

income

reaction time

family size

quantitative

Interval

Equal Intervals

Order

classification

Measurable differences in amount

Fahrenheit temperature

IQ Score*

grade point average*

verbal aptitude score*

quantitative

Ordinal

Order

Classification

Differences in degree

attitude toward abortion

academic letter grade

movie ratings

quantitative

Nominal

Classification

Differences in kind

sex / gender

ethnic background

political affiliation

major in college

qualitative

*Approximates interval measurement

Nominal Measurement involves sorting observations into different classes or categories

Ordinal Measurement involves classification reflecting differences in degree (i.e. more or less).

Interval Measurement involves classification reflecting equal intervals.

Ratio Measurement permits interpretation of one observation as exceeding another not only by a certain

amount, but also by a certain ratio, such as "twice as much".

 

Mathematical Preliminaries

Summation Notation

Expression 1: also

- The summation operation is signaled by (Capital Greek S, called "sigma")

- notation below the sigma tells us to start w/person #1

- notation above the sigma tells us to add through to person #5

- Xi to right of sigma is general term stands for individual X scores

 

Expression 2: also

- This means that each X score should be first squared and then summed.

 

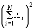
Expression 3: also

- This is not the same as Expression 2.

- A general rule that we follow throughout this book is to perform any mathematical operations within parentheses before performing the operations outside the parentheses.

- In Expression 3, the parentheses signal that the summation operation should be executed first (that is, the X scores should be summed) and then this sum should be squared.

 

Expression 4: also

- This means that for each pair of scores, each X score first should be multiplied by its corresponding Y score, and then these products should be summed.

 

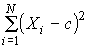
Expression 5: also

- Where c represents a constant. Suppose that c=2. Then this expression indicates that we should subtract 2 from each X score, square each difference, and, last, sum these squared differences.

 

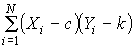
Expression 6: also

- Where both c and k represent constants. This means for each individual, multiply the difference between X and c by the difference between Y and k, and then sum the resulting products.