Site hosted by Angelfire.com: Build your free website today!

Measures of Central Tendency and Variability Handout

Measures of Central Tendency

- Central tendency refers to the "average" score in a set of scores.

- Trying to specify a "representative" value of a set of scores

Mode à Score that occurs most frequently

- Problem of bimodal or multimodal distributions

- Two or more modes

- No unique value – lose effectiveness as measure of central tendency

Median à point in distribution that divides distribution into two equal parts.

- Two approaches:

Even number of scores: Median is arithmetic average of two middle scores

Odd number of scores: Take the middle score

Mean à arithmetic average of scores (sum all scores and divide by total number of scores)

- Equation:

Measures of Variability

- Variability refers to extent to which scores differ from one another

Range à highest score minus lowest score

- Not a very good index of variability because can be misleading

Interquartile Range (IQR) à Represents the middle 50% of scores

- Order from lowest to highest, arrange into four "quartiles" of three scores each

- Eliminate top and bottom groups, have middle 50% of scores

- Some people prefer IQR because not as sensitive to distortions of extreme cases

- But criticized because it does not take into account all the scores in the distribution

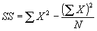
Sum of Squares à How far do scores vary from mean score

- Gets its name because it is the sum of squared deviations from the mean

where = the sum of the squared X scores and = square of the summed X scores

- Size of SS depends not only on amount of variability, but also on number of scores

Variance à takes into account the number of cases in each set in computing index of variability

- Formula:

Standard Deviation à Represents the average deviation from the mean

– most easily interpreted measure of variability

- Formula: