REVIEW SHEET FOR THE INDEPENDENT GROUPS t-TEST
In class, we used the following example: A researcher is interested in whether people can manipulate their scores on a personality test by "faking" a good impression. She randomly assigns 20 subjects to one of two conditions. Ten subjects are assigned to the first condition, and are told to fake a good impression. Ten subjects are assigned to the second condition, and are told to answer as honestly as possible. The researcher gives all 20 subjects the same personality test and records each person’s score. She finds that the "fake" group has a mean of 35.2 with a variance estimate of 11.958; and that the "honest" group has a mean of 29.9 with a variance estimate of 20.986.
1. IS THERE A RELATIONSHIP BETWEEN THE IV AND DV?
Step 1: State the null and alternative hypotheses:
(the population means for the two groups are equal)
H1: m 1 ≠ m 2 (the population means for the two groups are not the same)
Step 2: Get the critical values and state decision rules.
- Determine our degrees of freedom: df = (n1-1) + (n2-1) = n1 + n2 – 2
- In our example: df = n1 + n2 – 2 = 10 + 10 – 2 = 18
- Find critical t value (from Appendix D) for a non-directional test with
that corresponds to the above degrees of freedom.
- In our example: ![]()
- If observed t value exceeds the critical values, reject null; if observed t does not exceed critical values, do not reject null.
Step 3: Compute the relevant values for your test statistic.
- Compute the sample means for both groups (‘fake’ and ‘honest’).
- In our example:
and ![]()
- We see a difference between sample means - ![]()
- We want to know if this difference reflects a true difference between the population means from which our samples are drawn, or is the difference simply because of sampling error?
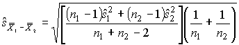
- Need to calculate an index of sampling error: estimated standard error of the difference between means

= 
- This tells us that on average, the difference between any two sample means will deviate 1.815 units from the true difference between population means.
Step 4: Compute the test statistic (independent groups t-test)

Step 5: Compare expected results to critical values.
- 2.92 > 2.101, therefore we reject the null hypothesis
2. IF THERE IS A RELATIONSHIP, WHAT IS THE STRENGTH OF THAT RELATIONSHIP?
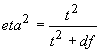
- Calculate eta-squared:
where df = n1 + n2 – 2
![]()
- So, 32% of the variability among personality test scores was due to the IV – due to the fact that we asked some people to fake a good impression on the test.
- According to Jaccard & Becker, we can use the following general guidelines to help judge the value of eta-squared:
- approaching .05 : "weak association"
- approaching .10 : "moderate association"
- approaching .15 : "strong association"
3. IF THERE IS A RELATIONSHIP, WHAT IS THE NATURE OF THAT RELATIONSHIP?
- For the independent groups t-test, we explain the nature of the relationship by looking at the group means and describing which group is higher on the DV.
- In our case, the nature of the relationship is such that on average, test-takers who attempt to fake a good impression end up with higher personality test scores than test takers who respond honestly.
- On a real world/practical level, if people use the strategy of faking good, they will have higher scores. Since we found that the relationship was strong, then this is something companies should worry about.