Site hosted by Angelfire.com: Build your free website today!

REVIEW SHEET FOR THE CORRELATED GROUPS t-TEST

In class, we used the following example: Do relaxation techniques decrease feelings of nervousness prior to giving a speech compared to no intervention? We found a communications class with ten students willing to participate in our study. 15 minutes prior to their first speech of the semester, we gave them a measure of anxiety that ranges from 0 to 100, with higher scores indicating more anxiety or nervousness about giving a speech. We then teach the students specific relaxation techniques. One week after they learn the relaxation techniques, the gave another speech. We give them the same measure of anxiety to them 15 minutes prior to giving their second speech. We found that the mean anxiety score at Time 1 was 92.00 and the mean anxiety score at Time 2 was 79.

1. IS THERE A RELATIONSHIP BETWEEN THE IV AND DV?

Step 1: State the null and alternative hypotheses:

(the population means for the two groups are equal)

(the population means for the two groups are not the same)

Step 2: Get the critical values and state decision rules.

- Determine our degrees of freedom: df = N - 1

- In our example: df = 10 – 1 = 9

- Find critical t value (from Appendix D) for a non-directional test with that corresponds to the above degrees of freedom.

- In our example:

- If observed t value exceeds the critical values, reject null; if observed t does not exceed critical values, do not reject null.

Step 3: Compute the relevant values for your test statistic.

- Calculate the difference scores and the squared difference scores (for each subject subtract their Time 2 values from their Time 1 values; then, square these values).

- Calculate the mean of the difference scores.

- We want to know if this difference reflects a true difference between the population means from which our samples are drawn, or is the difference simply because of sampling error?

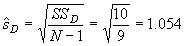
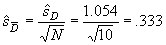
- Need to calculate an index of sampling error: estimated standard error of the mean of difference scores

where is the standard deviation estimate from our difference scores

- Since we’re interested in finding , we first need to find


where SSD = Σ D2 – D)2 = 1700 - (130)2 = 10

 

- Now we can compute the estimated standard error of the mean of difference scores:

 

Step 4: Compute the test statistic (correlated groups t-test)

Step 5: Compare observed results to critical values.

- 39.04 > 2.101, therefore we reject the null hypothesis.

 

 

2. IF THERE IS A RELATIONSHIP, WHAT IS THE STRENGTH OF THAT RELATIONSHIP?

- Calculate eta-squared: where df = N – 1

- So, 99% of the variability among anxiety scores was due to the IV – due to the fact that we had people learn relaxation techniques to lower anxiety.

**remember that this index tell us how much variability in the DV was due to the IV, after the effects of individual differences have been removed

- According to Jaccard & Becker, we can use the following general guidelines to help judge the value of eta-squared:

- approaching .05 : "weak association"

- approaching .10 : "moderate association"

- approaching .15 : "strong association"

 

 

3. IF THERE IS A RELATIONSHIP, WHAT IS THE NATURE OF THAT RELATIONSHIP?

- For the correlated groups t-test, we explain the nature of the relationship by looking at the group means and describing which group is higher on the DV.

- In our case, the nature of the relationship is such that on average, individuals have less anxiety before giving a public speech after learning relaxation techniques than before learning these techniques.