Gut
Physiology
Food enters mouth, mixed with saliva, passes down esophagus and enters stomach. Emulsified, partly digested food leaves the stomach as a bolus of chyme to enter the duodenum (first segment of the small intestine/small bowel). Food continues through the jejunum and ileum (of the small intestine) and into the large intestine (colon). Undigested components making up the stool are dehydrated before defecation.
The peristaltic contractions that pass the food through the GI tract are caused by rhythmic contractions of longitudinal and circular layers of muscle in the gut wall. These movements are controlled by neurons of the sympathetic and parasympathetic nervous system (extrinsic nerve fibers). Extrinsic nerve fibers innervate intrinsic neurons of the plexus of Auerbach in the muscle layers. Other intrinsic neurons form the submucosal plexus of Meissner which regulates the muscles responsible for movement of the villi.
The endocrine pancreas secretes insulin, glucagon, and pancreatic polypeptide, which are not gut hormones. The exocrine pancreas' acinar cells produce enzymes that are released from ducts into the small intestine.
The gall bladder is a reservoir for bile salts excreted by the liver. Bile salts are needed to emulsify fats in the intestine. Fat digestion begins in intestine with emulsification by bile salts. Pancreatic lipase the liberates free fatty acids (FFAs) from dietary triglycerides. FFAs and monoglycerides pass into mucosal cells by diffusion, then into blood or are re-esterified and pass into lymphatics.
Protein digestion start in the stomach. Pepsins released from chief cells as pepsinogens cleave proteins in the stomach. Pepsinogens are activated by HCl from parietal cells of gastric glands and their activity stops in the alkaline duodenum (pancreatic juices). In the small intestine, trypsin and chymotrypsin further digest proteins to peptides. Peptidases digest peptides to amino acids which are the actively transported into bloodstream.
Take Quiz: [Q1] [Q2] [Q3]
Back to Basics: Topic 1
Topic 2
Advance Topics: Topic 1
Topic 2
Hormones
Gut hormones stimulate secretion of digestive enzymes, acids and bases; stimulate smooth muscle to move the food and hormone release from pancreas; and provide satiety signals to brain to affect eating behavior. They may have both endocrine and paracrine activities.
Gut hormones are synthesized by a system of clear cells in GI tract mucosa, known as enterochromaffin, argytrophil or argentaffin cells because they stain with silver or chrome. Clear cells form a "diffuse" or "dispersed endocrine system” that cannot be precisely surgically removed. There are six subtypes of clear cells: G cells (gastrin), S cells (secretin), D cells (somatostatin), I cells (CCK), K cells (GIP), and L cells (GLP-1).
There are two general families of gut hormones related by their amino acid sequences, multiple forms, and prohormones. The gastrin family includes gastrin and CCK. The secretin family includes secretin, glucagon, VIP, and GIP. Other gut hormones that do not belong to a specific family include substance P, somatostatin, GRP, enteroglucagon, peptide YY, GLP-1, neurotensin and Ghrelin. Most of these las group of hormones are released by gut neurons: VIP, substance P, somatostatin, GRP.
Gastrin is a polypeptide hormone (isolated in 1964). The human gastrin components (?) are: big-big gastrin preprogastrin (95 a.a.; does not circulate), big gastrin progastrin (34 a.a.), little-gastrin (17 a.a.), and mini-gastrin (14 a.a.).
Gastrin is made by the G cells, which are rich in the antral mucosa of the stomach, and also found in the upper small intestine. Stimuli to release gastrin includes: stomach distension, peptides and proteins in the stomach (through chemoreceptors), and autonomic nerve signaling. Gastrin release is inhibited by VIP, GIP, somatostatin, and bulbogastrone.
The effects of gastrin include HCl production, gastric secretion and motility, and GI mucosa proliferation. Gastric acid is produced by the parietal cells in the fundic gland of the stomach.
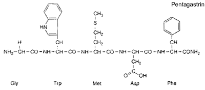
Gastrin activates IP3 pathways through the CCKB receptor. The synthetic (?) pentagastrin peptide (gly-trp-met-asp-phe-NH2) is a fully active agonist of the gastrin response.


Gastrin and cholecystokinin (CCK, aka pancreozymin) have identical C-terminal pentapeptide sequences (gly-trp-met-asp-phe-NH2). The rat CCK can be spliced into 5 different forms of the hormone: CCK precursor (115 a.a.), CCK-58 (58 a.a.), CCK-39 (39 a.a.), CCK-33 (33 a.a.), and CCK-8 (8 a.a.; a brain hormone!).
CCK is made by I cells, which are located in the duodenum, ileum, and jejunum. Fatty acids and amino acids in duodenum stimulate CCK secretion.
There are two CCK receptors: CCKA and CCKB. The effects of CCK include gallbladder contraction, release of pancreatic enzymes, and proliferation of pancreatic acinar cells. CCK may also be a satiety hormone. After a meal CCK rises in normal individuals, but in bulimics the CCK rise is reduced.
The secretin family of peptide gut hormones include secretin, glucagon (from the pancreas), VIP, and GIP. Secretin is 27 amino acids in legth and was discovered by Bayliss & Starling in 1902. They found that acid caused secretion of secretin from denervated dog jejunum and that secretin realeased into blood caused release of pancreatic juices.
Secretin is made by the S cells which are rich in the duodenum, but also found in the ileum (found between crypts and villi). The stimuli to release secretin are HCl from the stomach (pH< 4.5) and/or food passing through the intestine. Secretin increases bicarbonate secretion from pancreas (neutralizes stomach acid), potentiates CCK-stimulated pancreatic enzyme release and decreases gastric motility.
Vasoactive Intestinal Peptide
(VIP) is a highly conserved 28 amino acids peptide hormone released by neurons
in the entire GI tract.
VIP acts on many tissues, including the GI tract, and its specific roles are
controversial: decreases gastric secretion, increases vasodilation, increases
bicarbonate release and insulin from the pancreas, and increases prolactin release
in the brain. Fats in the duodenum stimulate VIP release.
Substance P is an 11 amino acide peptide hormone released by neurons of the GI tract in respons to unknown stimuli. It increases muscle contraction, mediates pain and may regulate thirst sensation in the brain.
Somatostatin (SST) is a 14 amino acid peptide hormone released by D cell neurons (delta cells ?) of the GI tract, especially in the stomach. There are also D cells in the pancreas, where they regulate insulin and glucagon secretion. D cells have long cytoplasmic processes that terminate on other cell types, thus somatostatin release is also paracrine.
Gastrin-releasing peptide (GRP) is a 27 amino acid peptide hormone related to bombesin, a hormone from frog skin, and originally isolated from pig gut. The C-terminal octapeptide is the fully active core hormone. GRP is released by neurons of the antral mucosa in response to proteins in the stomach, and it increases gastrin release.
Gastric inhibitory peptide (GIP, aka glucose-dependent insulinotrpic peptide) is a 43 amino acids peptide hormone made by the K cells of the small intestine. Monosaccharides and fatty acids in the duodenum stimulate GIP release. GIP decreases gastric motility and acid secretion, and increases insulin secretion.
Motilin (aka villikinin) is a 22 amino acids peptide hormone released in 2 hour cycles from the duodenum by unknown stimuli. It increases smooth muscle contractions in order to move the chyme.
The L cells of the intestine and colon release three different hormones: enteroglucagon, peptide YY and glucagon-like peptide. Enteroglucagon is released response to carbohydrates and fats in the duodenum, and it decreases gut motility and secretion, while increasing gut mucosal growth. Peptide YY (36 amino acids) is released in response to food in the duodenum. The effects of peptide YY are controversial, as it seems to decrease food intake and weigth gain and increase gut mucosal growth (dioscussed below).
Glucagon-like peptide (GLP-1) is a 37 amino acids product of the glucagon gene. The same gene that produces glucagon in pancreatic a-cells produces GLP, glicentin and oxyntomodulin in intestinal L-cells. GLP-1 may act through glicentin and oxyntomodulin. GLP-1 release is promoted by dietary amino acids (high portein diet), and it signals the liver to produce glucose from dietary amino acids by stimulating glucose-dependet insulin secretion and biosynthesis, and inhibiting glucagon secretion and gastric emptying. GLP-1 lowers blood glucose in patients with diabetes, i.e. may restore pancreas b-cell sensitivity, and regulates pancreatic islet proliferation and neogenesis. There may be several GLP-1 receptors.
Ghrelin is a peptide hormone made in the stomach that activates the growth hormone secretagogue (GHS) receptor, causing growth hormone release from the anterior pituitary. This hormone may play a role in dietary physiology and obesity, since it seems to increase hunger by acting on the hypotalamus, and may oppose the hormone leptin (made by adipose tissue).
Take Quiz: [Q1] [Q2] [Q3]
Back to Basics: Topic 1
Topic 2
Advance Topics: Topic 1
Topic 2
Obesity
There are two mouse models of obesity: ob/ob and db/db. Both types of mice are diabetic and obese, weighiting 3-times more than their lean littermates. They are hyperphagic, hypothyroid, infertile, hypothyroid, and have high NPY levels in the hypothalamus. NPY is a neuropeptide (neurotransmitter) in the hypothalamus that stimulates eating.
Parabiosis studies, i.e. joining the bloodstreams of one ob/ob and anoe wild type mouse, showed that ob/ob mice lack a circulating "anorexic factor" (the ob/ob mice became lean after sharing blood with the wild type mouse). The same experiments done with a db/db mouse showed that it was resistant to the "anorexic factor", suggesting the db/db mouse has a mutation in the anorexic factor" receptor.


The ob (obesity) gene was finally cloned by Zhang et al (Nature 1994). It is expressed in adipose tissue and codes for a 16 kDa secreted protein named Leptin ("leptos" means lean in Greek). A C-to-T mutation changes Arg105 to a stop codon in the ob/ob mice. Chen et al (Cell 1996) cloned the db (diabetes) gene, which codes for multiple forms of the leptin receptor. The long form (Rb) signals similarly to the GH receptor (cytopkine; Jak/Stat pathway) and is found in the hypothalamus. The function of the short forms also found in the hypothalamus is unclear. A soluble form, mostly the extracellular domain of the long forms, is found in many tissues and binds 20-50% of the free leptin. Signaling of the short form is unclear, but may have a clearance function.
Leptin treatment reduces fat mass, food intake
and diabetes in ob/ob mice but not in db/db mice. Interestingly neither mutations
in leptin nor its receptor are found in most cases of human obesity (Considine
et al J Clin Invest 1995), and most obese patients have high levels of circulating
leptin (Considine et al N Eng J Med 1996). A few rare cases of obesity are caused
by mutations in leptin or its receptor. Patients with mutant leptin can be treated
with recombinant leptin, and they see a sharp
decrease
in total weight within months of treatment, mostly due to loss of fat mass (lean
mass remains constant). Recombinant leptin is being developed as an anti-obesity
treatment and is currently in Phase II clinical trials, testing for its efficacy
in treating obesity and Type 2 diabetes. There is no treatment for patients
with mutated leptin receptor.
The discovery of leptin has enabled a better understanding of the neuroregulation of feeding. The main areas of the hypothalamus involved are the arcuate nucleus (ARC) and the paraventricular nucleus (PVN). At least four neuropeptides are produced in the ARC and act on the PVN to regulate food intake: NPY, Agouti-related protein (AGRP), melanocortin (aMSH) and CART. NPY and Agouti-related protein stimulate food intake; melanocortin and CART inhibit food intake.
Mutations
in the melanocortin-4 receptor (MC4R) causes obesity in mice (Huzar et all Cell
1997) and humans. Inactivation of the mouse melanocortin-3 receptor (MC3R) results
in increased fat mass and reduced lean body mass (Chen et al Nat Gen 2000).
AGRT is a potent antagonist of MC3R and MC4R. Leptin binding to its receptor
stimulates melanocortin release, which then seems to decrease food intake and
feeding efficiency (?), and may increase metabolic rate.
Another group of neurotransmitters, the cannabinoids, also stimulate appetite. Cannabinoid receptor 1 (CB-1) knockout mice eat less that their normal littermates. Leptin administration reduces the levels of endocannabinoids in the hypothalamus of normal rats, but the mechanism by which leptin and endocannabinoids interact is unclear. Acomplia, a CB1 antagonist, is being develop to reduce obesity.
Other hormones that control body weight and appetite are peptide YY and ghrelin. Peptide YY (PYY) is released in response to food in the duodenum. PYY binds the Y2 receptor in the arcuate nucleus of the hypothalamus thus decreasing NPY in the hypothalamus. PYY injections inhibit food intake and reduces weight gain in rats and mice, but not in Y2 knockout mice. PYY infusion (?) in humans decreases apetite and reduces food intake by 33% over 24 hours, thus it is beindeveloped as a nasal spray for the treatment of obesity.
Gherlin (from the stomach) is an endogenous ligand of the growth hormone secretagogue (GHS) receptor. Synthetic enkephalin opiates analougues also bind the GHS and release GH. Ghrelin treatment induces weight gain in rodents. In humans, ghrelin plasma levels are lower in obese patients than normal, and increase after weight loss. Gastric bypass surgery decreases ghrelin levels.
Take
Quiz: [Q1] [Q2] [Q3]
Back to Basics: Topic 1
Topic 2
Advance Topics: Topic 1
Topic 2
![]()
Continue
to "Pancreas and Diabetes" or take
a test: [T1] [T2] [T3].
Need more practice? Answer the following review questions:
Questions not yet available