Cellular and Molecular Biology Topics
![]()
Monosaccharides
Monosaccharides are aldehydes or ketones with multiple hydroxyl groups and chains of at least 3 carbon atoms with the empirical formula (CH2)n . They may be aldoses or ketoses depending were the oxygen double bond is, i.e. forming an aldehyde or a ketone, respectively. The asymmetric carbons form stereoisomers.

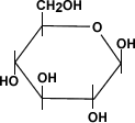
Five or more carbon sugars usually exist in ring form. The 6-carbon aldoses
like glucose will form pyranose rings (6 side rings), while a 5-carbon aldose
like ribose will for furanose rings (5 sides):
D-glucose
D-ribose
D-deoxyribose
Monosaccharides serve as energy stores, fuels, metabolic intermediates and building
blocks of genetic material. Glucose is the primary metabolic fuel for all cell
types. The deoxy form of ribose is a building block of nucleotides.
Glycogen is a very large, branched polymer of glucose residues, linked by alpha 1,4- glycosidic bonds in a main chain and alpha 1,6- glycosidic bonds at the branching points.
Take Quiz: [Q1]
Advance Topics: Distribution/Excretion (Medical Pharmacology)
Fatty Acids
Fatty acids contain long hydrocarbon chains with a terminal carboxylic group. Most fatty acyl chains have an even number of carbons. Unsaturated fatty acids have one or more double bonds in the cis configuration, which introduces a kink in the otherwise flexible straight saturated chain.

Triacylglycerols are esters of glycerol with three fatty acid chains. Fatty acids are the building blocks of membrane lipids, they modify many proteins (targeting them to membrane locations), serve as fuel and are pecursors of hormones and intracellular messengers. Triacylglycerols are the main storage form of fatty acids, storing more than six times as much energy per gram than glycogen, because of their anhydrous form and because they are highly reduced.

Triacylglycerols are stored in adipose cells, forming large fat globules that occupy most of the cell cytoplasm. Triacylglycerols are synthesized in the liver and secreted into the blood in the form of very low density lipoproteins (VLDL). In adipocytes, triacylglycerols are hydrolyzed and can be reactivated, resulting in CoA derivatives that are transferred to glycerol (i.e. repackage as triacylglycerols) for storage. Stored triacylglycerols can be hydrolyzed to fatty acids and glycerol by hormone-sensitive lipases. The resulting fatty acids are sent to major organs to be used as fuel by the beta-oxidation pathway.
Phospholipids have two of the hydroxyl groups in glycerol linked to fatty acids while the third is linked to phosphoric acid. The phosphate is linked to an alcohol. This creates a polar head group attached to the phosphate, and a hydrophobic tail with at least one fatty acyl chain.

Phospholipids may be phosphoglycerides or sphingolipids. Phosphoglycerates consist of a glycerol backbone attached to a phosphate and two fatty acyl chains. In some cases, an additional polar group is attached to the phosphate. For example, choline attached to the phosphate will yield phosphatidylcholine. Other possible groups are serine, ethanolamine, and linositol. A major difference among polar heads is the charge carried at neutral pH.

Sphingomyelin lack the glycerol backbone. Instead contains sphingosine, an amino alcohol, attached to a phosphate and one fatty acyl chain. They can also have additional polar groups attached to the phosphate.
Glycolipids also contain two hydrocarbon tails, but the third hydroxyl group is linked to at least one sugar residue.
Both phospho- and glycolypids contain polar and hydrophobic regions, thus forming self-sealing lipid bilayers due to hydrophobic interactions.
Cholesterol consists of four hydrocarbon rings named A, B, C and D, a six-carbon chain attached to the D ring, and a hydroxyl group attached to the A ring.

Take Quiz: [Q1] [Q2]
Back to Basics: (Biochemistry)
Polypeptides
Peptide bonds covalently link amino acids in a peptide chain. They are formed by linking the alpha carbon of one residue with the alpha amino of another via condensation reaction resulting in the release of water.

A peptide chain has an N-terminus and a C-terminus which retain the usual charges. The groups involved in the peptide bond carry no ionic charge but remain partially polar. There is electron delocalization (closer to the oxygen atom) and a partial C-N double bond which prevents free rotation. As a result, atoms involved in the peptide bond lie on the same plane.
Take Quiz: [Q1] [Q2] [Q3]
Nucleic Acids
Adenine and guanine are the purines in nucleic acids.

Thymine, cytosine and uracil are the pyrimidines in nucleic acids.



The combination of a base with a sugar is a nucleoside, and is named according to the base and the sugar:
adenine + ribose
adenosine
adenine + deoxyribose
deoxyadenosine
guanine + ribose
guanosine
guanine + deoxyribose
deoxyguanosine
cytosine + ribose
cytidine
cytosine + deoxyribose
deoxycytidine
thymine + ribose
thymidine
thymine + deoxyribose
deoxythymidine
uracil + ribose
uridine
The nucleotide is named by combining the name of the nucleoside and the phosphate:
adenosine + 1 phosphate
adenosine monophosphate
guanosine + 3 phosphates
guanosine triphosphate
The nucleic acids (DNA and RNA) are polymers of nucleotides and the principal information molecule of the cell.
Nucleotides also carry chemical energy in their easily hydrolyzed acid-anhydride bonds (ex. ATP), combine with other groups to form coenzymes (ex. CoA), or are used as signaling molecules (ex. cAMP).
Take Quiz: [Q1] [Q2] [Q3]
Catabolism
Stage 1 of catabolism occurs mainly in the intestine as large molecules are broken down into monomeric units. In stage 2, small moleculesenter the cytoplasm of cells, were sugars are converted into the acetyl group of acetyl CoA. The 3rd stage occurs in ther mitochondria, were the acetyl group of acetyl CoA is degraded to CO2 and H2O, generating NADH and ATP. Included in the 3rd stage are the citric acid cycle and oxidative phosphorylation which produce ATP through the transfer of electrons from NADH or FADH2 to oxygen by a series of electron carriers.
NAD+ and NAD are the most important carriers of readily available, transferable electrons in catabolic reactions. The bottom half of the molecule is adenosine monophosphate, which is linked though the phosphate to an additional phosphate and ribose. The second ribose is linked to a nicotinamide ring able to accept two electrons with s proton (a hydride ion, H-) forming NADH. In this reduced form, the nicotinamide ring has a reduced stability because it is no longer stabilized by resonance. As a result, the hydride is activated in the sense that it can be easily transferred to another molecule. HADPH differs from NADH only by the presence of an extra phosphate group that allows it to be recognized by biosynthetic enzymes.
Take Quiz: [Q1] [Q2] [Q3]
![]()
Continue
to "Cellular Architecture" or take
a test: [T1] [T2] [T3].
Need more practice? Answer the following review questions:
Questions not yet available