
SUMMARY
BBN also explains how and why the lighter elements were created in the early universe, and why the heavier elements were not created until the first stars formed.
| definition of kinetic energy | |
| average kinetic energy for a collection of particles in thermal equilibrium |
Potential energy is the energy inherent to an object. During nucleosynthesis, the most important role of potential energy is the "potential barrier" that the heavier elements must penetrate in order to reach the "potential well" where nuclear bonding takes place. The threshold between these two is about 10-15 m, which is much smaller than the 10-10 m radii of small atoms.
Conservation of Energy:
Together, potential and kinetic energy are related by the First Law of Thermodynamics, where energy is conserves as thus...
| Total Energy = Potential Energy + Kinetic Energy + Thermal Energy = a constant |
Also, given an expanding universe, the density of the universe decreases as time goes on. Since the change in energy is proportional to the negative of the pressure times the change in volume, and given that pressure is positive, the increase in the change in volume of the expanding universe leads to a decrease in the change in total energy. As the amount of energy decreases, so does temperature (T) also decrease. Thus: temperature has dropped since the beginning of the universe, which means the early universe was much hotter than it is now. This decrease in temperature in the very early universe also made the formation of the lightest elements, such as Deuterium, possible.
The Formation of Deuterium (2H)
|
|
This process requires the emission of a photon of ~2.2 MeV in order to conserve/lose energy. It can also occur at temperatures much smaller than 2.2 MeV. Thus, it does not require high temperatures. On the contrary, this process requires lower temperatures to a degree, as higher temperatures would reverse the process.
The Formation of Helium
|
|
There is more repulsion between the two Helium ions; thus, this process requires higher temperatures to take place, though not high enough to reverse it. This increase in energy going into the process is needed to overcome the Coulomb repulsion between the Helium nuclei. After the nuclei penetrates the potential barrier at ~10-15 m, nuclear attraction takes over in the potential well, and the two atoms bond. Here, a photon of ~2.8 MeV is released in the process. The abundance of He-4 in the universe and the high temperatures required for them to take place thus supports the theory of a hot Big Bang.
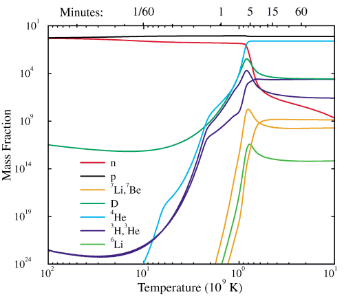
The heavier elements, though, could not form during this time because of the higher Coulomb/potential barriers of heavier elements, the fast decay rates of neutrons, and the decreasing density of the expanding universe. This limit occurred about 5 minutes after the Big Bang. It was known as the "Big Freeze Out" - when temperature and density became too low to support any more large-scale nucleosynthesis. Thus, the elements in the early universe remained so until the first stars provided the conditions necessary to form the heavier elements through stellar fusion.
|
The relative amounts of the elements Hydrogen, Helium, and Lithium were fairly successfully predicted by the Big Bang Theory.
According to the theory, the first element to be created was Hydrogen, which remains the most abundant element in the universe today. After some period of cooling down (about a second or so, to about 1010 Kelvin), protons and neutrons were able to collide to form heavier atoms like Helium and Lithium. That extreme temperature, however, was not enough to create elements heavier than Lithium. The remaining elements were later created during stellar fusion. This fusion did not create much Deuterium or Lithium, and these elements which exist today are mostly still remainders from the early universe.
Also, the abundance of the lighter elements depends on the current density of baryonic matter (matter made out of protons and neutrons); specifically, the baryon/photon ratio.
Initial Conditions and Primordial Nucleosynthesis
Notes from Physics-320 class at the University of Shefield, UK
Big Bang Nucleosynthesis
A collection of reviews and papers by Subir Sarkar at Oxford University
Big Bang Nucleosynthesis
A collection of works by K. Jedamzik and J.B. Rehm at the Max-Planck-Institut für Astrophysik
Big Bang Java Calculator v1.1
An online applet that creates graphs of the predictions and relative amounts of elementary particles in the early universe; from the University of Washington
For further reading...
The First Three Minutes, by Steven Weinberg