BC Calculus AP Test Free Response Solutions





My AP Calculus Score Prediction
I think that I did well on the AP test. The multiple choice section was pretty easy. The free response section was difficult, but i was able to show some work to get at least a couple of points for credit.
Advice to Next Year's Class
Try to pay attention the whole year so that you won't have to learn everything right before taking the AP test.
I plan on attending
The University of Michigan
More Math Websites:
In this website, you must find the maximum possible volume for a box of doughnuts. In order to do that, you must cut our squares from the corners to form the box. You must use derivative and solve for zero to find maximum volume.
http://www.math.duke.edu/education/webfeatsII/gdrive/Team%20B/Project/index.htm
In this website, you take the volume of a vase by using integrals. You pick points on the vase and take dx slices to find the volume.
http://www.math.duke.edu/education/webfeatsII/gdrive/Team%20A/OurPage.htm
In this website, you are to determine the length of the outer edge of a pipe. You are to find the points of the curve and find an equation, then use integrals to find the length of the curve.
http://athens.troy.k12.mi.us/imc/wb/lpct1.htm
In this website, you are to determine the area of the state of Virginia by using riemann sums.
http://www.joma.org/vol3/modules/clark/area_of_virginia.htm
In this website, you are to determine the equation for the function that describes a squirt of water.
http://www.joma.org/vol2/articles/wattenberg/JOMA_article/water_fountain.html
In this website you use Taylor Polynomials to Graph a function f(x) and get the Taylor polynomial approximations to f(x) up to degree 4 for a given c value (the center point for the Taylor polynomials).
http://www.joma.org/offsite.html?page=http://cs.jsu.edu/mcis/faculty/leathrum/Mathlets/taylor.html
In this website you can make parabolas, hyperbolas, and circles by entering numbers for the coefficients for the equations.
http://www.joma.org/offsite.html?page=http://cs.jsu.edu/mcis/faculty/leathrum/Mathlets/conics.html
In this website, you learn how to take derivatives properly, and then graph tangent lines to the graph and find the equations of those tangent lines.
http://www.joma.org/offsite.html?page=http://cs.jsu.edu/mcis/faculty/leathrum/Mathlets/explore1.html
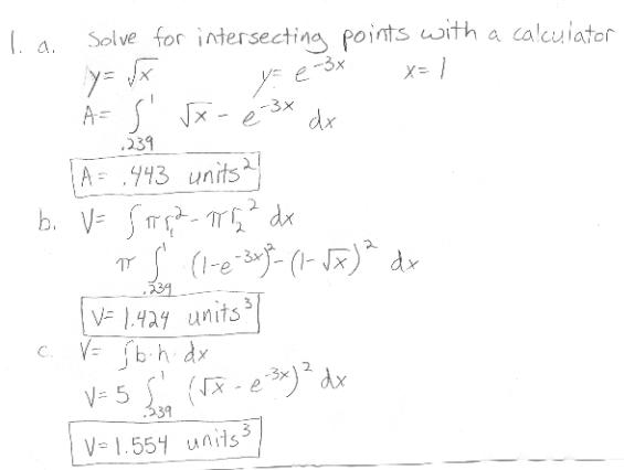
My Calculus Problem:
Calculate the volume of a watermelon by using perpendicular and parallel slices to the axis of revolution. Take apporopriate measurements from the axis of revolution. And set up the integrals to calculate the volume.