Quantum Chemistry for the Beginners
(Printer-Friendly PDF Version)
Lesson I :: Basic Concepts of Quantum Chemistry
Lesson II :: Quantum Chemistry of Atoms
1.1. Quantum-mechanical description is needed for microscopic systems:
As large creatures ourselves, we are rather habituated with the classical-mechanical description applicable for large or macroscopic (i.e., non-microscopic) systems, according to which description its macroparticles (i.e., macroscopic bodies, say, cricket balls) move in definite determinable paths (trajectories, e.g., the trajectory of a moving cricket ball) obeying the Newton's (three) laws of motions. This description implies that at any given point of time, such a particle would have a definite position (s) and a definite momentum (p = mv), both of which may be determined accurately. The classical description further implies that if the positions and momenta of all the constituent particles are known at one initial point of time, along with their mutual interacting forces, all the future positions and momenta may be precisely calculated therefrom, as if in the case of a perfectly working clock. Such a description is valid (exactly speaking, okay) for a macroscopic system up to a very good approximation, and before the twentieth century, physicists generally thought that the classical-mechanical description is applicable for anything in the universe, whether big or tiny (in the words of poet Alexander Pope: "Nature and nature's laws/ Lay hid in night/ And God said/ Let Newton be! And all was light").
However, now, we know that for microscopic systems such as atoms, ions or molecules this description is not at all valid. Simultaneously determinable positions and momenta is obviously impossible here, by virtue of the Heisenberg uncertainty principle (which is important for microscopic systems), so that the definite trajectories of its microparticles (e.g., the electrons & the nuclei) are indeterminable in such cases. Also, the Newton's laws of motions are also not at all applicable (i.e., not even approximately correct) for such systems. So for a microscopic system, we can have only a probabilistic description which is called the quantum-mechanical description, and which would only tell us about the probabilities of observing the system's particles at various places (at any given point of time). Note that unlike the aforementioned classical-mechanical description, in case of quantum-mechanical description there can be no certainly known predicted positions themselves; here one may only know what is the probability of observing the particle-positions at this or at that region of space.
Central to this probabilistic description, there is involved the concept of
wavefunction. For the given microscopic system, the (complete) wavefunction Y
is a mathematical function Y(q, t) of the position
coordinates of the particles therein (e.g., x1, y1, z1,
x2, y2, z2 for a two-particle system -- these space coordinates are together denoted as q), and
of the time t. The probability dp of observing the system with position
coordinates x1 lying between x1 and x1 + dx1,
y1 lying between y1 and y1 + dy1
etc. ......, z2 lying between z2 and z2 + dz2
(the coordinates lying simultaneously therein) is expressible in terms of Y
as dp = |Y|2.dt
(assuming that the wavefunction used is a normalised one -- see Sec. 1.4) where dt is the
(generalised) volume element (e.g., in this
case dt = dx1.dy1.dz1.dx2.dy2.dz2
-- only for a one-particle three-dimensional system would dt
equal the real-space volume element dv = dx.dy.dz). For many
microscopic systems (e.g., an isolated atom
or molecule -- see Sec. 1.3) we also come across stationary-state wavefunctions which are
products of a function y(q) of the spatial (i.e.,
space) coordinates only, and another function f(t) = exp(2piEt/h)
of time {i.e., Y(q, t) = y(q).f(t)}
-- in such cases the term wavefunction frequently means simply the
function y(q) of the spatial coordinates only. Also,
in such situations, dp = |y(q)|2.dt
(as, obviously, |exp(2piEt/h)|2 = 1 so
that |Y|2 = |y|2),
indicating that the probability dp is invariant with time (hence the name stationary
state). The wavefunction duly describes the present state of the microscopic
system; the first of the six postulates of quantum mechanics says: The
state of a system is described by a function Y of the
coordinates and the time. This function, called the state function or the wave
function, contains all the information that can be determined about the system. (Quantum
Chemistry, Ira N. Levine).
Note: As for a one-particle three-dimensional system, dp = |Y|2.dv
where dv = dx.dy.dz, so there we get that the probability density r
= dp/dv (i.e., the probability of observing the particle per unit volume -- just
as mass density of a liquid is mass per unit volume) for the particle is r
(= dp/dv) = |Y|2, a relation probably
familiar to you (but, do remember that this relation r
= |Y|2 is valid only for '1-P, 3-D' type
of systems).
Let us now compare and contrast the
classical-mechanical and the quantum-mechanical descriptions for the simplest
atom, i.e., the hydrogen atom. The Bohr's theory description of the H-atom is
essentially a classical one, with some definite circular trajectories assumed
for the electron. Similar to the case of the earth revolving round the sun in a
definite elliptical trajectory, here also the Newton's laws were assumed as
equally valid, with the required centripetal force to continuously bend the
electron's path assumed to be supplied by the Coulombic electron-proton
attraction force. But the quantum theoretical description for the H-atom rejects
the idea of definite trajectories, let alone supposedly circular ones! As per
quantum theory, the electron in the H-atom changes its position in a rather
random way (the Newton's laws of motions are not at all obeyed), with only the
probability of observing its various possible positions obtainable from its
electronic wavefunction y (x, y, z).
Note: The Bohr's theory of H-atom is, obviously, not quite a
realistic theory for the H-atom. It's time you forget its associated picture.
1.2. How to find the wavefunction for the given microscopic system?
The wavefunction Y of the given (microscopic system) is obtainable as the solution of a particular differential equation for that system; this differential equation is known as the time-dependent (or time-evolution) Schrodinger equation (the 6th postulate, see I. N. Levine). [You must be knowing that a solution of a differential equation (say, d2f/dx2 = k2 f -- k being a constant), means a function f(x), say f(x) = sin(kx), that satisfies that differential equation (i.e., when placed in that equation -- please verify in this case by doubly differentiating sin(kx) with respect to x)]. The time-dependent Schrodinger equation is of the form ĤY = iħ(∂Y/∂t), where Ĥ is the Hamiltonian operator for the system [e.g., for electronic motion in an H (hydrogen) atom, Ĥ is (ħ2/2me).{(∂2/∂xe2) + (∂2/∂ye2) + (∂2/∂ze2)} e2/(4peore) -- explained in Sec 1.3], i is the well-known square-root of 1, ħ = h/2p (i.e., Planck constant h divided by 2p), and t is time.
However, in many cases the simpler time-independent Schrodinger equation is also
obeyed, leading to aforesaid stationary-state wavefunctions (mentioned in Sec. 1.1, also
detailed in Sec. 1.3). This time-independent equation
is of the form ĤY = EY,
where E is a constant which is identifiable as the energy of the microscopic
system. The time-independent equation
(frequently denoted as the Schrodinger equation!) is more generally written in the
form Ĥy = Ey,
where y
(frequently called the wavefunction!) is the aforesaid function y(q)
of spatial coordinates only {with Y(q, t) equalling y(q).f(t)}. This
time-independent equation is
an example of eigenvalue equations (one particular class of
differential equations), which means that in this equation a differential operator (here Ĥ), operates on the solution function (here y), resulting in the same function
multiplied by a constant (here E). The solution function of an eigenvalue
equation is called its eigenfunction,
and the corresponding constant is called the eigenvalue. [Naturally, the time-independent Schrodinger equation is
also known as the Schrodinger energy-eigenvalue equation.]
Problem: Is sin(3t) an eigenfunction of the operator (d2/dt2)
and of the operator (d/dt)? If so, find the eigenvalue, if any.
Answer: (d2/dt2)sin(3t) = 9 sin(3t), i.e., gives the
same function sin(3t) multiplied by a constant 9. So, sin(3t) is an
eigenfunction of the operator (d2/dt2), and the
corresponding eigenvalue is 9. However, (d/dt)sin(3t) = 3 cos(3t), implying
that it is not an eigenfunction of (d/dt), and the question of the eigenvalue
obviously does not arise here.
Note: An eigenfunction of any operator needn't necessarily be a wavefunction of
some system. Did anybody tell you that sin(3t) above is a wavefunction of any
system? No, it's not. But, a eigenfunction of the Hamiltonian operator
is, of course, a wavefunction of the system.
1.3. Some more details about the Hamiltonian operator and the Schrodinger equation:
The Hamiltonian operator always consists of two parts: the kinetic energy (K.E.) operator T (this is an operator involving some differentiation operations -- in the above H-atom example (ħ2/2me).{(∂2/∂xe2) + (∂2/∂ye2) + (∂2/∂ze2)} is the T operator), and the potential energy (P.E.) operator V (this is simply a multiplicative operator involving multiplication by the potential energy function V = V(q,t) for the system -- this means that the operator V and the function V are synonymous for all practical purposes). In other words, Ĥ = T + V. [You probably know by now that an operator A is just a rule that changes one function f into another function g (= Af) -- as in the example (d/dt) sin(3t), where the operator (d/dt) changes the function sin(3t) into another function 3cos(3t)]. It would be obvious to you how to find the V operator -- just find (using rules of electrostatics or electromagnetism etc., whichever is applicable) what is the P.E. function V(q,t) for the system, expressed as a function of particle coordinates q and time t. [In the above H-atom example, Coulomb's law of electrostatics did tell us that the potential energy of interaction is e2/(4peore), re being the electron-nuclear distance.]
However, it's probably an enigma
to you that how did we arrive at the aforesaid T operator -- to uncover this mystery let us learn the following postulate: To every physical
observable there corresponds a quantum-mechanical operator, which is obtainable
by (i) first expressing, as per relations in classical mechanics, that observable as a function of Cartesian position
coordinates (xj etc.), time t and the Cartesian linear momentum
components (pxj etc.), and (ii) then
replacing every linear momentum component pxj in that
expression with
the
corresponding linear momentum operator pxj =
iħ(∂/∂xj), while keeping the position coordinates
and the time as it is (the 2nd postulate, see I. N. Levine). Thus we know
that for the electron in the H-atom, the K.E. observable is, classical-mechanically,
expressible as (1/2)meve2 =
(1/2)pe2/me = (1/2me).(pxe2+pye2+pze2).
So the corresponding quantum-mechanical operator T is (1/2me).[{iħ(∂/∂xe)}2
+ {iħ(∂/∂ye)}2 + {iħ(∂/∂ze)}2}
= (1/2me).(iħ)2{(∂2/∂xe2)
+ (∂2/∂ye2) + (∂2/∂ze2)},
which is obviously identical with the aforesaid enigmatic expression for T
(note that i2
= 1 giving (i)2ħ2 = ħ2)!
Note: The differential operator (∂2/∂x2
+ ∂2/∂y2 + ∂2/∂z2)
occurs frequently in quantum mechanics; it is called the Laplacian or the
Laplace operator, and is denoted by the popular symbol
(also by the symbol D).
You may now be safely told that where the P.E. function V(q,t) for the system has no explicit dependence on time t, i.e., where the function V(q,t) is rather a function V(q) of the spatial coordinates q only, the time-dependent Schrodinger equation undergoes separation of variables and gives rise to (i) the time-independent energy-eigenvalue equation Ĥy(q) = Ey(q), and (ii) another differential equation iħ(∂f/∂t) = Ef(t), the solution of the latter being obviously f(t) = exp(Et/ħ) = exp(2piEt/h) -- check that by putting the function in that equation}. In other words, when in the Schrodinger equation the function V(q,t) means V(q), the stationary-state wavefunctions Y(q, t) = y(q).f(t) are obtained as its solution. It should be clear to you that for the above H-atom example, with V(q) = e2/(4peore), the wavefunctions are stationary-state ones.
A natural consequence of the Schrodinger energy-eigenvalue equation is the discrete nature (also called quantisation) of the allowed energy values of a microscopic system. [In English, the word discrete is the antonym of continuous, whereas a quantum mean a discrete amount of something, say of energy. The name quantum mechanics also arises therefrom.] For a cricket ball you'd naturally feel that within the humanly possible range of its speed v (say, 0 to 30 ms1) any speed is allowed in principle, and so any kinetic energy E = (1/2)mv2 within its corresponding range is surely allowed. In other words, the range of its allowed K.E. is a continuous one. You'd laugh away any eccentric suggestion that the ball may only have energies 100 J or 120 J or 150 J, but not anything in between! But for many microscopic systems, something very similar is true! You probably know by now that the allowed energies of an atom or a molecule are discrete ones -- for example the electronic energy of an H-atom is (13.6/n2) eV, where n = 1, 2, 3 etc., implying that for an H-atom this energy may be 13.6 eV or 3.4 eV etc., but nothing in between these two! Such discrete nature of the allowed energies arise from the simple fact that any values of E can't satisfy the energy-eigenvalue equation Ĥy = Ey, but only some values can. That only the energy values E satisfying equation Ĥy = Ey may be the energy of the system is dictated by another postulate: The only possible values that can result from measurement of the physical observable B for a system are the eigenvalues bj in the eigenvalue equation Bfj(q) = bj fj(q), where B is the quantum-mechanical operator corresponding to the observable B (the 3rd postulate, see I. N. Levine). Please think for yourself whether (i) Ĥ is the operator corresponding to the physical observable E, and (ii) why the allowed energy values of a atom or a molecule are only the eigenvalues E satisfying Ĥy = Ey.
During solution of the differential equation Ĥy = Ey, the discrete nature of E arises while applying the boundary conditions (b.c.-s). In a quantum mechanical problem, the boundary conditions imply definite values (generally zero value) of the wavefunction at the system boundary positions. For an atom or molecule, this means enforcing zero value of wavefunction y at infinite distance from the nucleus / nuclei. For particle in a box problem, this means enforcing zero value of y at all the boundaries of the (one-, two- or three-dimensional) box. For particle in a 1-D box (for which the potential V(x) is zero within x = 0 and x = L, but infinite elsewhere), the Schrodinger equation within the box segment is, obviously, (ħ2/2m).(d2y/dx2) = Ey i.e., d2y/dx2 = (2mE/ħ2).y (the system is 1-D, m is the particle mass), and the wavefunction is obviously y(x) = sin(kx) with k = (2mE/ħ2)0.5, this function satisfying y = 0 when x = 0 (one b.c.). However, the requirement of y = 0 when x = L (another b.c.) imposes the relation kL = np (with n = 1, 2, 3 etc.), which relation immediately implies (2mE/ħ2)0.5 = np/L, i.e., E = (n2p2ħ2/2mL2) = n2h2/(8mL2), obviously leading to quantisation of the energy E. [Thus here E = e, 4e, 9e, 16e etc. where e = h2/8mL2 (how?) -- but not, say, 1.55e or 2e.] The b.c.-s arise from the requirement that any wavefunction be well-behaved (see I. N. Levine), which means that the wavefunction be single-valued and continuous at every point (thus at a 1-D box boundary point, say at x = L, the wavefunction value within the box, i.e., sin(kL) must equal its value just outside the box, i.e., 0).
An obvious consequence of the aforesaid discrete nature of
atomic and molecular energies is that any atomic and molecular spectra is always
made of some (whether a few, or a large number of) discrete lines. These
discrete lines come into being because both one lower energy El and
another upper energy Eu of the atom or the molecule are discretely
differing ones, so that their difference DE = (EuEl)
is definite, and so finally the various possible differences DE
makes a set of discrete quantities. As per Planck's law, the frequency n
of the electromagnetic radiation emitted or absorbed during transition between
an upper and a lower energy level is related to their energy difference DE
as per the relation DE = hn,
and so the radiation frequencies must also be discrete just like the energy
differences DE, finally giving rise to a spectra of
discrete lines. For atomic spectra (they are always of electronic-energy
origin), its discrete-lines nature is directly prominent, the atomic spectra
being called a line spectra. However, for molecules their spectra is composed of
several sets of large number of lines, each set having many lines so closely
spaced to one another that each such set appears as one band to the
observer, and so molecular spectra are called as band spectra.
Note: For hydrogen atom, the nature of its line spectra is well known, with the
frequencies of its lines being given by the simple relation hn = (13.6 eV).(1/nu2
1/nl2) = 13.6 eV. (1/nl2 1/nu2),
as here Eu = (13.6/nu2) eV and El
= (13.6/nl2) eV, with hn = EuEl.
This also gives the wavenumber 1/l =
n/c as, 1/l = (13.6
x 1.602 x 1019 J/ hc). (1/nl2 1/nu2)
i.e., as
1/l = Ry. (1/nl2 1/nu2),
where Ry is the Rydberg constant equal to 1.097 x 107 m1.
On the basis of lower energy level quantum number nl, the lines are
classified into several series as: Lyman (nl = 1, nu =
2,3,4,...), Balmer (nl = 2, nu = 3,4,5,...), Paschen (nl
= 3, nu = 4,5,6,...), Brackett (nl = 4, nu =
5,6,7,...), Pfund (nl = 5, nu = 6,7,8,...).
Problem: For the H-atom, what is the
frequency n
and the wavenumber (i.e., 1/l = n/c)
of the line in the Lyman series having the smallest frequency? Ans: 2.466 x 1015
Hertz, 8.228 x 106 m1.
1.4. Normalisation of the wavefunction and its Born interpretation:
Let us again consider the eigenvalue equation (d2/dt2)
f(t) = 9 f(t). We knew that sin(3t) is a solution of this. But isn't 2sin(3t)
another solution? (Check that yourself.) Also, 3sin(3t) or 1.4sin(3t)? Yes, any functions
Nsin(3t), where N is a constant, is a solution. This characteristic is common to
any eigenvalue equation, including the Schrodinger energy-eigenvalue equation.
This means that if y(q) is a wavefunction satisfying
equation Ĥy(q) = Ey(q),
any function W(q) = Cy(q), where C is any constant, is also
a wavefunction satisfying the same equation. [To verify this
rigorously, note that we always have Ĥ(Cy)
= CĤy, as Ĥ is a linear
operator. As Ĥy = Ey,
we get ĤW = Ĥ(Cy) = CĤy =
CEy = E(Cy) =
EW, i.e., W(q) satisfies the eigenvalue equation ĤW = EW.] However, not all such
wavefunctions W(q) = Ny(q) satisfy the aforesaid
probabilistic interpretation dp = |W(q)|2.dt
-- even though for all such
wavefunctions |W(q)|2.dt is proportional
to the probability dp. A wavefunction y(q) that
satisfies the equality dp = |y(q)|2.dt
is called a normalised wavefunction, whereas a wavefunction that does not
satisfy this relation is an unnormalised wavefunction. The Born
interpretation of the wavefunction states that for a normalised wavefunction
y(q), the (infinitesimal) probability of observing
the system with particle coordinates within the infinitesimal volume element dt
is:
dp = |y(q)|2.dt,
whereas for an unnormalised wavefunction W(q), dp a
|W(q)|2.dt (i.e., it is proportional
to
|W(q)|2.dt)
Note: The term wavefunction generally implies
a normalised wavefunction.
If we obtain an unnormalised wavefunction W(q) by solving the
Schrodinger equation (we generally always arrive at an unnormalised wavefunction
at first), there is a well-defined procedure by which we may obtain the
corresponding normalised wavefunction y(q) = NW(q) --
this process is called normalisation. The constant N that multiplies the
unnormalised wavefunction to give the normalised one is called the normalisation
constant; it is always chosen to be a real positive constant. To
calculate the normalisation
constant and thus to normalise an wavefunction W(q) we proceed as follows:
We note that dp = |y(q)|2.dt
= |NW(q)|2.dt where y(q) =
NW(q) is the normalised function. Thus
dp = |N|2.|W(q)|2.dt
= N2.|W(q)|2.dt
(as N is real positive, |N|2 = N2)
Let us now integrate the above quantity dp over the
complete range of the spatial coordinates for the system. This means
encompassing all possible regions of space for each particle in the system;
e.g., for two particles 1 & 2 each moving in three dimensions, such complete
range would mean varying each of x1, y1, z1,
x2, y2 & z2 coordinates between their
ultimate limits ∞ to +∞. As dp is the probability of observing the
particle coordinates within the infinitesimal volume element dt,
its integral over the complete range of those coordinates means the probability
of observing the system with its particle coordinates anywhere. This
probability is, obviously, unity (i.e., 1). Thus we have:
∫ N2.|W(q)|2.dt =
1 or N2. ∫ |W(q)|2.dt =
1 where the integral ∫ |W(q)|2.dt
indicates integration over the complete range of coordinates. This
further gives N = 1/( ∫ |W(q)|2.dt)1/2,
giving us the desired expression for the normalisation
constant N, and thus finally allowing us to obtain the corresponding normalised
wavefunction y(q) = NW(q), i.e., to normalise the
given wavefunction W(q).
Note: If the aforesaid integral ∫|W(q)|2.dt exists
(i.e., have a definite as well as finite value), the
wavefunction W(q) is said to be quadratically integrable. Obviously, only
the quadratically integrable wavefunctions can be normalised.
Let us now normalise the particle in a 1-D box wavefunction:
Using k = np/L, we find its (unnormalised)
wavefunction W(x) to be,
for x within 0 & L, as W(x) = sin(kx) = sin(npx
/L) while W(x) = 0 for other values of L. Thus the integral ∫|W(q)|2.dt
= ∞∫0 |W(x)|2.dx + 0∫L
|W(x)|2.dx + L∫+∞ |W(x)|2.dx
= ∞∫0 0.dx + 0∫L |sin(npx
/L)|2.dx + L∫+∞ 0.dx
= 0 + 0∫p {sin(nq)}2.(L/p).dq +
0 (where we substitute q = px
/L and, so, dx = (L/p).dq)
= (L/p). 0∫p sin2(nq)
dq = (L/p). 0∫p
[{1 cos(2nq)}/2] dq
{as cos(2nq) = 1 2 sin2(nq)}
= (1/2).(L/p). 0∫p
dq (L/p). 0∫p
cos(2nq) dq =
(1/2).(L/p).p
[sin(2nq)/2n]0p
= L/2 (1/2n).(00) = L/2. This gives that the normalisation
constant N is:
N = 1/( ∫|W(q)|2.dt)1/2
= 1/(L/2)1/2 = (2/L)1/2 and the normalised
wavefunction as y(x) = (2/L)0.5.W(x)
1.5. The spherical polar coordinate system and normalisation of H-atom
wavefunctions:
For atoms, molecules and other molecular species (e.g., ions), the Cartesian (i.e., xyz) coordinate system is almost never used, rather another coordinate system known as the spherical polar coordinate system is routinely used. In this system, the position of a point (say of point P) in three-dimensional space is designated using three coordinates r, q and f (instead of using the x, y and z coordinates). The significance of these coordinates are as follows (see figure):

r is the distance from the origin O to the point
P (r may, obviously, vary within 0 and +∞)
q is the angle (expressed in
radian unit) made by the (origin-to-point) line OP with the positive
direction of the Z-axis (q may, obviously, vary
within 0 and p, i.e., 0 ≤ q
≤ p). In this figure, q
is around p/4 i.e., 0.785.
f is the angle (expressed in
radian unit) by which the positive direction of the X-axis needs to
be rotated along the positive direction for rotation (i.e., the
direction of rotation from the X-axis towards the Y-axis), so as to finally
reach the line OL (where L is the projection of the point P on the XOY plane). f
may, obviously, vary within 0 and 2p (however, it
can't exactly equal 2p, i.e., 0 ≤ f
< 2p). In this figure (try to visualise it properly),
f is around 7p/4
i.e., around 5.5.
Now note the obvious geometrical-origin
interrelations z = r cosq, x = r sinq
cosf and y = r sinq sinf
between the Cartesian and the spherical polar coordinates. The three reverse
relations f = tan1 (y/x), r = (x2+y2+z2)1/2,
and q = cos1 {z/(x2+y2+z2)1/2}
are obvious therefrom (to obtain the reverse relations yourself, note that y/x =
tanf, x2+y2+z2 = r2
and z/r = cosq). Commit to memory all the six
relations (they're not too cumbersome!). For computer-based
calculations, one should use f = sin1
(y/(x2+y2)1/2) instead of f
= tan1 (y/x), so as to avoid unintentional division by zero (to
derive this expression, first find that x2+y2 = r2
sin2q which gives r sinq
= (x2+y2)1/2 implying sinf
= y/(x2+y2)1/2.
Please check for yourself whether
the aforesaid limits for r, q and f
are exhaustive (they account for any conceivable point in 3-D space), non-absurd
(any conceivable set of these coordinates indicate a physical point in space) as well as non-contradictory
(i.e., a point in space will not have two or more possible values for q,
or for f). Now try to tell why shouldn't f
be negative?
Notes: (i) It should be obvious to you that for denoting spatial position
of two particles, say of two electrons, six (instead of three)
spherical polar coordinates, namely r1, q1,
f1, r2, q2
and f2 are
required. (ii) You should be interested to know what is the expression for
the Laplacian
= (∂2/∂x2
+ ∂2/∂y2 + ∂2/∂z2)
in terms of the spherical polar coordinates r, q
and f -- well, it is ∂2/∂r2
+ (2/r)∂/∂r
+ (1/r2)∂2/∂q2 +
(1/r2)cotq.∂/∂q +
(1/r2)cosec2q.∂2/∂f2
(better not ask for the proof!). Now, try to express the H-atom Hamiltonian
operator (Sec. 1.2) in terms of these coordinates!
Now, in the spherical polar coordinate system terminology,
what does the infinitesimal volume element dv = dx.dy.dz equal? You might be thinking
dr.dq.df
as an obvious answer, but that's a wrong one! The right answer is r2.sinq.dr.dq.df,
i.e., dx.dy.dz = r2.sinq.dq.df.dr. For
derivation of this equality see some standard textbook (I won't go into it here)
-- however, we may note
here itself that r2.sinq.dq.df.dr
has indeed the same dimension (L3, i.e., length-cube dimension) as dx.dy.dz
(whereas dr.dq.df
has length or L1 dimension, the angles q
and f being dimensionless pure numbers). Thus in
three-dimensional, one-particle systems, the integral ∫∫∫ |W(q)|2.dt
equals
∞∫+∞ ∞∫+∞
∞∫+∞ |W(x,y,z)|2.dx
dy dz
= 0∫+∞ 0∫2p
0∫p |W(r,q,f)|2.r2
sinq dq df
dr (note the three limits for the integrations).
Let us now perform the above integration and hence normalise
the wavefunction for two simplest case of hydrogen-atom electronic
wavefunctions. The unnormalised 1s wavefunction is known to be exp( r/ao),
where ao is called the 'atomic unit of distance' also known as the Bohr radius (or Bohr),
equalling 0.529 Ε (i.e., 52.9 pm). Note absence of dependence on angles q
& f here. On the other hand, the unnormalised 2po
(i.e., 2pz) wavefunction is r exp{r/(2ao)}cosq.
Let us now normalise these two.
Note: The hydrogen-like atomic system wavefunctions (for
mono-electronic atomic systems such as H atom, He+ ion, Li2+
ion etc.) have the atomic number Z in their functional forms (where Z = 1 for H
atom, 2 for He+ and 3 for Li2+ etc.). For example, we say
that the unnormalised 1s wavefunction for the hydrogen-like atomic system is
exp(Zr/ao).
To normalise the 1s wavefunction W(q) = exp( r/ao)
we calculate the integral
∫|W(q)|2.dt = 0∫+∞ 0∫2p
0∫p |W(r,q,f)|2.r2
sinq dq df
dr. We thus get,
∫|W(q)|2.dt = 0∫+∞ 0∫2p
0∫p |exp(
r/ao)|2.r2
sinq dq df
dr
= [0∫+∞
r2
exp( 2r/ao) dr ]. [ 0∫2p
df ]. [ 0∫p
sinq dq ]
= [0∫+∞
r2
exp( 2r/ao)
dr ]. [2p]. [ cosq dq]0p
= [0∫+∞
r2
exp( 2r/ao)
dr ]. [ 2p]. [(1) (1)] = 4p
[0∫+∞ r2
exp( 2r/ao)
dr ]
Note that if the wavefunction is independent of q
and f, the angular integral is simply 0∫2p
0∫p sinq dq df,
which have the definite value 4p (with 0∫2p
df = 2p and
0∫p
sinq dq = 2 -- this is
worth of remembering). From knowledge of the standard integral 0∫+∞
rn
exp(br)
dr = n!/bn+1 (where b is a constant and n is an integer constant), we find that the radial
integral is:
0∫+∞ r2
exp( 2r/ao)
dr = 2! / (2 /ao)3 = ao3 /4.
This gives ∫|W(q)|2.dt =
4p.ao3 /4 = p.ao3.
So the normalisation constant is:
N = 1/( ∫|W(q)|2.dt)1/2
= 1/(p.ao3)1/2
and the normalised
wavefunction is
y(r,q,f) =
{1/(pao3)0.5}.exp(
r/ao)
Note: For the hydrogen-like 1s wavefunction exp( Zr/ao), the
normalisation constant is obviously {Z3/(pao3)}0.5.
To verify this, note that the angular integral here remains the same while the
radial integral becomes
0∫+∞ r2
exp( 2Zr/ao)
dr = 2 / (2Z /ao)3 = ao3 /(4Z3),
giving
∫|W(q)|2.dt = 4p.ao3
/(4Z3) = p.ao3/Z3
and so N = {Z3/(pao3)}1/2.
For the 2po
wavefunction W(q) = r exp{r/(2ao)}cosq,
we get
∫|W(q)|2.dt = 0∫+∞ 0∫2p
0∫p |r exp{r/(2ao)}cosq
|2.r2
sinq dq df
dr
= 0∫+∞ 0∫2p
0∫p r4 exp{2r/(2ao)}cos2q
sinq dq df
dr
= [0∫+∞
r4
exp( r/ao) dr ]. [ 0∫2p
df ]. [ 0∫p
cos2q sinq dq ]
Using knowledge of standard integrals, we get 0∫+∞
r4
exp( r/ao) dr = 4!/(1 /ao)5 = 24 ao5.
As d(cosq) = sinq dq,
we substitute t = cosq giving dt = sinq dq,
so that
0∫p
cos2q
sinq dq = t=1∫1
t2 dt = [t3/3]11
= [1/3 1/3] = 2/3. This gives:
∫|W(q)|2.dt =
[0∫+∞
r4
exp(r/ao)dr].[0∫2p
df].[0∫p
cos2q
sinq dq ] = 24 ao5.2p.(2/3)
= 32pao5.
So the normalisation constant is N = 1/( ∫|W(q)|2.dt)1/2
= 1/(32pao5)1/2
and the normalised
wavefunction is y(r,q,f) =
{1/(32pao5)0.5} r exp{r/(2ao)}cosq.
Using the normalised H-atom wavefunctions encountered above,
we may now calculate the probability of observing the electron within a specific
region in the atom. We generally find the probability for a spherical region
around the nucleus, this choice allowing us to disregard the question of
direction (indicated by q
and f), considering only the distance from the
nucleus (i.e., r). As all directions are allowed in such a problem, the
probability is to be integrated over the complete range of q
and f (which means q
varying from 0 to p and f
varying from 0 to 2p), though the range for r is directed
by the specific problem.
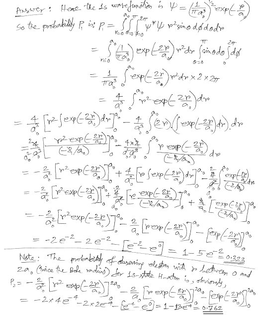
Problem: For an H-atom in the 1s state, what is the probability of observing the
electron within a distance ao (Bohr radius) from the proton? Within a
distance 2ao? And with distance higher than ao? [Hint: The
distance from the proton is, obviously, r].

The probability of observing with r within ao (i.e., 0 ≤ r ≤
ao) and with r beyond ao (i.e., ao ≤ r
< +∞) obviously adds up to 1, which is the probability of observing the
electron with any value of r whatsoever. So, the probability of observing with r beyond ao
is 1 P1 = 1 0.323 = 0.677.
1.6. Calculation of averaged value of a physical observable from the
wavefunction:
From knowledge of the normalised wavefunction for the given system, the average value (in other words, the expectation value) of any physical observable (e.g., of the system energy) can be calculated, utilising one more postulate of quantum mechanics: The average value <B> of a physical observable B at time t equals ∫Y*(q,t).BY(q,t).dt , where Y(q,t) is the normalised wavefunction for the system at time t, and B is the quantum mechanical operator corresponding to the observable B (here, obviously, Y* is the complex conjugate of the function Y). [Note that for stationary states, Y(q,t) = y(q).f(t) where |f(t)|2 = f*(t).f(t) = 1. So if operator B doesn't involve time t, ∫Y*(q,t).BY(q,t).dt would equal ∫y*(q).By(q).dt {as BY(q,t) would then equal f(t)By(q)}.]
Thus, the average value of energy E may be obtained from the wavefunction y(q) as ∫y*(q).Ĥy(q).dt (remember that Ĥ is the operator corresponding to the observable E). This is, however, unnecessary in situations (such as for the H-atom) where the wavefunction is an exact (i.e., accurate) one, so that the wavefunction is just an eigenfunction of the Ĥ operator. If the wavefunction is an eigenfunction (with the eigenvalue b) of the operator B, what happens to the aforesaid average ∫y*(q).By(q).dt? It simply equals b, the aforesaid eigenvalue. This is because By(q) would equal by(q), so that ∫y*(q).By(q).dt would equal b.∫y*(q).y(q).dt = b. However, all many-electron atoms and molecules (starting from the simplest He-atom) have no exact solution for the Schrodinger equation, so that we must remain satisfied with approximate wavefunctions for any of them (unlike for H-atom). In the variation method for (approximate) solutions, we choose an approximate wavefunction y, and then calculate its corresponding average energy <E> as the integral I = ∫y*.Ĥy.dt (as y is approximate, y is not an eigenfunction of Ĥ), and then consider that y to be the best for which this integral I is the minimum!
Let us now calculate the average of electron-nuclear distance
(i.e., of r) for 1s electronic state of the H-atom. As the observable r is
expressible in terms of the electron's Cartesian position coordinates (x,y,z)
only (i.e., as r = (x2+y2+z2)1/2,
see Sec. 1.3), its corresponding operator is r itself (a simple, multiplicative
operator). As the normalised 1s wavefunction is y(r,q,f) =
{1/(pao3)0.5}.exp(
r/ao), so we get the said average <r> as:
<r> = ∫{1/(pao3)0.5}.exp(
r/ao). r.{1/(pao3)0.5}.exp(
r/ao).dt
= 0∫+∞ 0∫2p
0∫p {1/(pao3)}.r
exp( 2r/ao). r2
sinq dq df
dr
= {1/(pao3)}.
0∫+∞ 0∫2p
0∫p .r3
exp( 2
r/ao). sinq dq df
dr
= {1/(pao3)}.[
0∫+∞ r3 exp( 2
r/ao)dr ].[ 0∫2p
df ]. [ 0∫p sinq dq]
= 4p.{1/(pao3)}.
0∫+∞ r3 exp( 2
r/ao) dr = (4/ao3). {3!/(2/ao)4}
= 1.5 ao.