Site hosted by Angelfire.com: Build your free website today!

主頁 目錄 上一頁 下一頁 留言

4l.電感功率
Energy Stored in Inductance


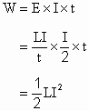
        當電感電路的電流以均勻比率於時間 t 秒內由電流 0安培 改變至 I 安培,那麼電路電流之平均值  = 安培。

感應電動勢之平均值為:

           

電感量平均功率公式如下:

 

上一頁 回到最上 下一頁