Site hosted by Angelfire.com: Build your free website today!

UNDER CONSTRUCTION

Internal / External Pressure in a Pipe:

Derivation from the Theory of Elasticity applied in polar coordinates.

Using the equations of compatibility ( see Elastic Solids ) the stress function generated is




The polar stresses are defined as:

..............................(1)

.............................................(2)

..........................(3)

In our case the stresses are symmetric and does not depend on so (1) becomes

and (2) remains unchanged

finally (3) is

Evaluate differentials:


Taking B=0 (because at r = 0, ln0 => )

Then

..........................(4)

.......................(5)

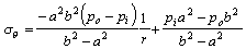
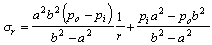
Let a and b be the inner and outer radius and Pi and Po be the internal and external pressures, the the boundary conditions are:

into (4) yields


From which

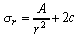
Substituting back into (4) and (5) yields:



These are the stresses for a combination internal and external pressure in a pipe. By considering internal pressure only, these equations reduce even further. This is considered a thick wall fomulation.

JCS

Back to previous