|
Reference Circle: Period and Nature SHM
Introduction
The
period of a simple harmonic oscillator is dependent on the stiffness of the
spring and the mass that is oscillating.
It is not dependent on the amplitude.
The formula for the period of a simple harmonic motion, SHM,
can be derived by comparing SHM to an object rotating in a reference
circle. We can also derive the formula for the position of an oscillating
mass as a function of time.
Using the diagram to the left, mass m is rotating
counter-clockwise in a circle of radius A with a speed of vo on the
top of a table. When viewed from above, the object is moving in a circle
in the xy plane. However, if viewed from the side, the object is oscillating
back and forth in a simple harmonic motion.
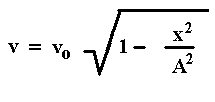
The two triangles are similar. thus
or

This is the same equation we derived in Energy in Oscillator.
Thus the projection on the x axis of an object rotating in a circle has the same
motion as a mass at the end of a spring. The period of SHM is the same as
the time for a rotating object to make one complete revolution.
This time is the circumference of the circle divided by the speed.
In Energy in Oscillator we saw
that A / vo = ( m / k ) 1/2
substituting into the previous equation we get the following.
We can also use the relationship between frequency and period to get the
following.

The reference circle can be used to find the position of a
mass undergoing SHM as a function of time.
The reference circle above shows
cos = x/A
thus x = A cos
Since the mass is rotating with an angular velocity ,
we can write = t
where is in radians. Thus
x = A cos t
Since
= 2 f
x = A cos 2 ft
2 t
x = A cos
--------
Use sin instead of cos if mass starts at equilibrium when t = 0.
T
The
diagram to the left shows this relationship.
At t = 0, the mass is at the amplitude.
At t = T, the mass is back at the amplitude. It should
be because the period is the time for a complete cycle.
At 1/4 and 3/4 T the mass is at the equilibrium position.
At 1/2 T, the mass is at - A.
Table of Contents
Problems
| 1. |
A spring vibrates with a frequency of 3.00
Hz when a 0.500 kg mass is hung from the spring. Calculate the
frequency if a 0.375 kg mass is hung from the spring.
|
| 2. |
A 200. g mass oscillates on a horizontal
frictionless surface at a frequency of 4.25 Hz with an amplitude of
3.75 cm. (a) What is the spring constant of this
motion? (b) How much energy is involved in this motion?
|
| 3. |
A mass m at the end of a spring vibrates
with a frequency of 0.888 Hz. When an additional 600. g mass is
added to m, the frequency is 0.650 Hz. What is the value of m?
|
| 4. |
A 0.700 kg mass vibrates according to the
equation x = 0.450 cos 8.40t, where x is in meters, and t in
seconds. Determine (a) the amplitude, (b) the frequency,
(c) the period, and (d) the kinetic energy and potential energy
when x = 0.300 m.
|
| 5. |
A 15.0 g bullet strikes a 0.500 kg block
attached to a fixed horizontal spring whose spring constant is
5.70 x 10 3 N/m and sets it into vibration
with an amplitude of 21.5 cm. What was the speed of the bullet
before impact if the two objects move together after impact?
|
| 6. |
At t = 0, a 750. g mass at rest on the
end of a horizontal spring ( k = 225 N/m ) is struck by a hammer, which
gives it an initial speed of 3.15 m/s. Determine (a) the period and
frequency of the motion, and (b) the amplitude. |
Table of Contents
Answers
| 1. |
A spring vibrates with a frequency of 3.00
Hz when a 0.500 kg mass is hung from the spring. Calculate the
frequency if a 0.375 kg mass is hung from the spring.
|
|
Set up an equation for the ratio of the
frequencies. k is constant.
f2
m2 -1
m1
--- = ( -------- ) 1/2
= ( ----- ) 1/2 Solve
for f2.
f1
m1 -1
m2
m1
0.500 kg
f2 = f1 x ( ----- ) 1/2
= 3.00 Hz x ( -------------- ) 1/2 = 3.46 Hz
m2
0.375 kg
|
|
|
| 2. |
A 200. g mass oscillates on a horizontal
frictionless surface at a frequency of 4.25 Hz with an amplitude of
3.75 cm. (a) What is the spring constant of this
motion? (b) How much energy is involved in this motion?
|
|
Solve
for k.
k
f 2 = ------------
=> k = f 2 4 2
m = ( 4.25 s -1 ) 2 x 4 x 2
x 0.200 kg = 143 N/m
4 2
m
E = kA2 =
x 143 N/m x ( 0.0375 m )2 = 0.101 J
|
|
|
| 3. |
A mass m at the end of a spring vibrates
with a frequency of 0.888 Hz. When an additional 600. g mass is
added to m, the frequency is 0.650 Hz. What is the value of m?
|
|
Set up an equation for the ratio of the
frequencies. k is constant.
f2
m2 -1
m1
m
--- = ( -------- ) 1/2
= ( ----- ) 1/2 = ( --------------- )
1/2
Solve for m.
f1
m1 -1
m2
m + 600. g
f2 ( m + 600. g ) = f1
m = f2 m + 600 f2
f1 m - f2
m = 600 f2
600 f2
600. g x 0.650 Hz
m = ------------ =
------------------------------ = 1840 g
f1
- f2
0.888 Hz - 0.650 Hz
|
|
|
| 4. |
A 0.700 kg mass vibrates according to the
equation x = 0.450 cos 8.40t, where x is in meters, and t in
seconds. Determine (a) the amplitude, (b) the frequency,
(c) the period, and (d) the kinetic energy and potential energy
when x = 0.300 m.
|
|
The calculator must be set on radians instead of
degrees.
x = A cos 2 ft
(a) The amplitude must be 0.450 m
(b) 2 ft
= 8.40t
t cancels. Solve for f.
8.40 8.40
f = -------- = ------- = 1.34 Hz
2
2
(c) T = 1 /
f = ( 1.34 s -1 ) -1 = 0.746
s
(d) E = kA2
= PE + KE
First calculate value of k.
mg
= -
kA
Maximum force is at the amplitude.
mg 0.700 kg x
9.80 m s -2
k = ------- = -------------------------------
= 15.2 N/m
-
A
0.450 m
E = kA2
=
x 15.2 N/m x ( 0.450 m ) 2 = 1.54 J PE
= kx2
=
x 15.2 N/m x ( 0.300 m ) 2 = 0.684 J KE
= E - PE = 1.54 J - 0.684
J = 0.86 J
|
|
|
| 5. |
A 15.0 g bullet strikes a 0.500 kg block
attached to a fixed horizontal spring whose spring constant is
5.70 x 10 3 N/m and sets it into vibration
with an amplitude of 21.5 cm. What was the speed of the bullet
before impact if the two objects move together after impact?
|
|
E =
kA2
=
x 5.73 x 10 3 N/m x ( 0.0215 m ) 2 =
1.32 J
This is the Total Energy of the System.
KE = E = mv2
All of this energy is due to the bullet.
2
KE
2 x 1.32 J
v = ( -------- ) 1/2 = (
--------------- ) 1/2 = 39.8
m/s This
is the speed of the bullet.
m
0.015 kg
|
|
|
| 6. |
At t = 0, a 750. g mass at rest on the
end of a horizontal spring ( k = 225 N/m ) is struck by a hammer, which
gives it an initial speed of 3.15 m/s. Determine (a) the period and
frequency of the motion, and (b) the amplitude.
|
|
First solve for the Mechanical Energy. This
will allow you to calculate the amplitude.
E = mv2 =
x
0.750 kg x ( 3.15 m s -1 ) 2 = 3.72 J
E = kA2
Solve for the amplitude.
2E
2 x 3.72 J
A = ( ------ ) 1/2 = ( ---------------
) 1/2 = 0.182 m
k
225 N/m
2 x x 0.182
m
= ----------------------- = 0.363 s
3.15
m/s
f = T -1 =
( 0.363 s ) -1 = 2.75 s -1
An alternative method involves using the
following to calculate the period at the beginning.

|
Table of Contents
|