Site hosted by Angelfire.com: Build your free website today!

Application de la nouvelle réaction Tanden du buta-1,3-diénylthiocyanate:
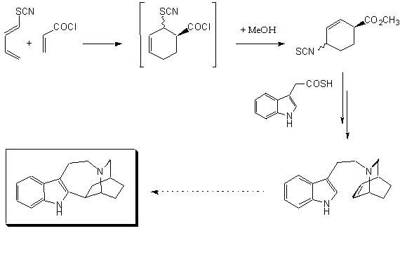
Synthèse du squelette de l'Ibogamine


 
 
 


La nouvelle reaction tandem a partir de buta-1,3-diénylthiocyanate
 

Application à la synthèse du squelette de l'ibogamine



Back to:[Neier's group] [Chemistry ] [University of Neuchâtel ]home page


Nicolas Soldermann / 22-06-2000