|
|
The Whole-Life Connection | ||
|
Telephone: +61 2 9727 5794 |
Email: |
Address: | |
![]()
SITE MAP
Home / About L.D.P.S & Services Offered / Learning Disabilities / Attention Deficit/Hyperactivity Disorder / The Learning Pyramid
/
Articles, Papers & Information Sheets / Classes & Workshops /
Related Links & Resources & References![]()
Dietary Supplements
Why do we need food supplements?
Food is one of our most basic needs. However, in our modern society fresh food is a thing of the past. The so called fresh fruits and vegetables we buy today have little nutritional value because they are grown in nutrient-deficient soil, picked before they ripen naturally, gassed, irradiated, artificially ripened and stored for days before we eat it. Therefore, our diets lack the essential building blocks of functional foods vital to our health and well being.
What happens if we don't get these functional foods?
Without functional foods the body cannot continue the miracle of healing itself as these foods provide the raw materials needed to assist in this healing process thus giving the body fuel to perform at optimum levels. Without sufficient functional foods the following four problems exist for most people:
Starvation: since most of our food is nutritionally starved;
Toxicity: many food products including raw fruits and vegetables
contain toxins not to mention the air we breathe and the water we drink which
actually work against our body's natural healing process;
Stress: as a result of malnutrition and high levels of
toxicity;
Degenerative disease: which can be symptomatic of nutritional
deficiency and as a result of stress on the body.
What are these functional foods?
Functional foods or Neutraceuticals are "foods that are thought to prevent disease" (Harvard Health Letter April '95). The building blocks of functional foods are called phytochemicals (plant chemicals) These phytochemicals (carbohydrates) are naturally occurring bioactive substances that prevent diseases by interacting with the body's innate healing process to maintain vibrant health and energy.
What is the source of these phytochemicals?
Of the 200 simple sugars (glyconutrients) occurring in plants, only eight are known to be essential for cell-to-cell communication. These are only found in food that is ripened on the vine/tree and remain active for 48 hours after being picked. However, only two of these, glucose & galactose are found in modern diets. The body can convert these two into the six missing sugars, but this enzymatic process is long (up to 20 steps), unreliable and error-prone. Thus we need to supplement our diets with these missing sugars.
Why are these glyconutrients so important?
All cell surface receptors, binding and signalling components are glycoproteins (proteins and sugar). They essentially act as the language between cells in our body. The glycoprotcins are like the letters and words of a language. If the correct sugar (carbohydrate) is not placed in the proper location, or is missing, the glycoprotein is not formed correctly and will not be able to carry out its function in the cell membrane. Only effective cell membrane communication can make the proper cells for our organs.
The functional components of glyconutrients appear to boost the production or activity of enzymes that act as:
Who can benefit from these food supplements?
There are four basic reasons why people get sick. These are:
(1) decreased function of the immune system
(2) increased oxidative stress
(3) diminished/ faulty neurotransmitter function
(4) poor/faulty cellular repair/regeneration
Therefore anyone with the following diseases will benefit from glyconutritional supplementation:
Brain: ADHD, Alzheimer's, seizures, dementias, stroke,
ancurism, migraines, brain tumours, Cerebral Palsy, Down's syndrome,
hydrocephalus, autism, a wide variety of psychoses
Eyes: Macular degeneration, glaucoma, cataracts,
retinopathy, retinitis, detached retina
Ears: Tinnitus, various forms of deafness
Nose: Sinus infections, hayfever
Mouth: Mouth ulcers, gum disease
Thyroid: Goitre, hypothyroidism, Grave's disease
Heart: Myocardial infarction (heart attack), clogged
arteries, aneurism, tachycardia, arrhythmia, and mitral valve problem
Liver: Hepatitis C, A, & B, cirrhosis
Colon: Ulcerative colitis
Underactive Immune System: Chronic Fatigue Syndrome, vital
infection, flu, cold, cancer, AIDS
Overactive Immune System: Lupus, rheumatoid arthritis, and
allergies
Pancreas: Diabetes, hypoglycaemia
Joints: Ostcoarthritis
Muscles: Fibromyalgia, muscular dystrophy, various cramps
and pains
Cartlidge: deteriorated, Carpal tunnel syndrome
Nervous System: MS, ALS, Parkinson's, ALD Bell's Palsy,
other degenerative disorders
Lungs: Asthma, emphysema, cystic fibrosis
Skin: Eczema, psoriasis and scieroderma
Cravings: alcoholism, sugar, caffeine
What supplements are available?
There are four supplements made from all natural sources which combine the eight essential glyconutrients for cellular communication. These are:
Ambrotoseä with Rice Flour is designed to support cellular communication and maintain general well being. It also assists tissue repair & healing of wounds, convalescence and aids in recovery, helps restore health, promotes and increases endurance, provides stamina, increases oxygen intake capacity and reduces blood lactate levels which allows for peak performance.
Plusä contains Discorea (obtained from the Mexican Wild Yam) in addition to Ambrotoseä . I)iscorea contains Diosegenin which is very similar to the human hormone Pregnenalone. Pregnenalone is the "mother hormone" from which the body can directly or indirectly, make any hormone that it needs. Since Plus contains Ambrotose and other excipients, it enables the body to readily absorb the diosegenin through the digestive system. Thus, by providing the building blocks to make tire "mother hormone", Plus supports the natural production and balance of hormones in the endocrine system. The endocrine system regulates our metabolism including our moods and menial states, the clarity and acuity our mental functioning, our libido, the amount of energy available to think. act and enjoy life, the production of anti-inflammatory natural sterols, and with the burning and storing of fat.
Phytaloeä contains the phytochemicals from a proprietary blend of flash freeze-dried fruits and vegetables and Ambrotose complex. These raw fruits and vegetables are vine-ripened (not artificially ripening) and therefore contain vitamins and minerals in addition to the phytochemicals. They also contain antioxidants, which are free radical scavengers. Free radicals are highly reactive substances which may occur in the body and can be generated by lifestyle factors such as excess dietary fats, cigarette smoke, alcohol, pollutants or stress. Phytaloe has shown evidence of supporting various defence mechanisms in the body. Studies by the American Cancer Research Institute indicate that the phytochemicals present in Phytaloe enable the body to stop, prevent, and reverse cancer. Furthermore, clinical trials with children with Attention Deficit Disorder also show significant improvement.
Sportä also contains Discorea but is formulated
so that it dissolves immediately in the stomach.
Designed to support
athletic performance by supplying nutrients to support the body's natural
physiology prior to a work-out or athletic event it also helps in the recovery
process after the event. Sport also provides temporary relief of the pain
of arthritis, muscular spasms and cramps and helps provide stamina and
endurance.
When were these discoveries made?
The discovery of the importance of glycoproteins was awarded the "Biochemical Discovery of'. the Year" in 1996 by the American Naturopathic Medical Association. The ANMA further t released the statement "The most Significant Discovery of the Century". "Almost without exception where ever two or more living cells interact in a specific way, cell surface carbohydrates will be involved " (Bio/'I'echnology, John Hodgson 1990). Major studies have recently indicated exciting revelations regarding the significance of glycoproteins in our development', out- growth, and in the formation of disease.
Who can use these supplements?
Scientists are suggesting that glyconuirients may provide the missing link in the body's amazing capacity to heal itself and sustain health. Thus anyone who eats, drinks or breathes in today's world is likely to benefit from these supplements. These products have been selected by the American and Canadian Track and Field teams as supplements for athletes preparing for the 2000 Olympics. Mannatech, the supplier, has the only international patent filed on a supplemental blend of the known necessary carbohydrates - Ambroloseä .
In addition to glyconutrient support, research suggests that supplementation with essential fatty acids (EFA's) are also beneficial in ameliorating the symptoms of dyslexia, dyspraxia and ADHD.
ESSENTIAL FATTY ACIDS RESEARCH -
LINKING
NUTRITION
AND
CHILDREN'S BEHAVIOURAL
In Australia, a recent report from the National Health and Medical Research Council (NHMRC), entitled Learning Difficulties in Children and Adolescents defines Learning Difficulties as a generic term referring to the substantial proportion (1 0-1 6%) of children and adolescents who exhibit problems in developmental and academic skills. Learning Disabilities refers to a much smaller proportion (2-4%) of children and adolescents who exhibit problems in developmental and academic skills which are significantly below expectation for their age and general ability.
New research suggests that there is a series of related conditions (dyslexia, attention deficit [hyperactivity] disorder and dyspraxia) which can overlap, so an affected child is likely to display a combination of problems.
Dyslexia, Dyspraxia and ADHD are closely associated. Some children have only one of these disorders but many have two or all three leading to problems which are extremely distressing both for the child and his or her parents. Such problems often lead to disruptive behaviour and school failure.
Striking results from a major ongoing research programme on Dyslexia, Dyspraxia and Attention Deficit Hyperactivity Disorder (ADHD) show that lipid supplementation can make a child less clumsy and more able to catch a ball within 12 weeks. These findings are supported by observations from leading UK medical research centres indicating unusual brain lipid biochemistry in people with Dyslexia.
Efamol Ltd are sponsoring a major series of research programmes into these three linked disorders and important advances have emerged in findings presented to date. These include-.-
New
research by Dr Jackie Stordy published in the Lancet, indicated abnormal
essential fatty acid metabolism in the eyes of dyslexics. This caused night
blindness, which could be corrected by supplementation with essential lipids.
The dyslexics showed substantial improvement to near normality in just 4
weeks.
Research from the Royal Postgraduate Medical School at
Hammersmith by Dr Basant Puri, using brain scanning techniques has demonstrated
that dyslexic individuals have abnormal brain lipid chemistry.
Research by Dr Stordy on fifteen dyspraxic children who were
seriously clumsy, showed substantial objective improvement when treated for
three months with a supplement of high DHA tuna oil and thyme oil, which
promotes the incorporation of these lipids into brain and eye. This combination
made a noticeable improvement in the children's manual dexterity, ball skills
and balance. The tests measured co-ordination, fine movements and balance.
All three tests showed substantial improvements over three months. In practical
terms this lead to improved writing skills, better balance and behaviour and
co-ordination.
A
major American study from Purdue University compared hyperactive boys to normal
ones and found that hyperactive children were deficient 'in essential
fatt acids. Blood samples showed that the problem was not dietary deficiency but
that hyperactive children can't convert dietary EFA's to the long chain EFA's
required by the body for brain & eye function.
This worldwide research indicates that supplementation with a combination of tuna oil, high in docosahexaenoic acid and thyme oil, offers hope to dyslexic, dyspraxic and ADHD.
WHAT IS ATTENTION DEFICIT HYPERACTIVITY DISORDER?
Nearly all children are overactive and inattentive at times, but for hyperactive children and their families their behaviour is extreme and completely disruptive. There are two similar conditions ADD and ADHD (ADD is the poor attention span, concentration etc without the hyperactivity).
In Infants
Extreme restlessness, crying, poor sleep patterns
Difficulties in feeding
Constant thirst
Frequent tantrums, head banging and rocks the cot
In Older Children
Physical and mental restlessness
Poor
concentration and brief attention span
Increased activity - always on the go
Impulsive - doesn't stop to think
Fearless, takes undue risks
Easily distracted
Has
difficulty doing tasks alone
Often interrupts others
Loses things and forgets to do things
Poor
co-ordination - when tying laces, handwriting, ball games
Weak
short term memory
Inflexible personality - uncooperative, defiant and
disobedient
Problems with making friends
Lack
of self esteem
Sleep & appetite problems continue
Normal or high IQ but under-performance at school 'Hot'or
explosive temper
Unpredictable behaviour
Research has shown:
-
Hyperactivity may be due to a deficiency of EFAs
Low levels of EFAs are common in the blood of children with
asthma and allergies. It is known that many hyperactive children suffer from
colic, eczema, asthma, allergies and repeated infections.
Zinc deficiency leads to poor EFA processing in the body. Hair
analysis has indicated that many hyperactive children are zinc deficient.
Salicylates block conversion of EFAs to Prostaglandins - EFAs and prostaglandins
are important in brain function. Some food additives and natural food
ingredients like salicylates can cause rapid deterioration in a hyperactive
child's behaviour.
The problem is unlikely to be due to lack of EFAs in the diet
since often only one family member may be affected.
The most likely cause of the problem is a failure to convert
dietary EFAs to long chain EFAs the ones needed by body processes and especially
by the brain)
A major study conducted at Purdue University compared 52 hyperactive boys with 42 normal ones and found that many of the hyperactive children are EFA deficient based on clinical signs such as thirst, dry skin & hair, more asthma and infections. They also took blood samples from the boys to test evidence for EFA deficiency. These showed that the problem is not dietary deficiency but that the hyperactive children can't convert the dietary EFAs to the long chain EFAs required by the body for brain and eye function.
WHAT IS DYSLEXIA?
Dyslexia is a condition that inhibits the reading and writing ability of between 10% - 15% of children and adults. It is found across the whole IQ range and indeed many dyslexics are of above average intelligence and with some extraordinary talents,
Many dyslexics have the ability to think more creatively than a 'normal' person does because they often think on pictures instead of words. This is known as non-verbal perception. It is this unusual way of perceiving their world that can throw dyslexic children into confusion when they see the written world.
There are several symptoms associated with dyslexia, but a dyslexic will not necessarily suffer all of these:-
Difficulties in reading, writing, spelling, addition and
subtraction
Lack
of understanding between time and tense
Confusion between left and right
Are
clumsy in some respects but are good at manipulating things like Lego
Many
dyslexics are left handed -or ambidextrous
Have
difficulty processing visual and auditory stimuli
Dyslexics are also often hyperactive
These commonly lead to teasing, bullying and criticism that in turn results in low self-esteem and behavioural problems.
Dyslexia is usually inherited. If either parent is dyslexic then the child is 17 times more likely to be dyslexic than the child of non-dyslexic parents is.
The dyslexic gene is found in between 5 and 15% of the population and is found equally in males and females. However many more males are affected by dyslexia, indicating that the gene has much more damaging effects in boys.
WHAT IS DYSPRAXIA?
This is defined as a difficulty in planning and carrying out skilled motor acts in the correct sequence. It is not thought to be a problem with the actual movements necessary to perform certain functions, but rather a difficulty in formulating the plan of action, and in developing certain motor based performance at an automatic level. Clumsiness is the most distinctive feature of this condition, perhaps in sports or usual household activities,
Individuals suffering dyspraxia:
-
Are
overactive & restless or hypoactive
Are
impulsive and need immediate satisfaction
Are
irritated by touch, smells and sounds
Are
stressed by new or unpredictable situations
Have
poor ball skills and balance
Lack
sense of direction, position or time
Have
difficulty running or climbing or riding a bike or hopping or skipping
Have
poor writing skills
Lack
co-ordination between the two sides of the body
Have
poor attention and concentration
Have
poor memory - both visual and auditory
Many terms have been used to describe a child with specific problems in motor organisation:-
Developmental dyspraxia
Clumsy Child
Syndrome
Minimal Brain Dysfunction
Perceptual Motor
Dysfunction
Motor Learning Difficulties
Developmental Co-ordination
Disorder.
(Note - Verbal Dyspraxia - some investigators have also found articulation deficits in these children which is likely to be as a result of the same difficulties of planning what words they wish to speak and in which sequence).
A REVOLUTIONARY BREAKTHROUGH FOR EYE AND BRAIN FUNCTION
Dr Jackie Stordy, previously Senior Lecturer in Nutrition at the University of Surrey, has recently made a major discovery. She found that both dyslexics and dyspraxics to adapt in the dark, they behave on testing as though they are night blind even though they are not vitamin A deficient.
Because EFAs are important in retinal function, Dr Stordy investigated the diets of dyslexic children and their mothers and found that EFA intake was lower in the dyslexic families than the controls. She then fed a supplement of fish oil rich in DHA (Docosahexaenoic acid) to dyslexics and showed that within one month their defective dark adaptation had normalised. Some individuals also appeared to have some improvement in their dyslexia.
This observation led to the idea that the dyslexic gene might lead to a reduced rate of incorporation of long chain EFAs into cell membranes. The defect is only minor and so can be overcome by increasing the intake of appropriate EFAS. Since long chain EFAs are important in the brain as well as the eye, such an abnormality could explain why dyslexics have a number of behavioural abnormalities. It could also explain the following phenomena:-
The greater prevalence in-boys. Males have a
greater requirement for EFAs than females and so a marginal EFA problem is much
more likely to affect boys than gids.
The greater prevalence in people susceptible to allergies
(atopics). Efamol research and that of many other groups has shown that the
formation of long chain EFAs is defective in atopics. Atopics would therefore be
expected to suffer much more from poor incorporation of such EFAs into cell
membranes.
The changes in prevalence since the 1950's. The consumption
of trans fatty acids, a modified chemical form of fatty acids produced in
margarine manufacture has increased. These trans fatty acids inhibit conversion
of dietary EFAs to their long chain metabolites. This could be expected to have
greater effect in carriers of the dyslexic gene than in normal
individuals.
The work on dyslexia, led to work on dyspraxia which showed that EFAs (as Efalex) made a noticeable improvement in the children's manual dexterity, ball skills and balance.
Efalex is a patented combination of highly purified fish oil rich in DHA with Efamol evening primrose oil, vitamin E and thyme oil. This is the first supplement of its type and provides the key fatty acids previously shown to benefit dyslexics and now shown to be missing in children with ADD, ADHD and dyspraxia.
Research studies have demonstrated that tuna oil and evening primrose oil provide the fatty acids (DHA and GLA) needed to maintain brain and eye function and coordination. Work at the Scottish Agricultural College has shown thyme oil greatly increases the efficiency of the DHA. Thyme oil is also an antioxidant and protects the oils against oxidation. Vitamin E is also present to act as an antioxidant.
Note - 'Fish oils'generally contain a higher level of eicosapentaenoic acid (EPA) than DHA. In tuna
oil, used in Efalex, there is a higher level of DHA, the fatty acid known to be important for brain and eye function. Also Cod Liver oil is from the liver of the fish and contains mainly vitamins A and D and much smaller amounts of the EFAS. To take the required amount of EFA's from cod liver oil you would risk overdosing on the vitamins A and D.Benefit of docosahexaenoic acid supplements
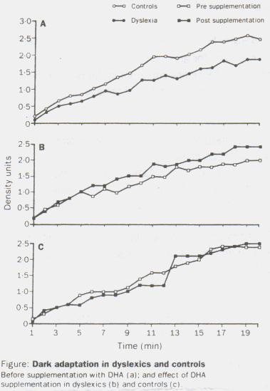
to dark adaptation in dyslexicsMakrides and colleagues (June 10, p 1463) provide strong evidence that docosahexaenoic acid (DHA) is an essential nutrient for the optimum neural maturation of term infants as asssesed bv visual evoked potential acuity. I have data indicating that DHA supplementation in adult dyslexics improves dark adaptation (scotopic vision) and thus DHA may also be a dietary essential for this condition.

We measured dark adaptation with a Friedmann Visual Field Analyser 2, set for the dark adaptation function, in ten adults with dyslexia and ten controls. Dyslexics showed poorer dark adaptation than controls, especially in the second part of the curve, which corresponds with rod dark adaptation (figure, a; repeated measures Anova p<0-05). We subsequently tested the possibility that dark adaptation might be influenced by DHA. For I month five dyslexics and five controls were given 480 mg of DHA daily with no additional vitamin A or vitamin D. Dark adaptation was then retested (figure, b and c). In four controls DHA had no effect on dark adaptation, although in one (a strict vegetarian) adaptation clearly improved. By contrast, in the dyslexics with poor scotopic vision DHA consistently and significantly improved dark adaptation (figure, b; paired t-test on final rod threshold, p<0-04).
It has long been recognised that dyslexics have both retinal and central processing defects, -' but defective dark adaptation has to my knowledge not previously been reported. DHA is a key fatty acid in both retina and brain and is usually present in large quantities in these tissues. In these studies I show the benefit of DHA supplementation for one aspect of retinal function. I have found that DHA supplements given to dyslexics can also be associated with improvements in reading ability and behaviour. -these reports are anecdotal and subjective but more formal controlled studies are in preparation.
I thank Ms Kacrina Searle, Mr Uam Trow, and Ms Katy Woid fortechnical assistance.
T'he author has a patent on the use of DHA for dark adaptation.
B Jacqueline Stordy
School of Biological Sciences. University of
Surrey, Guildford GU2 SXM. UK
1. Grosser GS, Spafford CS. Light sensitivity
in peripheral retinal fields of dyslexic and proficient readers. Perceptual
Motor Skills 1990; 71:467- 77.
2. Galaburda A, Livingstone M. Evidence
for a magnocellular defence in developmental dyslexia. Ann NY,Acad Sci
1993; 682: 71-81.
Further research data is available in the American Journal of Clinical Nutrition 1995 Volume 62 pp 761-8
Essential Fatty Acid Metabolism in Boys
with
Attention-Deficit Hyperactivity Disorder
JOURNAL: Am J Clin Nutr 1995; 62: 761-8.
CENTRE: Department of Foods and Nutrition, The Department of Educational Studies. The Department of Statistics, Purdue University, West Lafayette, rN 47907-1264 USA
AUTHOR: Laura J Stevens, Sydney S Zentall, Marcey L. Abate, Bruce A Watkins, Steven R Lipp and John R Burgess
DESIGN: Survey behaviour & leaming, health assessment and blood fatty acids.
SUBJECTS: 100 volunteers age 6 - 12 years.
ABSTRACT/SUMMARY OF THE STUDY:-
Attention-deficit hyperactivity disorder (ADHD) is the term used to describe children who are inattentive, impulsive, and hyperactive. The cause is unknown and is thought to be multifactorial. Based on the work of others, we hypothesized that some children with ADHD have altered fatty acid metabolism. The present study found that 53 subjects with ADHD had significantly lower concentrations of key fatty acids in the plasma polar lipids (20:4n-6, 20:5n-3, and 22:6n-3) and in red blood cell total lipids (20:4n-6 and 22:4-6) then did the 43 control subjects. Also, a subgroup of 21 subjects with ADHD exhibiting -many symptoms of essential fatty acids (EFA) deficiency had significantly lower plasma concentrations of 20:4n-6 and 22:6n-3 than did 32 subjects with ADHD with few EFA-deficiency symptoms. The data are discussed with respect to cause, but the precise reason for lower fatty acid concentrations in some children with ADHD is not clear. Diet deficiency is unlikely but a poorer ability to convert diet fatty acids to longer chain more highly unsaturated fatty acids is a possible cause.
OTHER ESSENTIAL VITAMINS AND MINERALS
Trace minerals also have a significant role to play in ADHD. Iron deficiency which leads to anemia reduces the quantity of red blood cells within the blood stream depriving the oxygen-hungry brain of its fuel. Iron is also incorporated into enzymes such as cytochromes which help detoxify drugs and poisons. Dopamine producing neurons in the brain’s executive centre require the highest concentration of iron. Thus a deficiency in iron robs the brain of energy to perform adequately and cognitive impairments and behavioural problems can result.
Another trace element that is highly important in ADHD is magnesium. Magnesium has a multitude of different uses in the and is an essential cofactor of the enzyme delta 6 desaturase which converts vegatable derived omega 3 fatty acids to the brain critical omega 3 fatty acid DHA (docosahexaenoic acid) which is essential for the rapid release of dopamine. Thus if magnesium levels are low, DHA deficiency is very likely to exist. Magnesium is also a calming mineral that relaxes nerves and muscles. Emotional and physical stress, chemical abuse (caffeine, cortisone, alcohol, nicotine, Ritalin, dextroamphetamine,), recurrent infection, food or environmental allergies and gastrointestinal parasites can all result in magnesium depletion and can increase hyperactivity.
Zinc is another mineral that may be of prime importance in ADHD. Zinc is responsible for the activation of numerous enzyme systems in the body. Low-grade zinc deficiency results in a weakened immune system (recurrent infections) and diminished digestive system function (intestinal parasites, bacteria and yeast in the gut). Kids who are zinc deficient are often fussy eaters who love junk food, have poor appetites and a poor sense of taste. Zinc is also a cofactor for the enzyme delta 6 desaturase mentioned above. Additionally, inadequate zinc levels affect the production of a complex protein called metallothionein which acts likes a "metal clean up service" for toxic metals such as lead, cadium, mercury, aluminium and arsenic. Since the ADHD brain is very susceptible to these toxins adequate levels of zinc may be of critical importance.
Other important minerals include calcium, chromium and selenium. For those who are allergic to dairy products eating adequate amounts of vegetables from the cabbage family, nuts, seeds, sardines, tofu and legumes is essential. Calcium is the key component in bones and teeth but is also necessary for blood clotting, nerve conduction, muscle contraction, and enzyme activity. Calcium also helps the body detoxify from lead poisoning and calcium citrate and micro-crystalline hydroxyapatite are usually free of heavy metals contamination. Supplementation if the diet is inadequate needs to occur.
Chromium is thought to play a vital role in the immune system and is known to be important in the regulation of blood sugar levels. Hypoglycemia (weakness, shakiness, irritability, moodiness, cognitive problems, sweating, rapid heart rate, hyperactivity or lethargy) result when there is an excessive drop in the blood sugar level. Avoiding sugary foods, beginning the day with breakfast and frequent balanced meals during the day as well as supplementation if necessary are ways to overcome hypeglycemia and keep the blood sugar levels stable and the brain on an even keel..
Another mineral worth considering is selenium which is important for the production of antioxidant enzymes the most important of which is glutathione peroxidase. Inadequate levels of this enzyme leaves the body highly susceptible to oxadative damage and the brain vulnerable to toxic stress. Furthermore, selenium plays a major role in thyroid function. The enzyme 5’deiodinase depends on selenium for its activity. It is responsible for converting the hormone T4 to the active hormone T3 which is difficult to measure and thus subtle thyroid problems often go undetected. It has been suggested that inadequate T3 activity may result in profound diminishing of brain function. Those who are selenium deficient are also at greater risk to the accumulation of toxic mercury (amalgam filings, fresh water fish) because the activity of the enzymes glutathione peroxidase and 5’deiodinase are decreased.
Other trace elements may also play a role in ADHD. The most important way to ensure an adequate intake of nutritional traces minerals is to eat a whole foods diet with adequate whole grains (be careful of gluten), proteins, fruits and vegetables. Care should be taken to ensure that multivitamin supplements supply adequate quantities of the desired trace minerals and vitamins in a highly absorbable form and they should be free from common allergens (wheat), artificial colours, flavours and sweetners.
Perhaps the simplest and least inexpensive dietary intervention is to ensure that a person has an adequate intake of clean, filtered water. Chronic low grade dehydration is common in children with ADHD and learning disabilities for a variety of reasons - they don't slow down long enough to think about drinking water; a fatty acid deficiency may have a diuretic effect on the kidneys, and food allergies are often associated with excessive thirst and urination. Eventually a sense of thirst can become inefficient and these children feel miserable when they become dehydrated. Minor degrees of dehydration can cause irritability, malaise, cognitive problems, lethargy or hyperactive behaviour. Furthermore, dehydration also causes significant impairment of the immune system, constipation and increases the risk of respiratory infections. Detoxification also requires optimal function of the liver, kidneys and bowel , all of which require good hydration. The usual recommendation of six to eight glasses of water may be insufficient for children who are active, have food allergies or fatty acid deficiencies. Sending a child to school with a litre bottle of filtered water is one way for parents to control the quality of water and allows some degree of monitoring the child's intake of water.
"One of the most important skills that children and adults with ADHD must learn is how to properly feed their own brains for life" (Lyon, p121).
References
Alexander, Phillip (1995): "It could be Allergy and it can be Cured". Ethicare Pty Ltd.
Lyon, Michael (2000): "Healing the Hyperactive Brain". Focused Publishing.
Khalsa, Dharma Singh (1997): "Brain Longevity". Century, London.
Further information about these supplements including scientific studies is available by contacting:-
Rosemary Boon
, Psychologist|
|
The Whole-Life Connection | ||
|
Telephone: +61 2 9727 5794 |
Email: |
Address: | |