Livets kemi.
Kolväten.
Kol ingår i alla levande organismer. Kol kan bilda föreningar med väte, så kallade kolväten. Dessa molekyler bildar skelettlika strukturer.
En kolatom har fyra elektroner ni sitt yttersta skal. Detta innebär i teorin att atomen har lika lätt att avge som ta upp elektroner i sitt yttersta skal. Detta till trots tar kolatomen upp elektroner. Eftersom kolatomen skall ta upp fyra elektroner, reagerar den gärna med flera olika atomer. En sådan vanlig konstellation när kolet har reagerat med fyra väteatomer och har bildat en metanmolekyl, CH
4.
Sådana molekyler kan naturligtvis innehålla flera kolatomer. I så fall ökar även väteatomernas antal. Etan innehåller två kolatomer och sex väteatomer; C
2H
6. Eftersom det föreligger en proportionallitet mellan antalet kolatomer och väteatomer, kan man beskriva metanserien med sambandet C
xH
2x+2, där x är ett helt tal (t.ex. 1, 2, 3 osv.).
Bild 1. Metanseriens tre första molekyler. Räkna på atomerna och se hur de passar in i sambandet CxH2x+2
Kolvätena kan antingen vara raka, förgrenade eller cykliska.

_

Bild 2. Isobutan, en förgrenad kolväte och bensen, en cyklisk kolväte.
Funktionella grupper.
Väteatomerna kan bytas ut mot andra atomer eller andra molekyler. Vilka atomer eller molekyler som sitter på kolatomerna avgör vilka egenskaper molekylerna skall ha. Därför kallas de molekyler som är kopplade till kolskelett på detta viset funktionella grupper.
Kolhydrater.
Kolhydrater är molekyler som förutom kol och väteatomer även innehåller syreatomer. Man säger att dessa molekyler består av kol och vaten, varav namnet, kol - hydrater. De enklaste kolhydraterna är monosackariderna. Dessa kan vara antingen kedjor, eller ringformade molekyler. I biologiska strukturer förekommer de oftast i ringform. När två monosackarider kopplas ihop sker det via en
dehydreringsreaktion. Denna "dubbelmolekyl" kan sedan förlängas genom att ytterligare en monosackarid kopplas till. Sådana kedjor kan sedan sönderdelas via
hydrolys, som är motsatsen till dehydrering.

_

Bild 3. Två former av glukos; rak och ringformad. Formerna kan övergå i varandra.
Glukos (CH
2O) bildas genom fotosyntesen. Fotosyntesen är den grundläggande processen för uppbyggnad av organisk materia. Under fotosyntesen spjälkas vatten i vätejoner och syremolekyler och koldioxid integreras i en sockermolekyl. För att driva processen måste energi i form av solljus tillföras. Processen sker med hjälp av färgämnet klorofyll.
Resultatet blir organisk materia (CH
2O), energi och
syre (O
2).
CO
2 + H
2O + SOLLJUS (+klorofyll)
® CH
2O + O
2 + energi
Nedbrytningen av organisk materia är en minst lika viktig. Här är förloppet det omvända; organisk materia bryts ner i närvaro av syrgas och produkterna blir koldioxid, vatten och energi.
CH
2O + O
2 ®CO
2 + H
2O
+ ENERGI
I nedbrytningen av organisk materia tillförs förvisso också en del energi, men det utvunna energin är mycket större.
Den glukos som bildas vid fotosyntesen är bara enstaka molekyler. Via
dehydreringsreaktioner förlängs de till långa kedjor.
Bild 4. Reaktion mellan två glukosmolekyler (monomerer). Resultatet blir en disackarid (en dimer) och en vattenmolekyl.
När två glukosringar bildar en molekyl, talar vi om en disackarid. När fler än två bildar en kedja talar man om polysackarider.
Polysackarider kan ha många olika struktur, beroende på vad de används till. Cellulosa är en lång kedja av glukosmolekyler, medans stärkelse är dessutom spiralvridet. Glykogen är en spiral som är ytterligare tillknycklat.
Cellulosa används som stödjande vävnad, stärkelse (hos växter) och glykogen (hos djur) används som energireserv.
Kitin är en något ovanlig polysackarid, så till vida att den innehåller en aminogrupp. dess grundläggande konstruktion åskådliggörs i bild 4.
Bild 5. Kitinmolekylens konstruktion .
Lipider (fetter).
Fetter är estrar. En fettmolekyl bidas då en glycerol (en trevärt alkohol) kopplas ihop med tre fettsyror. (se bild 6)
Bild 6. En fettcell bestående av en glycerol och tre fettsyror.
Glycerol är vattenlöslig och fettsyrorna är fettlösliga. Därför kommer
fetter att bilda droppar; så kallade micel (se bild 7) när de hamnar i vatten. De hydrofila ändorna vänds ut mot vattnet, medan de hydrofoba ändorna är vända från vattnet, in mot micelets mitt.
Bild 7. En micell de hydrofila huvuderna är vända ut mot vattnet och de hyrdofoba kedjorna är vända in mot micelets mitt.
Fosfolipider (se bild 8)
är modifierade fettmolekyler. Den ena fettsyran har här ersatts med en fosfatgrupp (därav namnet fosfo (fosfor) lipid (fett)), till vilken en kolingrupp är bundet.
Molekylen har alltså fortfarande hydrofil och en hydrofob ända.
Bild 8. En fosfolipidmolekyl. den ena fettsyran har ersatts med en fosfatgrupp och en kolin
Steroider är bestående av fyra sammanhängande ringar (se bild 9). Olika steroider har olika funktionella grupper kopplade till dessa ringar. Steroider är ofta hormoner.
Bild 9. Östradiol och testosteron. Notera likheten mellan de två molekylerna!
Proteiner.
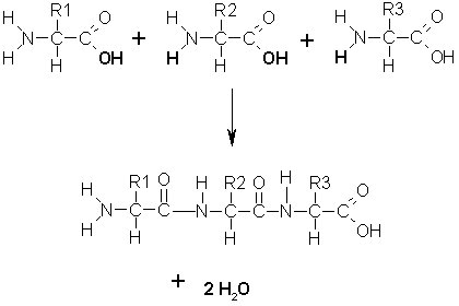
Proteiner (även kallade äggviteämnen) består av aminosyror. Aminosyrorna kopplas ihop till långa strängar via
dehydreringsreaktioner. I motsats till kolhydrater så bildas inte disackarider utan dipeptider.
Aminosyrorna har en grundläggande struktur som är konstant. En av sidogrupperna (som i den allmänna formeln markerat som R) varierar dock. Det finns 20 olika variationer för vad R kan vara.
Bild 10. Aminosyrors allmänna formel och två olika varianter.
Bild 11.Hur peptiderkedjor bildas via dehydreringsreaktioner.
Det måste finnas minst 50 st aminosyror i en polypeptid för att denna skall kunna kallas ett protein.
En sådan remsa utgör proteinets primärstruktur, vilket då är helt enkelt aminosyrasekvensen, det vill säga i vilken ordning aminosyrorna kommer efter varandra.
Dessa remsor ordnas sedan antingen i alfa - spiraler, eller beta - lameller. Denna organisation kallas proteinets sekundärstruktur.
Spiralerna eller lamellerna knycklar ihop ytterligare till en ny struktur; tertiärstruktur.
Flera tertiärstrukturella nystan tillsammans kan sedan utgöra en kartärstruktur.
Biologiskt aktiva proteiner
De globulära proteinerna är biologiskt aktiva, vilket innebär att de styr biologiska förlopp i levande organismer. Två sådana biologiskt aktiva proteingrupper är transportproteiner och enzymproteiner.
Hemoglobin , som ingår i våra röda blodkroppar är en av kroppens viktigaste transportproteiner. En hemoglobinmolekyl består av 4 st hem - grupper (se bild 12). Den centrala järnatomen binder till sig en syremolekyl. En hemoglobinmolekyl med fyra hem - grupper kan binda till sug sammanlagt 4 syremolekyler. Det är detta som bestämmer blodets syremättnad.
Bild 12.Hemoglobinmolekylens hem - grupp.
Katalysatorer som består av globulära proteiner och som är verksamma i levande organismer kallas enzymer. Tack vare dessa kan biokemiska reaktioner - som normalt kräver högre energi - även ske vid lägre temperaturer. I och med att enzymerna är katalysatorer så förbrukas de inte vid reaktionen. De kan dock inte åstadkomma omöjliga reaktioner.
Enzymer innehåller så kallade aktivt centrum. I detta kan två olika sorters reaktioner ske; antingen kopplas två sustrat ihop till en, eller så splittras en substrat upp i två. För att reaktionen skall kunna ske, krävs att även en så kallad prostetisk grupp finns i det aktivas centrat. Många av de
essentiella vitaminerna vi (förhoppningsvis) får i oss är just sådana prostetiska grupper enzymerna behöver för sin aktivitet.
Bild 13.Enzymets funktion. Notera färgförändringarna, vilket indikerar att substrat 1 och 2 har förändrats till ett nytt ämne.
Reglering av enzymaktivitet
En enzyms aktivitet kan dämpas eller stängas av helt med en så kallad inhibitor. En inhibitor kan antinen vara reversibel eller irreversibel. Reversibla inhibitorer verkar genom att blockera aktivt centrum och tappar sin verkan när de tas bort från enzymet.
Bild 14.Enzym inhiberad av en reversibel inhibitor. Inhibitorn hindrar substraten från att fästa i aktivt centrum. När inhibitorn tas bort, fungerar enzymet som normalt igen.
Irreversibla inhibitorer förstör dock enzymets proteinstruktur för gott. Sådana irreversibla inhibitorer är syror och värme. Då
denatureras enzymproteinet
Bild 15.Enzymprotein förstörd av en irreversibel inhibitor. br>
Nukleinsyror.
Nukleinsyror är framför allt de två sorterna
Deoxyribonukleinsyra (DNA) och
Ribonukleinsyra (RNA). Bägge är komplexa molekyler, bestående av en sockergrupp - deoxyribos eller ribos - en fosfatgrupp och en kvävebas. Kvävebaserna är adenin (A), guanin (G), cytosin (C) och tymin (T)i DNA och adenin (A), guanin (G), cytosin (C) och uracil (U) i RNA. Dessa kvävebaser paras på ett visst specifikt sätt; A mot T eller U, och C mot G. Andra konstellationer förekommer inte.
Kromosomstrukrur
Arvsanlaget i en cell är packat i kromosomer. Själva DNA – molekylen är ca 1,5 meter lång, så det är inte svårt att förstå att den måste packas för att få plats i cellen.
- Kvävebaserna adenin (A), tymin (T), cytosin (C) och guanin (G) bildar par och formar tillsammans med deocyriboserna och fosfatgrupperna en steglik struktur. Ordningen för kvävebaserna är DNA – sekvensen. Denna stege kan vara 1,5 m lång (t.ex. i människans celler)
- Denna stegstruktur är spiralvriden, vilket förkortar DNA – molekylens längd.
- DNA – spiraler är i sin tur uppsnurrade på sfäriska proteiner som kallas för histoner.
- Dessa histoner är i sin tur packade tätt i en sträng. Denna packade sträng kallas kromatin.
- Kromatintråden är i sin tur packade i stora nystan; kromosomer.
Proteinsyntes
Informationen för i vilken ordning aminosyrorna skall komma i peptidkedjan, hur lång peptidkedjan skall vara, vilken sekundär, tertiär och kvartärstruktur den skall ha finns lagrat i DNA – sekvensen. Denna kodas av tre kvävebaser åt gången. Processen tar sin början inne i cellkärnan, där DNA finns.
- Kromosomerna vindlas upp och DNA spiralen packas upp.
- Proteinet RNA – polymeras fläker upp DNA – spiralen och öppnar upp denna. Samtidigt bygger den en komplementär sträng av RNA.
- Denna RNA molekyl; messenger RNA - transporteras ut ur kärnan och till ribosomerna i endoplasmatisk retikulum (ER).
- mRNA snörs in i ribosomen och här börjas sekvenseringen av aminosyrorna.
- För varje triplett i mRNA finns det en passande transport RNA (tRNA) bit.
- Varje tRNA – bit bär på en viss specifik aminosyra.
- När två aminosyror läggs invid varandra, kommer de att kopplas ihop genom dehydreringsreaktioner.
- När tRNA på detta sätt har släppt sin aminosyra släpper kopplas den loss från mRNA och ribosomen, samtidigt som ribosomen förs fram ett hack.
- En ny tRNA bärandes på en ny aminosyra läggs till och aminosyrakedjan förlängs ytterligare.
- När mRNA når till stoppkodonet, klipps peptidkedjan av.
Labblänkar
Osmoslabb
Enzymlabb
Länkar
Tillbaka till huvudsidan
Vidare till cellbiologin
Naturkunskap A
Naturkunskap B
Biologi A
Email: laszlo.pongo@spray.se