|
"The derivative of the product of two quantities is equal to the product of the derivative of the first of those quantities with the second
plus the product of the derivative of the second with the first."
Purpose
- To derive and use rules for the differentiation of products and quotients.
- To point out some pitfalls in the use of these differentiation rules.
The derivative of a sum or difference of two functions is simply the sum or difference of their derivatives. The rules for the derivative of
a product or quotient of two functions are not so simple and you may find the results surprising. As we derive each of the rules, we
will assume that the derivatives of the given functions exist. Furthermore, we strongly recommend that you memorize each rule,
especially the verbal statements of the product and quotient rules.
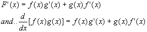
Product Rule
The derivative of the product of two functions is equal to the first function times
the derivative of the second, plus the second times the derivative of the first.
|
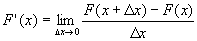
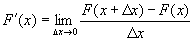
Proof
Let F(x)=ƒ(x)g(x); then
Now because it is both legal and useful, let us subtract and add ƒ(x+ x)g(x) in the numerator, giving us
We evaluate these four limits as follows:
Since ƒ is continuous,
Since g is differentiable,
Since g(x) is independent of x, and
Since ƒ is differentiable. Therefore, we have
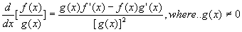
Quotient Rule
The derivative of the quotient of two functions is equal to the denominator times the derivative
of the numerator minus the numerator times the derivative of the denominator, all divided by
the square of the denominator.
|
Proof
Let F(x)=ƒ(x)/g(x). then
Now by adding and subtracting ƒ(x)g(x) in the numerator, we have
As suggested previously, you should memorize the verbal statement of the Quotient Rule. The following form may assist you in memorizing the rule:
This form certainly points out that
(the derivative of the quotient of two functions) is not equal to (the quotient of the derivatives of the two function)
         
|