MATEMÁTICA DE UNA RECTA TANGENTE A UNA CIRCUNFERENCIA
Un rayo de luz saliendo tangencialmente de una circunferencia toca a un espejo en la altura h

RECTA PARALELA A LA RECTA TANGENTE DE UNA CIRCUNFERENCIA
Otro rayo paralelo saliendo de una altura k golpeará al espejo en el punto que está en la altura h+k/cosq

Para distancias cortas podemos construir una pequeña tabla para comparar las mediciones con lo que se espera de está relación teórica:

COMPARANDO EL PAPEL CON LA REALIDAD

La cuerda con su plomada es un instrumento útil para verificar si existe o no la curvatura esperada de acuerdo a la distancia, ya que asegurando un rayo láser a 90º desde una altura k de la cuerda, éste cortará el hilo de la otra cuerda donde haga contacto, y se compara luego el largo de las dos cuerdas. En un río, lago o mar medimos la distancia indicada en la tabla y luego marcamos con el rayo láser, comparamos la longitud desde la marca al contacto de la plomada con la superficie del agua, cotejamos luego con la tabla
Sin hacer medición alguna, la misma naturaleza nos muestra las costas de los ríos, lagunas, mares y oceanos inclinados con respecto a la superficie del agua tranquila:


VIENDO A KILÓMETROS SOBRE LAS AGUAS
Son muchos los que testifican ver a grandes distancias sobre las aguas. En la dirección (Aquí) se relata que en 1904 la señora Blount ordenó tomar una foto en el Canal Bedford, Inglaterra
.. hasta 1904, la fotografía fue usada para demostrar que la tierra es llana. La señora Blount, una firme creyente en la fe zetetic contrató a un fotógrafo, Mr Cifton de Dallmeyer que llegó al Canal de Bedford con lo último de cámara de fotografía telescópica de la empresa. El aparato estaba fijo a en extremo del canal de seis millas de longitud, mientras que el otro extremo la señora Blount y algunos señores científicos colgaron una sábana grande, desde el puente de Bedford hasta la superficie del agua. Mr Clifton, acostándose cerca del puente Welney con su cámara dos pies sobre el nivel de agua, observado por el telescopio el colgamiento de la sábana, y notó que él podía verla toda hasta el fondo. Esto lo sorprendió, porque él era un creyente ortodoxo de la tierra redonda, y teoría de la tierra redonda dice que por encima de una distancia de seis millas el fondo de la hoja debe estar 20 pies debajo de su línea de mira. Su fotografía no sólo mostró la sábana entera sino su reflexión en el agua debajo. Eso fue certificado en su informe a la Señora Blount que concluía: "No me gustaría abandonar la teoría globular, pero, hasta donde esta prueba particular se refiere, yo estoy preparado para mantener que (a menos que los rayos de luz sigan un camino curvado) estas seis millas de agua presentan una superficie nivelada”
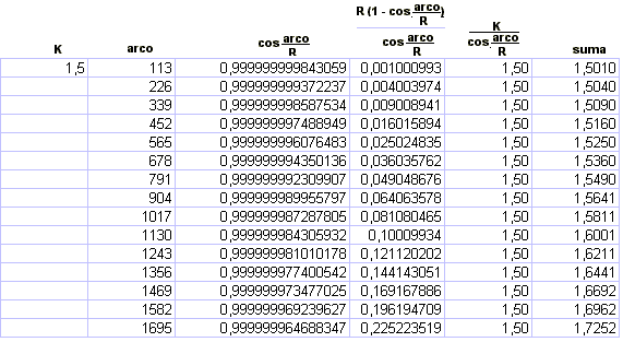
Sea 11.132 metros la distancia entre dos espejos que están sobre una circunferencia. De un punto sobre la circunferencia salen tangencialmente dos rayos opuestos, uno tocará al espejo ubicado en a en la altura h1; y el otro tocará al espejo ubicado en b en la altura h2

Cristóbal Colón escribió haber visto una luz desde 100 kilómetros:
Jueves, 11 de Octubre. se dirigieron oeste -suroeste; y encontraron un mar mas pesado que lo que habían encontrado en todo el viaje. Vieron pardelas y un junco verde junto a la nave. La tripulación de la Pinta vio una caña y un palo; ellos también recogieron una vara la cual tenía señal de haber sido labrada con herramienta de hierro, un pedazo de caña, una planta la cual crece en la tierra, y una tabla. La multitud de la Niña vio señales de tierra, y una rama cargadas con rosas de café. Estas señales les animaron, y todos se alegraron mucho. Navegaron este día hasta la puesta del sol, 27 leguas.
Después de la puesta del Sol continuaron en su curso original hacia el oeste y navegaban 12 millas por hora hasta 2 horas después de la media noche, yendo 90 millas, lo cual es 22½ leguas; y como la Pinta era la más maniobrable, y se mantenía delante del almirante, ella descubrió tierra y dio la señal acordada. La tierra fue vista primero por un navegante llamado Rodrigo de Triana. aunque el Almirante a las 10:00 de la noche parado sobre el castillete de la popa vio una luz, pero tan pequeño cuerpo que el no podía afirmarlo ser tierra; llamando a Pedro Gutiérrez, cuidador de la ropa del rey, le preguntó si podía ver una luz, y lo invitó a ver en esa dirección, lo cual hizo y la vio; él hizo lo mismo a Rodrigo Sánchez de Segovia, a quien el rey y la reina había enviado con el escuadrón como controlador, pero fue incapaz de verla desde su ubicación. El Almirante la percibió de nuevo una o dos veces, apareciendo como una luz de lámpara moviéndose arriba y abajo, lo cual algunos pensaron ser una indicación de tierra. Pero el Almirante mantuvo por cierto que la tierra estaba cerca; por tal razón, después que ellos dijeron el Salve lo cual los navegantes están acostumbrados a repetir y cantar en su estilo, el Almirante les ordenó mantener una estricta observación desde el castillete y buscar diligentemente por tierra, y al primero que la descubriera él le prometió una chaqueta de seda, además de la recompensa que el rey y la reina habían ofrecido, que era una anualidad de 10.000 malavaries. A las dos de la mañana la tierra fue descubierta, a dos leguas de distancia; ellos anclaron y permanecieron en las naves hasta que se hizo día, que era Viernes, se hallaron cerca de una pequeña isla, una de las Lucayas, llamada en lengua india Guanahani. ...Sábado, 13 Octubre. Esta es una isla grande y plana, con árboles extremadamente florecientes, y fuentes de aguas; hay un gran lago agua en el medio de la isla, pero no montañas: toda la isla está completamente cubierta con verdor y delicia
Suponiendo que el ojo de Colón estuviese elevado a 10 metros sobre la superficie del agua, calculamos la altura a la que tendría que estar la isla plana sobre la superficie del agua para ser vista(la luz) a tan grande distancia:
De Holland a Milwaukee hay cerca de 83 millas, y de Holland a Racine, unas 79 millas.
Disfrutando el día de los muertos con algunos amigos en su hogar en Lakeshore Drive cerca la calle Riley, desde su escritorio él miró sobre el lago y vio algo que nunca había visto antes -- Wisconsin.
"Yo dije a mis amigos que no podía ser un vote porque era un rectángulo grande con luces a cada lado," Kanis dijo el Marte. "Así nos mantuvimos observando, y no se movía.
"Cuando se hacia mas oscuro, habían más y más luces."
Tomando un par de Binoculares, Kanis dijo que él fue capaz de ver la forma de algunos edificios.
"Con los binoculares nosotros pudimos distinguir tres comunidades diferentes," dijo Kanis.
De acuerdo a un Guarda Costa, es posible ver luces de la ciudad através del lago en tiempos muy específicos.
Actualmente un Guarda Costa estacionado en Holland, Todd Reed ha trabajado en el lado este del lago Michigan por 30 años y dijo que él ha sido capaz de luces a traves del lago en al menos una docena de veces.
"Nosotros recibimos dos llamadas la última noche y personas me tenía al teléfono por que ellas estaban debatiendo si elllos realmente estaban viendo esto," dijo Reed. "Yo mismo lo he mismo desde Holland dos veces."
John Kowalesli metereologo para el National Weather Service dijo que las coniciones el Lunes por la noche pueder haber hecho posible ver a través del lago Michigan. El lago estaba calmado y el cielo estaba generalmente claro, y la temperatura sobre el lago era mas caliente arriba en la atmósfera que en la superficie.
::
Tom O'Bryan de los Ingenieros del U.S. Army Corps dijo que trabajadores en su oficina Grand Haven han oído reportes de personas que ha antes mirado luces de Milwaukee desde el Oeste de Michigan.
"No sucede mucho, pero cuando las condiciones son adecuadas atmósfericamente yo he oído gente han visto todo el trayecto hasta allá," dijo O'Bryan. "Yo nunca lo he visto, pero se me ha dicho que cuando la temperatura, la humedad y cada otra cosa está línea es que usted puede."
VOLANDO EN LÍNEA PARALELA A LA HORIZONTAL DE PARTIDA
Como el aire es mas liviano que el agua, una burbuja de aire encerrada en un container estará siempre arriba, lo cual es útil para conocer cuanto se ha girado con respecto a ese "arriba". Los pilotos acrobáticos, principalmente, usan este instrumento - nivel artificial - para conocer cuando están volando con la cabeza hacia abajo. Cuando un avión despega de un aeropuerto el volumen de agua se mueve según la cantidad de inclinación, dando la impresión que es la burbuja de aire la que se mueve. Pegando una manguera transparente alrededor de un transportador escolar podemos construir un nivel artificial que fácilmente podemos llevar cuando volemos para "observar" la forma de la línea de vuelo.

Si un avión comercial vuela con la cabeza hacia abajo, de seguro muy pocas personas lo abordarían:
... los aviones comerciales prefieren volar en "línea recta y nivelada" porque es conveniente. Los controladores aéreos tienen que mantener a los aviones fuera de la ruta de otro, y teniendo a los pilotos volando en línea recta hace posible el trabajo de un controlador aéreo. También, la gente tiende a enfermarse en el aire cuando un avión se mueve erráticamente, así que el vuelo en línea recta y nivelada hace las cosas más confortables para los pasajeros y la tripulación

La misma matemática se aplica para las alturas de los aviones comerciales que vuelan en línea recta. Si el piloto mantiene la misma altura entonces el avión debiera estar volando en curva y no en línea recta, lo cual uno puede medir fácilmente si llevamos un nivel circular (transportador con manguera transparente, agua y una burbuja) cuando viajemos en avión, cada inclinación que experimente el avión se ve en la burbuja de aire del nivel circular, por ejemplo al levantar el vuelo hasta que alcanza la altura cruceiro, y al descender.
En la página aquí se facilita conocer la distancia entre dos ciudades, por ejemplo, de Maiquetía, Venezuela a Lima, Perú, presenta la siguiente lectura:
1703 millas (2740 km) (1480 millas náuticas)
De aquí podemos conocer cuantos kilómetros por debajo del avión estaría la ciudad destino,
6.378,164*(cos(2.740,000÷6.378,164)-1) = 637 km!
La distancia Maiquetía – Paris es 7.617 km, lo que significa que el avión saldría de la tierra unos 7.617 – 6.378 = 1.238 km. Pero en la práctica esto no ocurre por la sencilla razón que el avión vuela sobre una altura y nivel constante sobre las aguas del Atlántico.

En el sitio aquí se menciona un vuelo directo de unos 13.500 kilómetros, superior al supuesto radio de la tierra, por lo que el avión debió haber salido de la tierra ya que voló en línea recta toda esa distancia, viendo el agua del oceano a la misma altura. Así, pues, toda medición práctica imparcial demuestra que la tierra es plana. El profesor Charles Hapgood muestra en su libro Maps of Ancient Sea Kings, página 51, un mapa de tierra plana que usó las Fuerzas Aereas de Estados Unidos en
http://www.thesecretofbluewater.com/note11-i.htm

A primera vista este mapa parece extraño, por que no se parece al mapamundi al cual estamos acostumbrados con Alaska y Siberia apareciendo en lados opuestos

Pero la distancia entre Alaska y Siberia es algo menos de 90 kilómetros, lo que significa que el mapa usado por las Fuerzas Aereas de los Estados Unidos es mucho más representativo de las distancias, y nuestros mapas mundis son realmente desproporcionados hechos para ocultar el hecho de la tierra plana.

LA SORPRENDENTE GRAVEDAD


A la verdad la gran mayoría de nosotros hablamos de "la gravedad" sin tener la remota idea de lo que es. Antes del año 1901 ingenieros en el Departamento Geodésico de Francia quisieron tener una medida precisa del sol a la tierra, y obtuvieron una sorpresa que les movió el piso: dos cuerdas de plomada de igual longitud al ser bajadas hacia el centro de tierra la distancia entre ellas se hacía mayor a medida que se alejaban de la superficie, pidieron ayuda a los colegas de Estados Unidos, quienes obtuvieron los mismos desconcertantes resultados. Los expertos, como el profesor McNair, tratarón de manipular los resultados condicionando el experimento y evitando otros, al no producir respuestas convicentes decidieron retirse en silencio, y los gobiernos silenciaron el asunto.
Por desconocimiento de lo que llamamos gravedad, las personas conciben todo tipo de ideas contra hechos, por ejemplo: la gravedad nos mantiene unidos al suelo (hecho), pero una cosa es tener la tierra debajo de nuestros pies, y otra cosa es tener la tierra sobre nuestros pies, la gravedad no hace que cuando la tierra esté sobre nuestros pies la veamos debajo de nuestros pies (contra hecho).

Otra propiedad contra natura que muchos le atribuyen a la gravedad es hacer que los ríos suban pendientes, así, por ejemplo, el afluente más lejano del Nilo está en el paralelo - 3 (SUR) y de allí tendría que SUBIR, pasar por ecuador, y luego seguir SUBIENDO hasta el paralelo 31 cuando cae al Mediterráneo, mientras que el río Mississippi desciendo desde el paralelo + 47, cruza Estados Unidos de Norte a Sur y llega hasta el paralelo 31 en México

LA MATEMÁTICA CONTRA NATURALEZA
Hace un rato vimos como a la expresión (R+h)2=R2*sec2q tomábamos la raíz cuadrada de ambos lado de la igualdad √(R+h)2=√R2*sec2q, resultado R+h = R*secq; aplicando el mismo procedimiento matemático comenzamos con la iguadad:
x=-0,5
Multiplicamos ambos lados por 2
2x=-1
Sumamos +1 a ambos lados
2x+1=-1+1
reducimos -1+1 =0
2x+1=0
sumamos a ambos lados x2
x2+2x+1=+x2
Como x2+2x+1 = (x+1)2, entonces
(x+1)2=x2
Tomando raíz cuadrada en ambos lados √ (x+1)2= √x2
x+1=x
Restando -x en ambos lados
1=0!
La matemática está llena de irrealidades como ésta, por ejemplo, en la tierra de Eratósthenes de Cirene es necesario que los rayos del sol sean paralelos, lo cual es contra naturaleza:
Eratóstenes, suponiendo que Siena y Alejandría tenían la misma longitud (realmente distan 3º) y que el Sol se encontraba tan alejado de la Tierra que sus rayos podían suponerse paralelos, midió la sombra en Alejandría el mismo día del solsticio de verano al mediodía, demostrando que el cénit de la ciudad distaba 1/50 parte de la circunferencia, es decir, 7º 12' del de Alejandría
Muchos elementos influyen en la longitud de una sombra: para la misma fuente de luz, si el objeto está montado en un montículo produce una sombra más larga que si está sobre una superficie plana. Estando el objeto sobre un plano y debajo de una bombilla, su sombra se hace más larga a medida que èl objeto es alejado de la bombilla, nada novedoso con eso. Si el sol estaba encima de Asuan a las 12:00 del día, un objeto 1.000 kilómetros más allá tiene que proyectar una sombra plana. Eratósthenes obtuvo la longitud de una sombra plana, y sobre ese resultado añadió un castillo de supuestos contra naturaleza.
Sobre una curva no hay pendiente constante, por lo que es contra lógica aplicar la propiedad de los triángulos semejantes (planos), como hizo Eratóstheles o sus inventadores: Él o ellos de antemano establecieron la distancia Sienna-Alendría en una longitud de 1/50 de la circunferencia de la tierra, lo que significa que ya todo estaba arreglado para que diese los resultados esperados. El resto fue propaganda psicológica, asegurándose por medio de los sistemas educativos que los estudiantes futuros no aprendieran a medir, mediante la programación de un sistema educativo cuyo contenido matemático fuese abstracto que fatigue la mente creando un sentimiento de rechazo hacia las mediciones matemáticas, dejándolas en manos de los "expertos".
Nos cuesta creer que Eratósthenes asumiera que los rayos del sol viajaran en forma paralela en alguna hora del día, ya que siendo el sol circular, es imposible que hayan dos rayos paralelos, y mientras más distante esté el sol, dos rayos que salgan muy juntos llegaran a la tierra muy alejado uno del otro. Realmente "lo de los rayos paralelos" parece más un arreglo posterior para que pareciera provenir de un gran sabio, pero basta contemplar en el día a día, o ver alguna fotografía de los amantes de la naturaleza, el hecho que ninguna obra de Eratósthenes haya sobrevivido confirma la sospecha del arreglo hecho por las sociedades Católicas Romanas.


Tristemente muchos adoran a esta matemática contra naturaleza, la cual abunda por doquier; por ejemplo, Aristarco de Samos basó su matemática espacial en meros supuestos, dejando por fuera todos aquellos casos que le eran contrarios, como los mencionados por Plinio Secundus y Cristóbal Colón, y en el hecho que "papel aguanta todo lo que se le escriba":
Aristarco de Samos Aristarco determinó por primera vez la distancia a la Luna basándose en un eclipse lunar de máxima duración, con el fin de que la Luna pasase por el centro de la sombra de la Tierra. Averiguó que el tiempo que tardaba la Luna en ocultarse por la sombra de la Tierra era aproximadamente el doble que el tiempo que duraba el eclipse total de Luna, por lo que el diámetro de la sombra era unas dos veces el tamaño del diámetro lunar: S=2r Además el tiempo que tardaba la Luna en ocultarse era aproximadamente de 1 hora es decir que la Luna avanzaba en el cielo en 1 hora su propio diámetro. Como se sabía que la Luna tardaba 29,5 días en dar la vuelta a la Tierra, resultaba que hacían falta 708 diámetros lunares para formar el círculo completo. Así que la distancia lunar era de 225,4 veces el radio lunar.

Así que midiendo el ángulo que forman el Sol y la Luna en dicho instante quedará determinada la distancia solar tomando como unidad la distancia lunar. Halló para dicho ángulo 87º y determinó que el Sol estaba 19 veces más lejos que la Luna. Hoy sabemos que dicho ángulo es 89º 51' y que el Sol está unas 400 veces más lejano que la Luna. Sin embargo aunque los valores determinados por Aristarco estaban muy equivocados, no sufrieron modificaciones importantes durante la Antigüedad y Edad Media y dieron como fruto una nueva concepción del Universo que fue muy avanzada para su época
¿Qué le parece, error tras error?
Tycho Brahe, Kepler y Galileo pertenecen a la misma sociedad de mentirosos: Ciertamente con un telescopio uno no puede ver la tierra moverse alrededor del sol, ¿cómo hizo Galileo para verlo?
Galileo siempre actuó como si el tenía todas las pruebas, pero no lo hizo, y las podía presentar, como el decía, porque nadie mas era bastante inteligente para entenderlas.
Koestler escribe, “Él emplea su usual táctica de refutar a la tesis de su oponente sin probar la suya”
Como Galileo no trabajó empíricamente (cf. Thesis 7), sino que consideró el sistema copérnico como un axioma, él no sintió la necesidad de pruebas. No hasta que él fue puesto bajo presión porque él presentaba el sistema copérnico como probado, él fue puesto en dificultades
Cuando el Cardenal Bellarmino, quien era el responsable por la Corte de la Inquisición, le preguntó a Galileo en una forma amistosa por sus pruebas, así que él pudiese aceptar su teoría como teoría probada, o si no presentar su teoría Copérnica como hipótesis solamente, Galileo le respondió en una carta, que él no deseaba presentar sus evidencias, porque nada podía realmente entenderlas.
Koestler comenta sobre esto:
“’Cómo podía él rehusar producir pruebas y al mismo tiempo demandar que el asunto debería ser tratado como si probado? La solución al dilema era pretender que él tenía la prueba, pero rehusaba producirla, sobre la base que sus oponentes eran demasiados estúpidos, de todos modos, para entender”
Galileo reaccionó en una manera similar después que el mismo papa le pidió pruebas. Koestler escribe acerca de una primera carta de 1613, “Pero Galileo no quería soportar la carga de prueba, porque la cruz del asunto, como será visto, es que él no tenía prueba”
Arthur Koestler, en Los Caminantes Durmientes, afirma:
“… es, por lo tanto, que la fama de este outstanding genio descansa mayormente sobre descubrimientos que él nunca hizo. Contrario a declaraciones en aún recientes bosquejos de ciencia, , Galileo no inventó el telescopio, ni el microscopio, ni el termómetro, ni el péndulo de reloj. Él no descubrió la ley de la inercia, ni el paralelogramo de fuerzas o movimientos, ni manchas solares. Él no hizo contribución a la Astronomía Teórica, él no lanzó pesos desde la torre Pisa, y no provó la verdad del sistema copérnico. Él no fue torturado por la Inquisición, no languideció en su peligro, no dijo 'pero si se mueve'; y no fue un mártir de la ciencia. Lo que él hizo fue fundar la ciencia moderna de Dinámica, lo cual le hace figurar entre los hombres que dieron forma al destino humano.”
Alexander Koyré ha escrito un artículo "El Experimento de Pisa: Caso – Historia de una Leyenda" en la cual él muestra que Galileo nunca hizo este experimento, si, ni siquiera lo pudo haber hecho así! Él escribe: "El lector promedio de hoy conecta el nombre de Galileo firmemente con el cuadro de la torre inclinada ". "La historia de los ‘experimentos’ de Pisa es parte de nuestra herencia. Puede ser encontrada en manuales y guías." Aún la literatura científica no se exceptúan, aunque ya en 1909 E. Wohlwill mostró el carácter legendario del experimento mas allá de duda.
El terreno de batalla pro y contra sobre esta leyenda es un texto del antiguo biógrafo de Galileo por Vincenzo Viviani, que fue escrito sesenta años después de la muerte de Galileo. Alexander Koyré escribe:
“Ni los amigos de Galileo ni sus enemigos lo mencionan. Nada es más improbable que tal silencio…..”
Koyré ha mostrado, que Galileo ni siquiera se pudo haber imaginado tales experimentos, ya que él sostenía una teoría física diferente a la que aquellos experimentos habrían probado (y probaron después).
En la página 90 del primer tomo de Grandes Enigmas:
El fraude científico no es nuevo. De treinta y una observaciones atribuidas a sí mismo por el propio Claudio Ptolomeo en Alejandría el siglo II de nuestra era, veintiséis resultaron falsas. Galileo confesaba no haber llevado a cabo jamás algunas de las experiencias que había descrito. Isaac Newton acomodó los resultados de algunos experimentos a las hipótesis que pretendía demostrar. El monje Juan Gregorio Mendel, quien formuló antes que nadie las leyes de la herencia genética, algunos datos obtenidos en apoyo de su teoría sobre la transmisión de los factores hereditarios. Robert Milikan, quien obtuvo en 1923 el premio Nobel de Física por sus trabajos sobre la carga del Electrón y los rayos cósmicos, omitió considerar los resultados que se oponían a sus conclusiones.
JOHANES KEPLER, BRUJO DE ALTO NIVEL
Cuando Kepler volvió en sí de su trance demoniaco no entendía lo que escribió, he aquí sus palabras
Yo mismo, un matemático profesional, releyendo mi propio trabajo encuentro que esforza mis poderes mentales para descifrar de las figuras los significados de las demostraciones, significados que yo mismo de mi mente al principio puse en las figuras y el texto. Pero cuando intento remediar la oscuridad del material expresando en palabras extras, yo mismo me veo cayendo en la falta opuesta de hacerme hablador en algo matemático.

Ciertamente en las escuelas nos hacen delirar con el superhombre Johanes Kepler, pero nunca nos presentan como hizo Kepler para ver nueve cuerpos celestes girando en órbitas elípticas alrededor del sol, ¿Cómo se las arregló para elevarse en un extraño punto donde podía ver 9 cuerpos celestes girando en torno al sol? ¿Porque nadie más pudo ver lo que él podía ver?. El mismo Kepler dejó bastante testimonio de cómo hizo para conocer todas esas cosas. En su autobiografía Kepler escribió: “Un benevolente demonio me tomó y me llevó a la luna donde me mostró las leyes del cosmos”
Kepler especulaba que uno de los cinco sólidos podía ser insertado entre cada esfera planetaria concéntrica…}
La astrología de Kepler, (Extractos seleccionados y traducidos) Dr. Kenneth G. Negus
(Este es el título de un libro defendiendo seriamente la astrología.)
1-4 Esta curiosidad [astrología predictiva de una clase frívola] florece, y estimula a uno a aprender astronomía. y la Astronomía no es rechazada, sino altamente alabada, como es propio. Ahora, esta astrología es una hija tonta (como yo escribí en mi libro de Stella Capítulo XII). Pero querido Señor, ¿Qué sucedería a su madre, la altamente razonable Astronomía, si ella no tuviese esa hija tonta. El mundo, después de todo, es mucho mas tonto, ciertamente tan tonto, que esta vieja sensible madre, la astronomía, es elogiada como resultado de las travesuras tontas de su hija
2-3 la geometría ó armonía de aspectos no está entre las estrellas en el cielo, sino localizada mas bien aquí abajo sobre la tierra en el punto que recibe todos estos rayos
Kepler decía que cada planeta era dirigido en su órbita elíptica por un ángel residente.
Acerca de la muy perfecta armonía de los movimientos celestes, y la génesis de excentricidades y semidiámetros, y los tiempos periódicos del mismo.
Prefacio
Con respecto a lo que predije hace veintidós años(especialmente que los cinco sólidos regulares son encontrados entre las esferas celestes), respecto a lo cual yo estaba firmemente persuadido en mi propia mente antes de que yo haya visto las Armonías de Ptolemeo, respecto a lo cual yo prometí a mis amigos en el título de este quinto libro antes de que yo estuviera seguro de la cosa misma, que la cual, hace dieciséis años, en una declaración publicada, yo insistí debe ser investigada,: por que por dicha causa gasté la mejor parte de mi vida en especulaciones astronómicas, visité Tycho Brahe, y tomé la residencia en Praga: … Soy libre de entregarme a la locura sagrada, soy libre de burlarme de mortales con la confesión franca que robo los buques de oro de los egipcios, a fin de construir un templo para mi Dios, lejos del territorio de Egipto. Si usted me perdona, me alegraré; si se enoja, resistiré.
¿De que Dios estaba hablando Kepler?
Encontrado Horóscopo de 400 años hecho por Kepler
SANTA CRUZ, Calif. (Reuters)
Un investigador de California que lee detenidamente documentos diversos que se hayan en una gaveta de archivo se ha encontrado con un horóscopo de 400 años escrito por uno de los astrónomos mayores de la historia, Johannes Kepler.
Anthony Misch, un astrónomo en el Observatorio Lick de la Universidad de California-Santa Cruz, dijo el jueves que su descubrimiento del horóscopo anotado en los archivos de la escuela en diciembre era una emoción.
"Allí estaba, en un pequeño marco amarillento. Llamó mi atención. Era completamente claro algo mucho más viejo que las otras cosas que llenan el archivo," Misch dijo a Reuters. "Era muy, muy emocionante."
Kepler, un alemán que vivió de 1571-1630, es famoso como el descubridor de las leyes del movimiento orbital planetario y es extensamente pensado ser igual a Copérnico y Galileo como uno de los astrónomos más importantes de la era moderna.
Misch dijo que, a pesar de su base científica, Kepler también producía horóscopos como parte de sus obligaciones como matemático de la corte para el Santo Emperador Romano Rudolph II.
El documento descubierto en Santa Cruz es una lectura astrológica para Hans Hannibal Hutter von Hutterhofen, un noble austriaco nacido en 1586. Inscrito en una mano floreada, el horóscopo teje signos y símbolos del Zodiaco.
El documento ha sido certificado por la firma de J.A. Stargardt, especialistas de autografo en Berlín, Misch dijo - aunque él añadió que nadie había sido aún capaz de descifrar cuales eran realmente las predicciones de Kepler.
Un cuento mucho más creíble de proto navegación espacial es la escrita por el célebre astrónomo Johannes Kepler, que en Somnium relató la historia le contó un misterioso hombre de Islandia llamado Duracotus - un autoproclamado estudiante de Tycho Brahe - quién decía haber viajado a la Luna.
En verdad, Duracotus reveló a Kepler que él fue llevado allí por Selenitas aladas, quienes traficaban con su madre, una bruja celebre. Pero lo que a este cuento un indisputable halo de verdad es que Duracotus explicó a Kepler que estos "demonios" tuvieron que idear modos de acomodar la necesidad del humano del aire y su intolerancia del frío extremo. Éstos fueron tratados mediante el uso de una poción durmiente y humedecieron esponjas presionadas contra su cara. Duracotus también notó su paso por el punto donde la gravedad de Tierra y de la Luna se equilibran entre si.
Estos detalles, ampliados por el escrutinio de un científico tan renombrado como Kepler, nos hacen creer la veracidad básica del cuento de Duracotus, y darnos nuestras primeras vislumbres en la realidad de Espacio Exterior como pudo haber sido entonces, y las criaturas que moraron allí.
Después de pasar cinco años en compañía de Tycho, Duracotus tomó el permiso de su maestro y fue en barco para la casa. Él encontró Fiolxhilde igual como ella era cuando él se marchó, salvo que la anciana había sufrido terriblemente a consecuencia de su impetuosidad y estaba extasiada por ver a su hijo vivo y bien. Varias discusiones largas siguieron en la que Fiolxhilde expresó felicidad sabiendo el conocimiento que Duracotus tenía con la nueva ciencia de las estrellas.
Ella confiesa su especial conocimiento de los cielos y el hecho que su profesor no es otro que "el Demonio de Lavania" - el espíritu de la luna. "La mayor parte de las cosas que usted vio con sus propios ojos o aprendió de oídas o absorbieron de libros, él me las enseñó como usted hizo." La madre entonces revela su secreto último: es posible, con la ayuda del Demonio, viajar a Lavania y, completamente como era de esperar, ella pide a su hijo acompañarla de un tal viaje lunar.
Duracotus consiente "y tan pronto como el sol se pone debajo del horizonte, y estaba en conjunción con el planeta Saturno en el signo del Toro, Fiolxhilde convocó al Demonio y se asentó al lado de su hijo que cubrieron sus cabezas con una manta. Dentro de unos momentos el viaje "de cincuenta mil millas alemanas" había comenzado, por las regiones etéreas a la luna.
Entonces él (Kepler) respondió a Galileo en una carta abierta el 19 de Abril de 1610. Conversación con el Mensajero de las Estrellas,
:
Un tal trabajo, Somnium (el Sueño), fue otro precursor importante de ciencia ficción y tenía bastante pies de páginas de datos astronómicos. En él, un joven de Islandia llamado Duracotus volvió a casa después de estudiar con el gran Brahe y es enseñado por un demonio sobre la naturaleza de la Luna y su relación a la Tierra. El demonio sabe sobre la Luna porque él es capaz de volar allí durante eclipses y puede describir por lo tanto sus mares, montañas, noches largas, habitantes meteorológicos, parecidos a una serpiente, y lo qué la Tierra parece desde su superficie. Somnium fue probablemente redactado en 1593 y revisada en 1609, mientras Galileo estaba puliendo cristal, pero no fue publicado hasta 1634, cuatro años después de la muerte de su autor. Ya que una nota al pie de la página en aquella edición dice explícitamente que fue escrito para refutar argumentos contra el movimiento de Tierra, y por lo tanto apoyaba a Copérnico, esto ascendió a otro desafío al dogma papal
En la obra Grandes Enigmas de la editorial Océano se nos dice de Johanes Kepler lo siguiente:
Nacido en 1571 en la población alemana de Weil, Johannes Kepler se convirtió a la edad de 23 años en profesor de astronomía en la universidad de Gratz. Las tareas de cualquier astrónomo tenían todavía mucho de astrólogo y al joven no le costó trabajo aceptar el puesto, ya que en su familia había curiosos antecedentes. Su madre era una auténtica bruja, echadora de cartas y pitonisa que tuvo serios problemas con la Inquisición y permaneció largo tiempo encerrada. Kepler tuvo que vivir largo tiempo de practicar la interpretación de los astros y de preparar horóscopos...
A pesar de sus aciertos, se ha venido acusando a Kepler de haber cometido el error de creer en la música celestial emitida por los planetas al trasladarse en torno al Sol, la cual no puede ser captada por el oído humano. No era el primero en afirmar tal cosa. Veinte siglos antes, Pitágoras había hablado ya de esa música de los planetas.
Kepler pensaba, en la tradición de los filósofos pitagóricos, que sus leyes debían expresar la armonía musical del cosmos. Él no expresó su tercera ley, como lo hacemos actualmente, como una relación entre la distancia media de un planeta al sol y el tiempo que tarda en dar una vuelta alrededor de éste. En cambio, como ilustramos en la figura, Kepler representó la velocidad angular de cada planeta en un pentagrama musical, la nota más baja correspondía al caso más alejado del sol y la más alta al más cercano. La relación entre los pares de velocidades angulares es muy cercana a la que define estos intervalos musicales y sus notas pueden acomodarse en cuatro armoniosos acordes.

Kepler escribió:
El movimiento celeste no es otra cosa que una continua canción para varias voces, para ser percibida por el intelecto, no por el oído; una música que, a través de sus discordantes tensiones, a través de sus síncopas y cadencias, progresa hacia cierta predesignada cadencia para seis voces, y mientras tanto deja sus marcas en el inmensurable flujo del tiempo.
Esta música es astrología Estos planetas esferas y las notas musicales no son otras cosas que las esferas del gran dios PAN:
Los antiguos sabios de Alejandría creían que PAN personificaba el Cosmo Natural, y la palabra Panteísmo es derivada de esta idea, que toda la Naturaleza es Dios y que Dios es toda la Naturaleza. Él es descrito como el hijo de Hermes por el arcadio Nymph Dryope: "con pie de chivo, dos cuernos, ruidoso, y de risas..."; También se decía ser el hijo de Zeus en Amalthea la diosa cabra de Creta, niñeras a Dionysus. Los atributos de cuernos y cascos junto con un prominente falo se mezclan y esta asociación, particularmente, les dio la identificación como símbolos masculinos de sexualidad. Mucha gente antigua no tenía vergüenza acerca del sexo y lo consideraban un signo vital de salud y bendición divina. Pan tenía muchos amantes, tanto femeninas como masculinos, además de su constante persecución de ninfas anónimas de sus bosques.
Satanás fue creado músico:
Ezequiel 28:13. En Edén, en el huerto de Theos estuviste; toda piedra preciosa fue tu vestidura; el sardio, topacio, diamante, turquesa, onice, y berilo, el zafiro, rubí, y esmeralda, y oro. Las obras de tus tamboriles y flautas estuvieron apercibidas en ti el día que fuiste creado.
El 25 de Febrero de 1692 Isaac Newton escribió en una carta a Richard Bentley las siguientes líneas
“Yo aún no he sido capaz de descubrir la causa de estas propiedades de la gravedad por experimentación y no propongo hipótesis… es suficiente que la gravedad realmente no existe y actúa según la leyes que he explicado, y que abundantemente sirven para contar por todos los movimientos de los cuerpos celestiales.
Que un cuerpo pueda actuar sobre otro en la distancia a través de un vacío sin la mediación de alguna cosa más, por y a través la cual su acción y fuerza pueden ser transmitidas de uno a otro, es para mi tan grande absurdo, que, yo creo, ningún hombre quien tiene en asuntos filosóficos una facultad competente de pensamiento pueda caer en tal absurdo.”
El lector que quiera conocer más sobre Richard Bentley leer en:
Pan es el Dios que Einstein adoraba:
"Mi religión", dijo Einstein, es realmente el Universo--en otras palabras, la naturaleza, la cual es el reflejo del universo." Cuando preguntado si él creía en Dios, Einstein respondió "Yo creo en el dios de Spinoza quien se revela a si mismo en la armonía de las cosas que existen." Benedict Spinoza (1632-1677), el renombrado filósofo del panteismo, mantenía que dios y la naturaleza son uno en el mismo. "Yo estoy fascinado por el panteismo de Spinoza, por que yo admiro aún más su contribución al pensamiento moderno por que él... tiene que ver con el alma y el cuerpo como uno, no dos cosas separadas." La unidad del espíritu y la materia de Spinoza refuerza la búsqueda de Einstein por una sola fuerza unificadora en la naturaleza conocida como "la teoría del campo unificado".
Los nombres de los tales planetas son nombres de espíritus sucios:
La sabiduría Antigua nombraba los planetas no como globos físicos sino por los espíritus que residían allá. Así, la luna (ángeles); Mercurio (arcángeles); Venus (arcai); sol(potencias); Marte (fuerzas); Júpiter (Dominios) y Saturno (Tronos). Estos órdenes se relacionan a los logos planetarios emanando a través de los siete planetas de los antiguos y no nos concierne aquí. (El círculo más interno del Zohar.)
Los nombres de los planetas de nuestro sistema solar procede de la mitología griega y romana; así, según la mitología:
Mercurio: espíritu inmundo que promueve robos
Venus: espíritu inmundo que promueve libertinaje sexual
La Tierra: demonio que promueve rechazo a Theos
Marte: demonio que promueve las guerras y asesinatos
Júpiter: demonio que fomenta promiscuidad y abandono de niños
Saturno: demonio que promueve muerte de hijos e hijas
Urano: espíritu inmundo que promueve caos y confusión
Neptuno: demonio que promueve desastres
Plutón: demonio que fomenta adoración infernal
Albert Einstein
La revista más allá de la Ciencia, en su monográfico nº 18 /10/1996, "Fenómenos Paranormales que Cambiaron la Historia, página 62, nos dice:
Su búsqueda de nuevas explicaciones para las inquietudes del alma le llevaron a leer- quizá por "casualidad"- el libro La Doctrina Secreta de la ocultista Helena Petrovna Blavatsky, fundadora en 1875 de la Sociedad Teosófica. Blavatsky fue una orientalista que, a pesar de no tener estudios, escribió todo un tratado sobre el mundo y los conocimientos ocultos y filosóficos reservados a unos pocos. Entre otras cosas, la autora cuestionaba los conocimientos heredades de los filósofos griegos Demócrito y Leucipo, cuando afirmaban que los átomos eran "la ultérrima parte de la materia y, por lo tanto, indivisibles; al unirse provocan el llegar a ser y, al separarse, el llegar a desaparecer".
Einstein, lector asiduo y fascinado de la obra de Blavatsky, según lo informó el periodista especializado en física nuclear Jack Brown, declaró en cierta ocasión a este reportero: "Es un libro muy extraño y le he dicho al profesor Heisenberg, mi compañero en los estudios de Física, que adquiera una copia y la tenga en su escritorio". Einstein llegó a aconsejar a su colega que se sumergiera en la lectura de dicha obra cuando estuviera abrumado por algún problema, con el fin de relajarse e inspirarse.
Intrigado por las enseñanzas de Blavatsky, Einstein comentó al periodista: "Por ejemplo, he aquí algo que me intriga. Yo estoy asombrado de cuánto puede significar esto en Física moderna". Y, cogiendo el libro, leyó con voz suave, pero con cierta emoción: "Basta esto para mostrar cuán absurdas son las admisiones simultáneas de la no divisibilidad y de la elasticidad del átomo. El átomo es elástico, luego el átomo es indivisible y debe estar compuesto de partículas o subátomos". Mientras cerraba el libro- concluye Brown, Einstein agregó: "Hay dos afirmaciones significativas de ella que encuentro muy interesantes".
Después de éste y de otros comentarios sobre la Doctrina Secreta, se puede concluir, sin caer en una afirmación gratuita, que el insigne científico, sencillamente tradujo los conocimientos de la Filosofía y la Metafísica del libro a puras fórmulas matemáticas.
En la Doctrina Secreta – 1888 - la poderosa Luciferista Elena Petrovna de Blavatsky declara:
Pero eso nosotros debemos buscar por las últimas causas de luz, calor, etc., etc., en la MATERIA que existe en estados super-sensuales-- estados, sin embargo, como totalmente objetivo al ojo espiritual del hombre, como un caballo o un árbol es al mortal ordinario. La luz y el calor son el fantasma o sombra de la materia en movimiento. (La Doctrina Secreta, Volumen I, página 515)
Esto fue durante el reino supremo y autocrático de la materia. Cuando el último fue destronado, y el MOVIMIENTO fue proclamado el solo gobernante soberano del Universo, el calor se volvió "un modo de movimiento." (página 516)
Las concepciones de Fuerza son reasumidas por nuestras concepciones de este, aquel, u otro modo de movimiento." La fuerza es así simplemente el pasaje de un estado de movimiento en otro estado del mismo: de electricidad, en calor y luz, de calor en sonido o alguna función mecánica, y así sucesivamente. *
La OSCURIDAD es la única verdadera realidad, la base y la raíz de la luz sin la cual la última nunca podría manifestarse, ni incluso existir. La luz es materia, y LAS TINIEBLAS puro Espíritu. La oscuridad, en su radical, base metafísica, es subjetiva y absoluta luz; mientras que la luz en toda su refulgencia y gloría, es meramente una masa de sombras, como tal nunca puede ser eterna, y simplemente es una ilusión, o maya. (La Doctrina Secreta, Volumen I, página 70)
Esto puede decirse en general de la elasticidad; ninguna elasticidad es posible sin el cambio con respecto a la posición de las partículas compuestas de un cuerpo elástico. Esto significa que el cuerpo elástico es cambiable y consiste en partículas, o, en otros términos, esa elasticidad sólo puede pertenecer a esos cuerpos que son divisibles. Y el átomo es elástico."
Esto es suficiente para mostrar cuan absurdos son las simultáneas admisiones de la no-divisibilidad del átomo y la elasticidad del átomo. El átomo es elástico, luego, el átomo es divisible, y debe consistir de partículas, o de sub-átomos. ¿Y estos sub-átomos? Ellos son o no elásticos y en tal caso ellos representan no importancia dinámica, o, ellos son elásticos también; y en tal caso, ellos, también, están sujetos a divisibilidad. Y así hasta el infinito. Pero infinita divisibilidad de la materia resuelve la materia en simples centros de fuerza. (La Doctrina Secreta, Volumen 1, pag 519)
e= mc2
Nuestros hombres sabios saldrán de esto a través de algún tecnicismo científico; ¿pero qué es eso que es interceptado, así como para encarcelar una cierta cantidad de él en vidrio, papel, o madera? ¿Es "El Movimiento" os es "La Fuerza"? O nos dirán que lo que queda detrás es el efecto sólo de la fuerza o el Movimiento? ¿Entonces que es esta Fuerza? La Fuerza o la energía es una cualidad; pero cada cualidad debe pertenecer a un algo, o un alguien (La Doctrina Secreta, Volumen 1, página 508)
Blavatsky es clara: los hombres sabios (luciferistas) llevarían sus palabras a expresiones científicas, uno de tales hombres fue Einstein:
Nosotros tenemos grandes hombres en ciencia hoy, por ejemplo, enseñando abiertamente ideas respecto la identidad fundamental de la materia y la energía. Las maravillosas teorías de hombres como el Dr. Albert Einstein y el Dr. Robert A. Millikan, por mencionar solamente dos nombres, son las mismas enseñanzas teosóficas. Nuestros científicos mayores hoy comienzan a decirnos, como el Profesor A. S. Eddington de la Universidad de Cambridge (Inglaterra) ha dicho a principios de este año [1929] que toda la Naturaleza no es sino una conciencia en cuerpo, o, como nosotros los Teosofistas diríamos, conocimientos con cuerpos.
Por mera casualidad yo conté las entradas en su bibliografía - hay 169 referencias. Hay 1166 notas, la mayoría sencillamente citando estas referencias, pero otras ofreciendo en ellas mismas pequeñas exquisiteces de interés. Muchos de ustedes habrán oído la historia de Einstein teniendo la copia de la Doctrina Secreta de Blavatsky sobre su escritorio (un hecho confirmado por Cranston cuando ella entrevistó Eunice Layton, la mujer que estaba en la recepción en el T.S. en Adyar, India cuando la sobrina de Einstein vino a visitar durante los 60. Como la sobrina explicó, “ella no sabía nada de teosofía o la sociedad, pero tenía que ver el lugar porque su tío siempre tenía una copia de la Doctrina Secreta de Madame Blavatsky sobre su escritorio”). Una historia quizá menos conocida que se encuentra en estas notas es la de Robert Millikan, el físico que ganó el premio Nobel en 1923 por descubrir los rayos cósmicos. Él era también un lector de la Doctrina Secreta. Durante su tenencia en Cal Tech, era necesario poner el nombre de alguien sobre una larga lista de espera en la biblioteca de la universidad para comprobar cuando la Doctrina Secreta tuviera mucha demanda. Como fue Millikan quién ayudó a traer Einstein a los Estados Unidos en los años 30 y a Cal Tech donde él (E). trabajó por tres veranos como un jefe de cocina (!), puede haber sido Millikan quién interesó Einstein en la Doctrina Secreta.
¿CÓMO ALBERT EINSTEIN INTUYÓ LA RELACIÓN E=MC2?, por Leon Maurer, eso es fácil. Él lo obtuvo del libro LA DOCTRINA SECRETA. En el vigésimo aniversario de la muerte de Einstein (1975), el físico Richard Feynman fue citado por la revista TIME diciendo: No puedo entender cómo la intuición de Einstein le condujo a e=mc2, en vista del nivel del conocimiento científico en ese entonces [ 1905 ]. Esta ecuación indica que... la masa o la sustancia es equivalente a la energía y que el tiempo y el espacio son partes integrales de la serie continua de la sustancia-energía -- A. March y I.M Freeman, en EL MUNDO NUEVO DE LAS FÍSICAS, 1963. Una sobrina de Einstein reportó que una copia DE LA DOCTRINA SECRETA estaba siempre en su escritorio. Iverson Harris, El Diario De la Historia De San Diego, Sociedad Histórica De San Diego (California), Summer, 1974, 16. Chequeando esta información se supo que una sobrina de Einstein, en la India durante los años 60, hacia una visita a las jefaturas de la Sociedad Teosofíca en Adyar. Ella explicó que ella no sabía nada de teosofía o de la sociedad, pero tuvo que ver el lugar porque su tío tenía siempre una copia de la DOCTRINA SECRETA de Madame Blavatsky en su escritorio. El individuo a quien la sobrina habló era Eunice Layton, conferenciante teosófica renombrada del mundo que estaba en el escritorio de la recepción cuando ella llegó. Mientras que en Ojai, California, en 1982, Sylvia Cranston satisfizo a la señora Eunice Layton, que confirmó la historia
Al comparar las palabras de Einstein vemos que éste repetía las palabras –órdenes- de Blavatsky:
1888: Blavatsky
¿Qué es el tiempo, por ejemplo, sino la sucesión panorámica de nuestros estados de conciencia? Nuestras ideas de la duración y el tiempo son todas derivadas de nuestra sensación de acuerdo a las leyes de la Asociación. Intrínsicamente ligado con la relatividad del conocimiento humano, de todos modos no pueden tener existencia excepto en la experiencia del ego, y perece cuado su evolucionaria marcha dispersa de fenomenal existencia. En palabras de un maestro, "Me siento irritado de tener que usar estas tres palabras sin sentido -- Pasado, Presente, y Futuro -- conceptos miserables de fases objetivas del todo subjetivo, todas son nomás que mal adaptadas para el propósito como una hacha para fino tallado."
El tiempo es una ilusión producido por la sucesión de nuestros estados de conciencias según viajamos a través de la duración eterna, y no existe donde no conciencia existe en que ilusión pueda ser producida; pero "permanece dormida." El presente es solamente una línea matemática que divide esa parte de la duración eterna que nosotros llamamos el futuro, de aquella parte que nosotros llamamos el pasado. -- La Doctrina Secreta, Volumen I,37
Einstein
"Ahora que él se ha ido de este extraño mundo un poco más allá de nosotros. Eso significa nada. Gentes como nosotros, que creen en física, conocen que la distinción entre pasado, presente y futuro es solamente una obstinada y persistente ilusión."
"Realmente es simple ilusión, aunque una muy persistente."
La Relatividad de Einstein son palabras de Blavatsky:
Maya o ilusión es un elemento que entra en todas las cosas, porque cada cosa que existe tiene sólo una relativa, no una absoluta realidad, ya que la apariencia que el oculto noumenon asume para cualquier observador depende sobre su poder de cognición.
En 1888 Blavatsky ordenó abolir el ether:
La septenaria gradación, y las inmerables gradaciones y diferencias, hechas por los antiguos entre los poderes del ether colectivamente, de sus efectos, con lo cual nuestra ciencia está tan familiarizada, hasta la "Imponderable Substancia", una vez admitida como él "Ether del Espacio", ahora a punto de ser abolido, siempre ha sido un acertijo a cada rama del conocimiento. (La Doctrina Secreta, I, 331).
Por esa razón Einstein En La Evolución de la Física (1938), página 36 repitió la orden de Blavatsky:
'este es el momento para olvidarse del ether completamente y nunca más intentar mencionar su nombre'
Einstein enseña el quantum de Madame Blavatsky:
Pero infinita divisibilidad de la materia resuelve la materia en simples centros de fuerza. (La Doctrina Secreta, Volumen 1, página 519)
La Teoría de la relatividad de Einstein enseña que la velocidad de la luz en el vacío no varía, pero el Giroscopio Óptico funciona gracias a que la velocidad de la luz en el vacío no es constante:
Principio de Operación del Giroscopio Óptico:
Dos haces láser se mueven en direcciones opuestas en un mismo camino circular. Cualquier cambio en la dirección del sistema provoca una diferencia en el camino de estos dos haces. Utilizando medidas interferométricas (véase capítulo 10), es posible detectar cambios muy pequeños, de manera que el giroscopio láser es un dispositivo muy sensble
Aplicación de Giroscopio Óptico
Así de sencillo, Einstein era uno más de esta liga de grandes mentirosos.
Una revisión minuciosa nos llevará a entender que la mayoría de los así llamados hombres de ciencia han estado ligado a la alta brujería, veamos, por ejemplo, a Isaac Newton:
Llegó como una sorpresa no bien venida al establecimiento científico cuando en 1936, los descendientes del señor Isaak Newton ofrecieron 121 lotes de sus largas y no publicadas obras para subastar en Southeby. Estas obras, las cuales en sus cantidades exceden por mucho la suma de sus bien conocidos tratados científicos, no se refieren a ciencia, sino lo que se ha mostrado haber sido el mas grande amor de Newton, el estudio de toda su vida de las Tradiciones Herméticas, de ocultismo, magia y especialmente Alquimia. Los primeros ocultistas perseguían toda clase de consideraciones científicas, pero éstas nunca fueron separadas de sus creencias fundamentales. Ellos eran hombres sabios, usualmente actuando en gran secreto, quienes en la búsqueda de la piedra de la filosofía del ser del hombre, hicieron descubrimientos remarcables en el campo de la ciencia por lo cual no son reconocidos porque los descubrimientos separados de una ciencia del ser del hombre no era su meta; Así Descartes creó su geometría analítica con la ayuda del libro del Rosacrucismo Libro del Mundo; a Newton le fue dado el libro del Rosacrucismo sobre la Ciencia Hermética el cual le ayudó durante sus 18 meses en el cual él "descubrió" las leyes del movimiento y sus teorías sobre Óptica y Gravedad. Leibniz estudió la Monadología Rosacruz para arribar a su propia teoría de la Monada; Cópernico fue inspirado formular su teoría heliocéntrica del sistema solar por "un Himno al Sol" de los ocultistas; Kepler descubrió el movimiento planetario mientras estaba mirando "los sólidos geométricos de los ocultistas", y así sucesivamente, pero el ocultismo europeo nunca obtuvo crédito por estos descubrimientos, solamente el no ceremonioso título de "superstición"
DANIEL ZWERDLING, HOST: A mediados de los 1600s, algunas personas pensaron que el científico Isaac Newton estaba mentalmente enfermo. En ese tiempo, la mayoría de la gente en Europa creía que los eventos diarios eran controlados por espíritus misteriosos
Rene Descarte fue inducido a desarrollar este nuevo método filosófico debido a tres sueños consecutivos en Ulm, Alemania, la noche del 10 Noviembre de 1619 (cf. Copleston, p.75). Él mismo luego declaró que los sueños habían sido inspirados por demonios.
Pero los hombres que fundaron la Sociedad Real de científicos no fueron justamente los primeros científicos; ellos fueron también los últimos brujos. Ashmole realmente pertenece a una sociedad de Rosacruces y era un astrólogo practicante; Sir Robert Moray era un entusiasta Masón Libre, Newton estudió y escribió sobre los conceptos rosacruces de la Alquimia; mientras que Hooke realizaba experimentos mágicos con arañas y cuernos de unicornios.
A.3 La Sociedad Real de científicos
Es un hecho que el desarrollo temprano de la Francmasonería en Bretaña estaba ligada a la Casa de Stuart. Surgió del graduar tradicional de masones medievales por los grados de habilidad. Este concepto simbólico de la masonería ritual evolucionó durante el reino de Charles I. El rastro más temprano de las Logias Masónicas libres o especulativas datan de alrededor de 1640. La Orden estaba principalmente envuelta con la adquisición estructural de conocimiento en ciencia inexplicada mucho de lo cual había sido preservada en Escocia desde el tiempo de los Templarios y monjes Cistercienses.
En la Inglaterra de Stuart, los masones en el momento de Charles I y Charles II eran estudiantes de filosofía, astronomía, físicas, arquitectura, química, y otros aprendizajes avanzados. Muchos también eran los miembros de la Sociedad Real también conocidos como el Colegio Invisible cuando fue forzada subterráneo en el tiempo de Cromwell. La Sociedad se creó bajo Charles I en 1645 y recibió su Carta constitucional Real por Charles II en 1662 después de la Restauración. Robert Boyle, Isaac Newton, Robert Hooke, Christopher Wren, y Samuel Pepys fueron los primeros miembros. Para lograr lo que ellos hicieron los miembros de la Sociedad Real, como los Templarios antes, deben haber tenido acceso a conocimiento muy especial. La mayoría de ellos, además de su conocimiento importante en sus campos de competencia, también estaban interesados en la alquimia y en el estudio de antigua historia religiosa. Newton fue al mismo tiempo presidente de la Sociedad Real y Gran Maestro del Prieuré de Sion.
Christopher era Gran Maestro de los Rosacruces como Robert Boyle y el Señor Francis Bacon fueron antes que él. Benjamín Franklin y Thomas Jefferson, el tercer Presidente del EE.UU., también han sido Grandes Maestros en sus tiempos. Todos ellos estaban muy interesados en la Alquimia Hermética y la Sagrada Destreza. Ellos eran conocidos como científicos, pero los descubrimientos que ellos clamaban no siempre eran suyo propio; ellos poseían mucho estudio de investigación antigua. Como un ejemplo, es sabido que la Ley de Gravedad asociada con el nombre de Newton tiene su verdadera fuente en los escritos de Pitágoras '. (4)
Después de la muerte de Cromwell, la Realeza se restauró en Inglaterra con Charles II. En 1662 rey Charles II concedieron una garantía Real al "colegio invisible" que llegó a ser conocida en ese tiempo como la Sociedad Real. Fue la primera asamblea de científicos e ingenieros en el mundo dedicado a entender las maravillas creadas por el "Gran Arquitecto del Universo". Esta asamblea se acredita como habiendo sido parte en la creación de una edad de esclarecimiento, y en las fundaciones de la sociedad industrial de los siglos diecinueve y veinte. Se cree que la Sociedad Real es básicamente Masónica e Hija de Bacon y, más precisamente, que es el resultado de las ideas soltadas durante la definición del Segundo grado de Francmasonería. Desde el comienzo los miembros debían asistir a la reunión semanalmente (con el ausente multó) para discutir los asuntos científicos, a la exclusión de lo político y religión como es ahora el caso en las logias Masónicas. La mayoría de los primeros miembros y fundadores eran Masones.
Pronto la Sociedad Real llegó a ser bien conocida y todos los grandes hombres del tiempo se querían unir. Esto incluyó al Señor Isaac Newton que se hizo su presidente después. (8)
Esta Sociedad es la misma Escuela de Misterios a la cual pertenecían muchos sabios alrededor del mundo en la antigüedad. Platón en su obra Diálogo de Sócrates, publicada por W.M. Jacson, Inc. en su serie Los Clásicos, nos dice que su maestro era un activista de un rito ocultista, según leemos:
SOCRATES
Página 342 Sócrates.-Sin embargo, ¡oh, hijo de Alexidemo!, en mi opinión no es ésta la mejor, sino la otra. Y creo que llegarías a pensar lo mismo, sino te vieras obligado a partir antes de los misterios, como anunciabas ayer, y pudieras permanecer y hacerte iniciar en ellos.
Página 96- En efecto, continúo Sócrates, lo que digo parece un contrasentido, pero quizás en ello hay buena dosis de fundamento. Escucha: el precepto que siempre se enseña sobre esto a los que se inician en los misterios, que el hombre está como en un puesto de guardia y no le es lícito separarse ni huir de él, me parece algo muy grande, aunque no fácil de penetrar...
Producto del masivo y bien articulado engaño, muchas personas adoran la expresión e=mc2; la cual dice que cualquiera materia (masa) libera la misma energia; pero el mismo Einstein le hacía saber a Roosevelt que pusiera todo el empeño posible en obtener URANIO, no mencionó arena, paja o ningún otro material:
Carta de Einstein al Presidente Roosevelt
Albert Einstein
Old Grove Rd. Nassau Point
Peconic, Long Island
2 de Agosto de 1939
F. R. Roosevelt
President de los Estados Unidos
White House
Washington, D.C.
Señor;
Algunos recientes trabajos de E. Fermi y L. Szilard, los cuales me han sido comunicados en manuscritos, me llevan a esperar, que en el futuro inmediato, el elemento uranio puede ser convertido en una nueva e importante fuente de energía. Algunos aspectos de la situación que se han producido parecen requerir mucha atención y, si fuera necesario, inmediata acción de parte de la Administración. Por ello creo que es mi deber llevar a su atención los siguientes hechos y recomendaciones.
En el curso de los últimos cuatro meses se ha hecho probable -a través del trabajo de Loiot en Francia así como también de Fermi y Szilard en Estados Unidos- que podría ser posible el iniciar una reacción nuclear en cadena en una gran masa de uranio, por medio de la cual se generarían enormes cantidades de potencia y grandes cantidades de nuevos elementos parecidos al uranio. Ahora parece casi seguro que esto podría ser logrado en el futuro inmediato.
Este nuevo fenómeno podría ser llevado a la construcción de bombas, y es concebible -pienso que inevitable- que pueden ser construidas bombas de un nuevo tipo extremadamente poderosas. Una sola bomba de ese tipo, llevada por un barco y explotada en un puerto, podría muy bien destruir el puerto por completo, conjuntamente con el territorio que lo rodea. Sin embargo, tales bombas podrían ser demasiado pesadas para ser transportadas por aire.
Los Estados Unidos tiene muy pocas minas con vetas de uranio de poco valor, en cantidades moderadas. Hay muy buenas vetas en Canadá, la ex-Checoslovaquia, mientras que la fuente más importante de uranio está en el Congo Belga.
En vista de esta situación usted podría considerar que es deseable tener algún tipo de contacto permanente entre la Administración y el grupo de físicos que están trabajando en reacciones en cadena en los Estados Unidos. Una forma posible de lograrlo podría ser comprometer en esta función a una persona de su entera confianza quien podría tal vez servir de manera extra oficial. Sus funciones serían las siguientes:
a) Estar en contacto con el Departamento de Gobierno, manteniéndolos informados de los próximos desarrollos, y hacer recomendaciones para las acciones de Gobierno, poniendo particular atención en los problemas de asegurar el suministro de mineral de uranio para los Estados Unidos.
b) acelerar el trabajo experimental, que en estos momentos se efectúa con los presupuestos limitados de los laboratorios de las universidades, con el suministro de fondos. Si esos fondos fueran necesarios con contactos con personas privadas que estuvieran dispuestas a hacer contribuciones para esta causa, y tal vez obteniendo cooperación de laboratorios industriales que tuvieran el equipo necesario.
Tengo entendido que Alemania actualmente ha detenido la venta de uranio de las minas de Checoslovaquia, las cuales han sido tomadas. Puede pensarse que Alemania ha hecho tan claras acciones, porque el hijo del Sub Secretario de Estado Alemán, von Weizacker, está asignado al Instituto Kaiser Guillermo de Berlín donde algunos de los trabajos americanos están siendo duplicados.
Su Seguro Servidor,
A. Einstein
Página Siguiente: Las Bombas Nucleares son alta Brujería
Richard Byrd; Tierra Hueca; Robert Peary
Dodecaedro; B;C; D; E;
Los Objetivos y la Distancia Focal
The phoenician name ABD and Baal