Site hosted by Angelfire.com: Build your free website today!


ข้อสอบโควต้า ม.ช. ทำโจทย์ลิมิตข้อนี้อย่่างไร ? (20 ธ.ค. 46)


คำถามโดย คุณ P^et^It_G^ar^Co^N

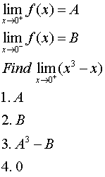
วันนี้ผมไปสอบโควตา ม.ช. มานะครับ มีคณิตข้อหนึ่ง ที่ผมคิดไม่ออก เป็นเรื่องของ lim นะครับ อยากให้ช่วยอธิบายให้ทีนะครับ ภาพด้านล่างผิดนะครับ ดูภาพที่ re2 ครับ


Practical x 2


หากมีข้อแนะนำกรุณาติดต่อที่อีเมลล์ : Practical_x_2@hotmail.com