Site hosted by Angelfire.com: Build your free website today!


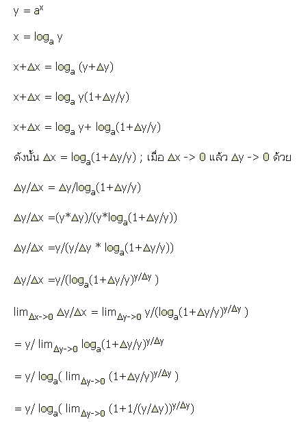
ลิมิตเกี่ยวกับ y=a^x
(18 ก.พ. 47)


คำถามโดย รบพิเศษ


J-a-y


Practical x 2

References :
Salas SL, Hille E. (1990) Calculus: One and several variables (6th Edition). John Wiley, New York, pp. 370-371, 581.


หากมีข้อแนะนำติดต่อที่ : Practical_x_2@hotmail.com