กราฟแสดงค่า partial pressure ของน้ำที่อุณหภูมิต่าง ๆ
T. M. Duncan and J. A. Reimer, Chemical Engineering Design and Analysis: An Introduction Cambridge University Press, 1998.
แหล่งข้อมูลเพิ่มเติมสำหรับเรื่อง phase diagram
http://www.sv.vt.edu/classes/MSE2094_NoteBook/96ClassProj/pics/941.jpg
http://www.sv.vt.edu/classes/MSE2094_NoteBook/96ClassProj/examples/triplpt.html
http://wine1.sb.fsu.edu/chm1045/notes/Forces/Phase/Forces06.htm
http://www.phys.virginia.edu/classes/311/notes/fluids1/node3.html
http://www.chemistrycoach.com/Phase1.jpg
http://www.ill.fr/AR-99/page/41chemistry.htm
http://www.chem.arizona.edu/~salzmanr/103a004/nts004/l38/l38.html
http://www.sbu.ac.uk/water/phase.html
ทีนี้ก็มาพิจารณาเรื่องของการออกแบบถังนี้กันครับ ซึ่งเราจัดอยู่ในกลุ่มของถังแรงดัน (pressure vessel) ซึ่งต้องคำนึงถึงหลาย ๆ เรื่อง รวมไปถึงถึงส่วนท่อเปิดต่าง ๆ จาก ตัวถังด้วยครับ เนื่องจากถังนี้ภายในเป็นสูญญากาศ ต้องรับแรงดันจากภายนอก การออกแบบจึงจัด อยู่ในกลุ่มของ External pressure vessel design (ในทางตรงข้ามถ้าภายในถังมีแรงดันสูง ก็ต้อง ออกแบบด้วย Internal pressure vessel design) ครับ
Antoine Equation นี่เป็นสมการยอดนิยมของวิศวกรเคมีครับ ตอนแรกที่ผมเรียนเรื่อง Trial and
error method ก็เริ่มจากสมการนี้ครับ
http://www.bgu.ac.il/~glevi/antoine.html
เรามาลองคำนวณกันดูครับ โดยใช้ค่าตัวเลขจากตาราง, สูตรคือ
log p* = A - (B/(T+C)) สำหรับน้ำบริสุทธิ์ที่อุณหภูมิระหว่าง 0 ถึง 60 องศาเซลเซียส มีค่า
A = 8.10765
B = 1750.826
C = 235.0
ที่ 35 องศาเซลเซียส
log p* = 8.10765 - (1750.826/(35 + 235))
p* = 41.98646 mmHg
แต่ ความดันหนึ่งบรรยากาศมีค่า 760 mmHg ดังนั้นที่ความดัน 41.99 mmHg ก็จะประมาณ 0.055 atm
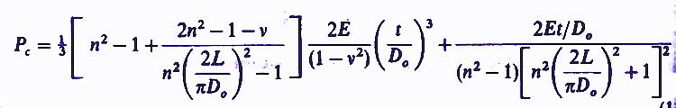
สูตรการคำนวณหาความหนาของถัง เป็นดังที่เห็นข้างล่างครับ

เอกสารอ้างอิง
Windenburg, D. F. and Trilling, D. C. (1934) Trans. Am Soc. Mech. Eng. 56, 819. Collapse by instability of thin cylindrical shells under external pressure.
เมื่อค่า
L = the effective length (the unsupported length of the vessel) (ความยาวของถังที่ไม่ถูกรองรับ)
D0 = external diameter (เส้นผ่านศูนย์กลางภายนอกถัง)
t = ความหนาของถัง ---> ซึ่งเราต้องการคำนวณออกมา
E = ค่า Young's modulus
v = อัตราส่วนของพาซอน (Poisson's ratio)
n = จำนวนของส่วนที่ปูดออกมาจากตัวถัง ที่ความดันวิกฤต (the number of lobes formed at buckling)
และค่า Pc ก็คือค่าความดันวิกฤตที่จะทำให้ถังเสื่อมสภาพ (the critical pressure to cause buckling)
เมื่อเห็นสูตร แล้วอย่าเพิ่งตกใจไปครับ เราสามารถลดรูปสมการลงได้ ทำให้อยู่ในรูปที่ง่ายขึ้น โดยการ ตัดเทอม (2L/Pi*D0)2 ออกไป ในกรณีที่ตัวถังมีความยาวมาก ๆ และมีรูป ลักษณะเป็นถังทรงกระบอก, ค่า n มากที่สุดที่เราจะให้เกิดขึ้น ณ ความดันวิกฤตให้เป็น 2, และแทนค่า อัตราส่วน ของพาซอนลงไป ให้เป็น 0.3 ซึ่งเป็นค่าสากลที่ใช้กันในการออกแบบถังความดันทั้งหลาย ก็จะทำให้ลดรูปสมการ ลงเหลือเพียง
Pc = 2.2E(t/D0)3......(S1)
แต่ว่าในการออกแบบถังประเภทนี้เราจะเพิ่มวงแหวนรัดแน่น (stiffening rings) เข้าไปด้วยครับ ทำให้ค่า Pc สูงกว่าที่คำนวณไว้ในสมการ S1 ดังนั้นเราจะแทนค่า 2.2 ด้วยตัวแปร Kc หรือค่าสัมประสิทธิ์การเสื่อมสภาพ (collapse coefficient) ลงไปแทน ตามสมการ S2 ข้างล่างครับ
Pc = KcE(t/D0)3......(S2)
โดยที่ค่า Kc นี้จะขึ้นกับค่าเส้นผ่านศูนย์กลางของถัง, ความหนาของถัง และค่าความยาวของถังที่ไม่ถูก รองรับ (effective length) ระหว่างวงแหวนรัดแน่นรอบตัวถัง ซึ่งเราสามารถคำนวณออกมาได้จาก กราฟสัมประสิทธิ์ การเสื่อมสภาพสำหรับถังรูปทรงกระบอก ที่แสดงไว้ข้างล่างครับ

ภาพในความคิดเห็นข้างล่าง (ภาพ a), b), c)) แสดงให้เห็นถึงการเพิ่มส่วนวงแหวนรัดแน่นเข้าไปรอบตัวถังเพื่อให้มี ความคงทนมากยิ่งขึ้นครับ

และสูตรคำนวณระยะห่างระหว่างวงแหวนรัดแน่นแต่ละอัน ก็คือ
Lc = 1.11D0(D0/t)1/2
ซึ่งค่า Lc นี้สำคัญมากครับ เพราะถ้าทิ้งระยะห่างระหว่างวงแหวนรัดแน่นมากไปกว่าค่านี้ ก็จะทำให้การรัด
แน่นไม่มีประสิทธิภาพ
เอกสารอ้างอิง
Southwell, R. V. (1913) Phil. Trans. 213A, 187. On the general theory of elastic stability.
ก่อนที่จะไปไกลกว่านี้ เรามาดูเรื่องของวัสดุที่จะใช้ในการสร้างก่อนครับ สมมติว่าต้องการสร้างด้วย สเตนเลส (Stainless steel, คำว่า stain หมายถึงรอยเปื้อน ดังนั้น stainless ก็คือไร้รอยเปื้อน หรือไม่เป็นสนิม นั่นเองครับ) ซึ่งแบ่งได้ออกเป็นสามกลุ่มใหญ่นะครับ คือ Ferritic, Austenitic, และ Martensitic ตามอัตราส่วน ของโครเมียม, นิกเกิล, และคาร์บอนที่แตกต่างกัน... ในทางสากลเขานิยมใช้ Austenitic stainless steel กัน ครับ ซึ่งก็แบ่งออกได้เป็นหลาย ๆ กลุ่มอีก เช่น Type 304, 304L, 321, 347, 316, 316L, 309/310 ฯลฯ ตาม แต่วัตถุประสงค์การใช้ แต่ประเภทที่ใช้กันโดยทั่วไปก็คือ Type 304 ครับ
ตามเงื่อนไขที่ต้องการสร้างคือ เส้นผ่านศูนย์กลาง 1 เมตร ซึ่งเวลาที่สร้างออกมาจริง ๆ หลังจากผ่านกระบวนการ fabrication แล้ว ตัวถังจะไม่เป็นทรงกระบอกจริง ๆ เหมือนอย่างที่ออกแบบครับ จึงต้องมีการตรวจสอบค่า "Out of roundness" หรือ "Ovality" ของถังทรงกระบอกด้วย เพราะถ้าความคลาดเคลื่อนจากที่่คำนวณไว้นี้ มากเกินไปแล้วละก็ อาจทำให้ถังทนแรงกดดันได้น้อยกว่าที่คำนวณไว้ถึง 50 เปอร์เซนต์ครับ
ค่า Ovality = 200*(Dmax - Dmin)/(Dmax + Dmin)
Dmax = ความยาวเส้นผ่านศูนย์กลางมากที่สุดที่วัดได้จากตัวถัง
Dmin = ความยาวเส้นผ่านศูนย์กลางน้อยที่สุดที่วัดได้จากตัวถัง
เพื่อความปลอดภัย ค่า Ovality จะต้องน้อยกว่า 1.5 เปอร์เซนต์เสมอครับ
จากความคิดเห็นที่ผ่านมาข้างต้น คงจะพอเห็นแล้วนะครับว่า เราต้องเน้นเรื่องของความปลอดภัยเป็นสำคัญ การออก แบบพวกถังสูญญากาศนี้ เขาจึงไม่นิยมทำถังแบบธรรมดาอย่างในภาพ a) แต่จะต้องมีการ เพิ่มวงแหวนรัดแน่น เข้าไปด้วยให้เป็นอย่างในภาพ b) ครับ เพื่อให้ตัวถังมีความคงทนมากขึ้น และสูตรที่ใช้คำนวณ ก็จะมีการเพิ่มค่าตัวประกอบความปลอดภัย (safety factor) เข้าไปด้วยเสมอครับ โดยทั่วไป ค่าตัวประกอบความ ปลอดภัยจะอยู่ระหว่าง 3 - 6
ต่อไปนี้เป็นตัวอย่างการคำนวณเพื่อหาค่าความหนาของถังสูญญากาศตามที่ ต้องการครับ ผมคิดว่าเราควรเริ่มจาก ค่าความหนาสำหรับกรณีที่ไม่มีวงแหวนรัดแน่นก่อน ดังนั้นรูปแบบของตัวถังก็จะเป็นดังภาพ a) นะครับ แบบธรรมดา ง่าย ๆ...
เนื่องจากค่าความดันที่ตัวถังต้องทนรับ คือค่ากดอากาศภายนอก 1 บรรยากาศ สมมติให้ค่า safety factor เป็น 3 นะครับ ให้ถังนี้ทนความกดอากาศได้ถึง 3 บรรยากาศ เมื่อแปลงเป็นหน่วยนิวตันต่อตารางเมตร ก็จะได้ 3 x 105 N/m2 แทนลงในสูตร S2 ดังข้างล่างครับ
Pc = KcE(t/D0)3......(S2)
สมมติให้ค่า Young's modulus (E) ของโลหะสเตนเลสที่ 35 องศาเซลเซียสเป็น 2 x 1011 N/m2
จริง ๆ แล้วคุณต้องให้ค่าความสูงของตัวถังมาด้วยครับ เนื่องจากไม่มีตรงนี้ ผมสมมติให้มีความสูงสัก 5 เมตรก็แล้วกัน ครับ ดังนั้นค่า L = 5 เมตร
ค่าเส้นผ่านศูนย์กลางภายนอกของตัวถังให้มาแล้วคือ D0 = 1 เมตร
; 3 x 105N/m2 = Kc2 x 1011 N/m2(t/1)3
; Kct3 = 1.50 x 10-6.....(S3)
ค่า L/D0 = 5/1 = 5
จากกราฟแรกที่ให้ไว้ เราสามารถคำนวณค่าความหนาของถังสูญญากาศนี้ออกมาได้ โดยกระบวนการ trial and errors ร่วมกับสมการ S3 ครับ
ขั้นที่ 1 สมมติให้ t = 10 มิลลิเมตร หรือ 0.01 เมตร ดังนั้น D0/t = 1/0.01 = 100
จากกราฟ ที่ L/D0 = 5 และ D0/t = 100
ค่า Kc มีค่าประมาณ 4.5 แทนค่านี้ลงไปในสมการ S3 จะได้ค่าความหนากลับ
ออกมาเป็น 6.93 มิลลิเมตร
ขั้นที 2 ให้ t = 6.93 มิลลิเมตร หรือ 0.00693 เมตร ดังนั้น D0/t = 1/0.00693 = 144
จากกราฟ ที่ L/D0 = 5 และ D0/t = 144
ค่า Kc มีค่าประมาณ 5.5 แทนค่านี้ลงไปในสมการ S3 จะได้ค่าความหนากลับ
ออกมาเป็น 6.48 มิลลิเมตร
ขั้นที่ 3 ให้ t = 6.48 มิลลิเมตร หรือ 0.00648 เมตร ดังนั้น D0/t = 1/0.00648 = 154
จากกราฟ ที่ L/D0 = 5 และ D0/t = 154
ค่า Kc มีค่าประมาณ 5.7 แทนค่านี้ลงไปในสมการ S3 จะได้ค่าความหนากลับ
ออกมาเป็น 6.41 มิลลิเมตร
ดังนั้นถังสูญญากาศควรจะมีความหนาประมาณ 6.5 มิิลลิเมตรครับ #ANSWER
อย่าลืมนะครับว่าความหนาที่ให้ไว้ข้างต้น ใช้สำหรับถังทรงกระบอกที่มีเส้นผ่านศูนย์กลางภายนอก 1 เมตร ความสูง 5 เมตร และค่า ovality < 1.5 % ถ้าค่าความสูงเปลี่ยนไป ต้องคำนวณใหม่นะครับ
อีกประการหนึ่ง เรายังต้องมีการคำนวณค่า loading ต่าง ๆ เพิ่มขึ้นอีก ในกรณีที่ตั้งถังไว้ภายนอก เช่น น้ำหนักของถัง, ลม, น้ำหนักของฝาเปิด ท่อต่าง ๆ อีกครับ ซึ่งการออกแบบอย่างละเอียดควรจะ เป็นไปตามมาตรฐานการออกแบบที่เหมาะสม เช่น BS 5500 (BS = British Standards) : 1976 Unfired fusion welded pressure vessels เป็นต้น
เอกสารอ้างอิงหลัก
Sinnott, R. K. 1983. Chemical engineering, vol. 6 : An Introduction to chemical engineering
design. Pergamon press, New York, pp. 652 - 657.
สภาพสูญญากาศในเครื่องฟรีซดราย อยู่ที่ 1.3 millibar ครับ หรือเทียบเป็น ค่า atm (1 bar = 1.02 atm) ก็จะได้ค่าประมาณ 0.00133 atm ครับ ซึ่ง ต่ำกว่าที่ 0.055 atm ที่เราคำนวณไว้เสียอีก จริง ๆ แล้วต้องดูที่ความหนา ของแก้วที่ใช้ด้วยครับ ถ้าหนาพอสมควรก็ไม่เป็นไร ภาพข้างล่างเป็นตัว อย่างของเครื่องฟรีีซดราย อีกอันหนึ่งครับ ซึ่งทำจากโลหะ stainless ส่วนฝาปิดด้านหน้าเป็นพลาสติกใส ความหนาหนึ่งนิ้วครับ
