Site hosted by Angelfire.com: Build your free website today!


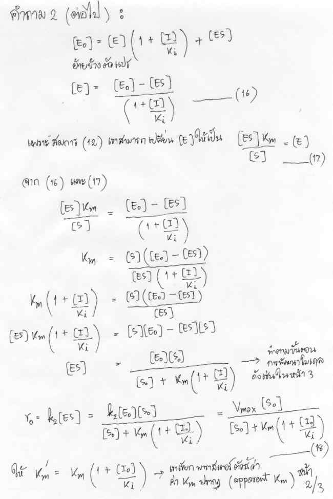
ทำความเข้าใจที่มาของสมการเอนไซม์
Michaelis-Menten kinetics (9 เม.ย. 45)


เปรียบเทียบสมการเอนไซม์ที่มีค่า Vm แตกต่างกัน

เปรียบเทียบสมการเอนไซม์ที่มีค่า Vm แตกต่างกันที่ Km = 5 mM (ภาพ close up ของภาพบน)

เปรียบเทียบสมการเอนไซม์ที่มีค่า Km แตกต่างกันโดยมีค่า Vm เท่ากันที่ 1 mM/h


หากมีข้อแนะนำกรุณาติดต่อที่อีเมลล์ : Practical_x_2@hotmail.com