Site hosted by Angelfire.com: Build your free website today!
 
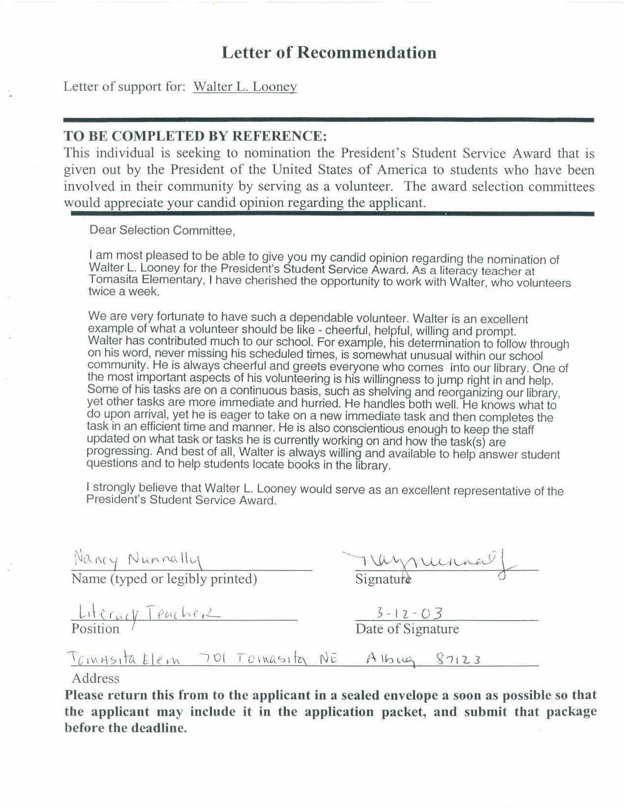
Letter of Recommendation from Nancy Nunnally

Worried about money?
Lose those worries by adding a
second paycheck with Strong Future International.
Get started FREE. Start seeing money within a few weeks. Learn more at: Strong Future International


My new web pages


HIROSHI


The Small Business Specialist