| [Anterior] [Indice] [Siguiente] | ||

SIMULACION DE SISTEMAS MECANICOS

Figura 1.
PARTE I
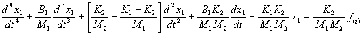
Se determino con anterioridad que el modelo matemático usaría como variable el desplazamiento de la masa M1, es decir x1; entonces la ecuación es :
![]()

Figura 2.

Figura 3.
Se triplico el sistema de la figura 2, y se observaron simultáneamente el valor de salida del sistema de acuerdo a los parámetros establecidos para cada uno. Se tomaron inicialmente valores fijos para cada elemento ( B1=1.5, K1=1, K2=1.5, M1=1, M2=1); posteriormente se escogieron al azar tres de los elementos ( B1, K2, M2) y se realizaron cálculos y simulaciones con valores cercanos tanto por encima como por debajo de los valores fijados inicialmente. Estos procedimientos nos dejaron los siguientes aspectos para resaltar :
Cabe anotar que se aplico un f(t) igual a la unidad.

Figura 4.
PARTE II
![]()

Figura 5.
Inicialmente se opto por fijar unos valores a los elementos del circuito de la figura 4. Estos valores fueron : R = 6

Figura 6.
De acuerdo a los resultados obtenidos, luego de experimentar cambios en los valores de cada uno de los elementos del sistema, concluimos que a medida que el valor del condensador y la resistencia aumentan, el circuito tiene un mejor comportamiento dejando los demás elementos con los valores definidos con antelación. Por lo contrario, para el sistema resulta mejor que el valor de la inductancia disminuya. La mejoría en el sistema radica en la suavidad y la rapidez con el sistema se estabiliza. La gráfica 6 muestra el comportamiento al variar uno de los elementos en el sistema; como se aprecia la caída es de forma exponencial decreciente, ya que los valores que se le dieron a los distintos elementos, hace que las soluciones del sistema de ecuaciones diferenciales propias del circuito de la figura 5, tengan raíces reales y diferentes.
| [Anterior] [Indice] [Siguiente] | ||