| Maths Glossary | Algebra | Decimal Fractions | Directed Numbers | Factorials | Fractions |
| Geometry | Multiplying Out Brackets | Percentages | Probability | Solving Simple Equations |
Algebra
Linear and Quadratic Equations
Solving Linear Equations
Example 1
Equations tell us that two expressions containing unknown quantities are equal.
To solve an equation we need to find all possible values of the unknown quantities that will make the two given expressions equal. Although it is sometimes easy to spot the solution to a simple equation we cannot be sure that trial and error will give us all possible solutions. We need, therefore, to develop standard procedures for different types of equations.
Solutions of equations are also called roots of the equation. Having found what you think are all possible solutions it is important to check that you are correct by showing that each does satisfy the original equation. Checks are only included in the first example of each type below, but should be done in all cases.
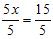
| Solve | 6x - 5 | = | 10 + x |
| Then : | 6x - x = 10 + 5 | ||
| Simplify : | 5x = 15 | ||
| Divide each side by 5 : | | x = 3 | |
| Check: | With x = 3, | LHS = 6 x 3 - 5 = 13 | RHS = 10 + 3 = 13 |
| Solve | 5 ( 4 - x ) - 3 ( 4x - 5 ) | = | 52 |
| Multiply out the brackets : | ( 20 - 5x ) - ( 12x - 15 ) | = | 52 |
| Remove brackets : | 20 - 5x - 12x + 15 | = | 52 |
| Collect like terms : | - 17x + 35 | = | 52 |
| Subtract 35 from each side : | - 17x | = | 17 |
| Divide by 17 to give solution x | = | 1 |
| = | ![]() | |
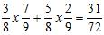
| Simplify : | 15x + 12 (2x - 1 ) | = | 5 x 7x |
| Combine like terms: | 15x + 24x - 35x | = | 12 |
| Simplify : | 4x | = | 12 |
| Divide by 4 to give the solution | x = 3 |
| Consider | |||
| (i) | 2x + 1 | = | 2x + 4 |
| (ii) | 3x + x + 8 | = | 4x + 12 - 4 |
(i) Subtracting 2x from each side gives 1 = 4, which is nonsense.
The equation 2x + 1 = 2x + 4 has no solutions.
(ii) Simplifying : 4x + 8 = 4x + 8, which is true for all values of x.
This is an example of an identity and is often written 4x + 8 „k 4x + 8
| With simple division we can see that | ![]() |
Therefore 1/4 = 0.25
That’s the easy bit.
In some cases we do not have a simple division, for example our other little friend 1/3 .
| With simple division we can see that | ![]() |
This actually means that 1/3 = 0.333333333 with the threes going on until we run out of time.
In this case we use a term known as rounding up.
Because the first fraction we dealt with only had two numbers after the decimal point it is fair enough to assume that the second one can be the same.
Therefore 1/3 = 0.33
The fact that we only have the two figures after the decimal point means that the answer is correct to 2 D.P.
An example of this could be:
What is 1/3 divided by 1/4. Give the answer to 3 D.P.
As the answer has to be to a certain number of decimal places it is obvious that there is a need to convert the fractions to decimals at some point.
Whether you decide to convert before or after you have carried out the sum is entirely up to you but it may be a good idea to do both – just for the practice and cause there’s nothing worth watching on T.V.
We already know that 1/3 divided by 1/4 = 4/3 so we could do the 4 divided by 3 bit and find and answer.
We also know that 4 / 3 = 1 and 1/3 so we could work from there.
Or, alternately, we could divide 0.333 by 0.025.
The most important thing to remember, whatever we do is that the answer must have three figures behind the decimal point.
To best understand directed numbers a number line is useful:

Examples.
Using the number line, calculate the following,
| a. | 2 + 3 |
| b. | –2 + 6 |
| c. | – 4 + 2 |
| d. | – 2 – 3 |
| e. | – 3a – a |
Answers | |
| a. | Start at the number 2 and add 3 by moving 3 places to the right ending at the answer, 5 |
| b. | Start at the – 2 and add 6 by moving 6 places to the right ending at the answer, 4 |
| c. | Start at the – 4 and add 2 by moving 2 places to the right ending at the answer, – 2 |
| d. | Start at the – 2 and subtract 3 by moving 3 places to the left ending at the answer, – 5 |
| e. | Start at the – 3 and subtract 1 by moving 1 places to the left ending at the answer, – 4. The answer is then – 4 a |
Try the following exercises using a number line.
| 1 | 2 + 3 |
| 2 | – 3 – 4 |
| 3 | – a + 3a |
| 4 | – a + 3a |
| 5 | –2 + 3 –5 |
| 6 | –2y + 3y – y |
| 7 | – x + x – 2x |
| 8 | 3y + y |
| 9 | 2 – 4 – 1 |
| 10 | 3x – 5x |
The product of all the integers from 4 down to 1 is called 4 factorial and written 4!
Then 4! = 4 x 3 x 2 x 1 = 24
Similarly 6! = 6 x 5 x 4 x 3 x 2 x 1 =720
n! = n ( n – 1 ) ( n – 2 ) ….3 x 2 x 1
As a special case we define 0! = 1
| (i) | Evaluate |
| (ii) | Express 10 x 9 x 8 in factorial form. |
| (i) | | (ii) | |
Solution.
Any one of the four ways from A to B can be combined with any one of the three ways from B to C.
Hence there are 4 x 3 = 12 ways of going from A to C.
This is true in general : if one selection can be made in p ways and a second selection in q ways, the two selections together can be made in p x q ways.
Solution.
The first letter may be chosen in three ways. When the first place is filled two letters remain, either of which can be put second. The remaining letter is placed third.
Number of different arrangements = 3 x 2 x 1 = 6 = 3!
(i) with repetition, (ii) with no repetitions?
Solution.
(i) The first letter may be chosen in 26 ways
(ii) The second letter may be chosen in 26 ways
(iii) The third letter may be chosen in 26 ways
Number of sets of three letters = 26 x 26 x 26 = 263 = 17576
(iv) The first letter may be chosen in 26 ways
(v) The second letter may be chosen in 25 ways
(vi) The third letter may be chosen in 24 ways
Number of sets of three letters = 26 x 25 x 24 = 15600
| This can be written in factorial form as |
|
These are the number of permutations of 3 things from 26. Note that the order of the letters is important, for example AFX is different to FXA.
Fractions.
Addition
Subtraction
Multiplication
Division
Vulgar
Cancelling down
The number on the top of a fraction is the numerator (tells you how many bits).
The number on the bottom of a fraction is the denominator (tells you how big the bits are).
1/4 = 1 divided by four
1/3 + 1/3 = 2/3
1/4 + 1/4 = 2/4
(we’ll worry about cancelling down later)
In cases where the denominators are different it is necessary to adjust the fractions to equalise them
In the case of 1/3 + 1/4 we can convert both fractions to twelfths
We do this by multiply the top and bottom by the bottom of the opposite fraction.
So that 1/3 becomes 4/12 and 1/4 becomes 3/12.
From here we can add the two fractions
4/12 + 3/12 = 7/12
2/3 - 1/3 = 1/3
2/4 + 1/4 = 1/4
In cases where the denominators are different it is necessary to adjust the fractions to equalise them.
In the case of 1/3 - 1/4 we can convert both fractions to twelfths
We do this by multiply the top and bottom by the bottom of the opposite fraction.
So that 1/3 becomes 4/12 and 1/4 becomes 3/12.
From here we can add the two fractions
4/12 - 3/12 = 1/12
What we have to remember here is that when we are multiplying 1/3 by 1/4 what we are actually asking is what is 1/3 of 1/4 .
This is actually the simplest of the functions that can be done as it merely involves multiplying the numerators to give the product numerator and then the denominators to give the product denominator.
So with our favourites 1/3 and 1/4
we have 1 x 1 giving 1
and 3 x 4 giving 12
therefore 1/3 x 1/4 = 1/12
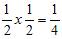
What we have to remember here is that when we are dividing 1/3 by 1/4 what we are actually asking is how many 1/4 are there in 1/3.
The important thing to remember with fractional division is that we invert the second fraction and then multiply them.
Our favourites again 1/3 and 1/4
1/3 divided by 1/4 converts to 1/3 x 4/1
we have 1 x 4 giving 4
and 3 x 1 giving 3
therefore 1/3 divided by 1/4 = 4/3
Vulgar fractions are those that have a numerator which is bigger than the denominator.
We have an example of that above with 4/3.
To convert these we merely have to work out how many whole numbers are involved.
At the time of writing this (02.32 Sundday morning) the easiest way I can think of doing this is to look at 4/3 as 3/3 + 1/3.
We know that 3/3 = 1 so that 3/3 + 1/3 must be 1 and 1/3
When we have something like this we can cancel it down by dividing both the numerator and denominator by the same number.
With 2/4 it can be seen that both can be divided by 2 so that we have:
2/4 = 1/2
Addition of Fractions.
Adding fractions with common denominators is simply a matter of adding the numerators together. Subtraction of Fractions.
Subtracting fractions with common denominators is simply a matter of subtracting the numerators. Multiplication of Fractions.
Probably the most confusing thing about the multiplication of fractions is the fact that the product is smaller than the parts. Normally when we multiply we expect the product to be larger than the parts.Division of Fractions.
With division of fractions we again have the fact that the answer is opposite to what we would expect. The answer is larger than the parts whereas we would expect it to be smaller.Vulgar of Fractions.
A vulgar fraction is one that farts at the dinner table. However, as you are not likely to be inviting fractions to dinner then I guess there should be another way to identify them. Oh yes that’s it.Cancelling down Fractions.
Another answer that we have above which is not very nice is 2/4Geometry
There are four types of triangle :
Irregular, Isosceles, Right Angle and Equilateral.
You’d think they’d be so simple, the least possible number of sides but so complex that it could possibly put you off looking at the rest but remember that once you solved the triangle, everything else is simple.
As we’ll see later everything is made of triangles so if in doubt you can always refer back to what you know about these cute little things.
The internal angles of a triangle will always add up to 180o
For the irregular triangle all three angles, and therefore side lengths. will be different.
The right angle triangle may or may not have irregular side lengths but one of the angles will always be 90o.
From Greek isos = equal, and skelos = leg
Quadrangles include :
Square, Rectangle, Parallelogram and Rhomboid.
A quadrangle is any polygon with four sides.
4 ( x + 3 )
The number 4 outside the bracket means that everything inside the bracket is multiplied by 4. We can multiply out the brackets as follows.
4 x x + 4 x 3
so we have
4 x +12
3 ( 2y – 6 )
Multiplying everything inside the brackets by 3 gives:
3 x 2y – 3 x 6
so we have
6y – 18
– 5 ( 4y – 6 )
giving
– 5 x 4y = – 20
and
– 5 x – 6 = 30
so that you get
– 5 x 4y – 5 x – 6
giving
– 20y + 30
With the right angle triangle the length of the hypotenuse can be calculated using Pythagoras’s theorem, i.e. the square of the hypotenuse is equal to the sum of the squares of the other two sides.
The isosceles triangle has two equal sides (and therefore two equal angles).
The equilateral triangle has all three sides the same length (and therefore equal angles). It is the simplest of the regular polygons.
Quadrangles
Regular Polyhedra
The two basics rule for any regular polyhedra are the same, i.e. all sides and angles are equal.
The first two have special names with a regular triangle being an equilateral and the regular quadrangle being the square. Multiplying Out Brackets
Exercise 1 Example 1
Multiply out the brackets in the following Example 2
Multiply out the brackets in the following Example 3
Multiply out the bracket in the following Exercise 1
Multiply out the brackets and collect like terms where appropriate.
| 1 | 2 ( 3x + 4 ) |
| 2 | 3 ( 2x + 5 ) |
| 3 | – 3 ( 3x + 4 ) |
| 4 | – 4 (x – 3 ) |
| 5 | 5 ( 2y – 7 ) |
| 6 | 3 (x + 2 ) + 5 ( 3x + 8 ) |
| 7 | 3 ( 2x + 8 ) – 3 ( 3x – 4 ) |
| 8 | 2 ( 5y + 5 ) – 2 (4x – 8 ) |
| 9 | 3 ( 3y – 7 ) + 5 ( 2y + 4 ) |
| 10 | 3 (x – 6 ) – 5 (x – 3 ) |
Percentages.
Percentages of Whole Numbers
Adding the V.A.T. to a price
Working out the discount
If we break down the word percentage into it’s syllables then we get PER - CENT - AGE .
And that’s really about al you need to understand.
Percentage means parts in 100.
Percentages are actually special fractions as the denominator is always 100.
This means that we should be able to calculate percentages quite easily from the things we already know about fractions and decimal fractions.
The best way to work out percentages is actually the easiest way,
and the easiest way is dependent on you.
Practice the different methods and see which you find easiest and always remember that there ar other methods that you can us to double check your answers if you are not sure.
If the price of a new hard drive is £50 without V.A.T. what amount of V.A.T. should be added ?
So what are we really asking ?
What is 17.5 % of 50.
And I think we are aware that 50 divided by 1 = 50.
This then gives us two fractions 17. 5 / 100 and 50 / 1.
We can then multiply these to give ( 17. 5 / 100 ) x ( 50 / 1 ) = 875 / 100.
Cancelling down this fraction then gives us 8.75
Therefore 17.5 % of 50 = 8.75
Cheating is quite simple here.
If 17.5 % is 17.5 / 100 then 17.5 % must also be ( 17.5 / 2 ) / 50
This means that we can just divide the 17.5 by 2 to give the result.
I really do hope that that bit made sense. Because while it isn’t always that easy it can save quite a bit of work in many cases.
In this case we take the 17. 5% as 17.5 / 100 and convert it to a decimal fraction.
A 17.5 divided by 100 gives 0.175 we can multiply 50 by 0.175 to give 8.75.
There is a 50% chance that this is where percentages start to become tricky….
Or perhaps not.
If it is a 50% chance than what does that mean ?
50% is 50 / 100 is 1/2.
Yeah I know you’ve got the hang of that bit already but I like saying it – anyway there is a theory that says that the more times you go over things the better you remember them.
I think it was some psychologist that came out with that but I can’t remember ‘cause I only read it once.
Anyway enough waffling – back to percentages.
If the price of a new hard drive is £50 without V.A.T. what is the cost when V.A.T. is added ?
So what are we really asking this time ?
What is 50 plus 17.5 % of 50.
( 17. 5 / 100 ) x ( 50 / 1 ) = 875 / 100 to give us 8.75.
and then add this to the 50 to give a total of £58.75
As we mentioned earlier 17.5% is equivalent to multiplying by 0.175
And obviously 100 % is equivalent to multiplying by 1.
What we are looking for here is the original price plus the V.A.T.
So why shouldn’t we just say £50 x 1 plus £50 x 0.175
Or simplifying that we have £50 x 1.175 giving a result of £58.75.
Or is that a different Blue Cross ???
Anyway, they’re having one of their Blue Cross Sales and giving a 20% discount on all items.
Unfortunately, due to the standard of staff that they employ these days there are no new prices on the items so you have to work them all out yourself.
There’s a Slow Cooker marked up at £50 but with a blue cross on it.
What is the price you would have to pay ?
There are two possible questions here
If you don’t understand why this is the case at this point it might be a good idea to try all the methods of calculation until you find the one that makes the most sense to you.
Where were we – Oh yes in the kitchen department of Debenham’s.
20% of 50 is 10 so the question becomes what is 50 -10
Therefore a 20% discount on a £50 item gives a sale price of £40
80 % of 50 = 0.80 x 50 = 40
Examples
If an unbiased die is thrown there is no reason to expect any one of the faces, say the 4, to show rather than the others. It would be expected that a 4 would appear on average once in six throws. This idea is fundamental to a mathematical study of probability.
Generally, if an experiment has m + n outcomes, each of which is equally likely to occur, m outcomes being considered successful and n unsuccessful, then the probability of any one realisation of the experiment being successful is
Percentages of Whole Numbers.
Let’s use 17.5% (as it is the current V.A.T. rate) and go for 50 as a value.
The question then is :Version One.
As we pointed out above a percentage is a part of 100 so that 17.5 % = 17.5 divided by 100.Version Two.
What is 17.5 % of 50.Version Three.
Converting the fractions to decimal fractions first. Adding V.A.T. to a price…
Again we will start by using 17.5% (as it is the current V.A.T. rate) and go for 50 as a value.
And the question this time is :Version One.
We can do this by calculating the 17.5 % Version Two.
Or we could go for the “posh” version.Working out the discount.
Debenham’s are doing it again – they are selling off stray animals. The obvious one is what is 50 – 20% of 50
From what we have learned previously we can say that 20% of 50 is 10 The alternative question here is what is 80% of 50
You may find this easier to calculate.PROBABILITY.
If an unbiased die is thrown there is no reason to expect any one of the faces, say the 4, to show rather than the others. It would be expected that a 4 would appear on average once in six throws. This idea is fundamental to a mathematical study of probability.
Multiplication of Probabilities
Examples
Addition of Probabilities
Examples
Exercises
and the probability of it being unsuccessful is
.
| In general | |
Probability of drawing an ace from a pack of cards = P(Ace) = 4/52 = 1/13
Probability of drawing a heart from a pack of cards = P(Heart) = 13/52 = ¼
Probability of getting a number greater than 4 with a die = P( 5 or 6 ) = 2/6 = 1/3
Probability of drawing a King, Queen or Jack from a pack of cards = P ( K, Q or J ) = 12/52 = 3/13
Note that all probabilities lie between 0 and 1
The probability of an impossible event (for example throwing an ace with a coin) is zero
The probability of a certain event ( for example throwing either a head or a tail with a coin) is one.
(i) 5 (ii) an even number (iii) a number greater than 2?
Solution.
Total number of possible outcomes of experiment = 6 { 1, 2, 3, 4, 5, 6 }
(i) Number of successes = 1. Hence P (3) = 1/6
(ii) Number of even numbers = 3 { 2, 4, 6 }. Hence P (even no.)=3/6 = ½
(iii) Number of successes = 4 { 3, 4, 5, 6 }. Hence P ( >2 ) = 4/6 = 2/3
Solution
(i) Number of possible outcomes when rolling two dice = 6 x 6 = 36
9 can be obtained from 6 + 3, 5 + 4, 4 + 5, 3 + 6; that is in four ways.
Then P( 9 ) = 4/36 = 1/9
(ii) As all probabilities add up to 1, P (not throwing 9 ) + P ( 9 ) =1
Hence P ( not throwing 9 ) = 1 – P ( 9 ) = 1 – 1/9 = 8/9
Note: this is far quicker than calculating P ( 2 or 3 or 4….or 8 or 10 …. or 12 )
Solution.
Number of possible deputations = number of ways of choosing 2 from 12
=
That is,
If the outcomes of A and B are independent, P ( A ) = P1 and P ( B ) = P2 then
P (A and B ) = P1 x P2
Solution
P ( 6 ) = 1/6 P ( Ace ) = 4/52 = 1/13
Hence P ( 6 and Ace ) = P ( 6 ) x P ( Ace ) = 1/6 x 1/13 = 1/78
Solution
P ( 2H ) = P ( H ) x P ( H ) = ½ x ½ = ¼
Solution.
(i) P (red from 1st bag) = 3/8 P( red from 2nd bag) = 2/9
Hence P ( R R ) = 3/8 x 2 / 9 = 6/72 = 1/12
(ii) P (white from 1st bag) = 5/8 P( white from 2nd bag) = 7/9
Hence P ( W W ) = 5/8 x 7 / 9 = 35/72
Solution
Probability that 1st person is a man = 4/12 probability that 2nd person is a man = 3/11
Probability that they are both men = 4/12 x 3/11 = 1/11
A = tossing a 4 with a die
B = tossing a 2 with a die
A = tossing 2 heads with two coins
B = tossing 2 tails with two coins
But
A = drawing a red card from a pack
Are not mutually exclusive as the red queens
are in both A and B
B = drawing a queen from a pack
If A and B are mutually exclusive, P(A) = P1 and P(B) = P2 then P (either A or B)
= P(A) + P(B) = P1 + P2
Examples.
(i) Probability of throwing a 2 or 4 with a die
= P ( 2 or 4 ) = P (2) + P(4) = 1/6+1/6 = 1/3
(ii) Probability of drawing an ace or a king from a pack
= P ( Ace or King ) = P ( Ace) + P ( King) = 4/52 + 4/52 = 2/13
Solution.
The balls will be of different colours when
either the first red (R) and the second is white (W)
or the first is white (W) and the second is red (R)
P(different colours) = P(RW) + P(WR)
= P(R) P(W) + P(W)P(R)
=
P(1 ball of each colour) = 1 – P(2red) – P(2 white)
=
Solution.
We know P(0H) + P(1H) + P(2H) + P(3H) + P(4H) =1
Probability of at least one head.
=P( 1H)
= P(1H) + P(2H) + P(3H) + P(4H)
=1 – P (0H) = 1 – P (TTTT)
=
(i) two of them are spades
(ii) at least two of them are court cards
Solution
(i) P(2 spades) = P (SS$ or S$S or $SS)
= 3P(SS$) (as each order is equally likely)
=
(ii) P (at least two court cards) = P( 2C) = P(2C or 3C)
= P(2C) + P(3C) = SP(CC¢) + P (CCC)
=
Note that in each case
Probability = number of orders x probability of any one order
Solution.
They will get the same number of heads if they both get 0, 1 or 2 heads.
A B
Prob. of 0 heads
=
Then P (A and B throw 0 heads)
P (A and B throw 1 head)
P (A and B throw 2 heads)
Hence probability that A and B throw the same number of heads
2. A bag contains 17 counters marked with the numbers 1 – 17. A counter is drawn and replaced; a second drawing is made. What is the chance that the first number drawn is even and the second odd?
3. A coin and die are thrown together. What is the chance of a head and a 3 or a tail and a 4?
4. Statistics show that 2% of fruit boats arrive with their cargoes ruined. If two boats are due to arrive what is the probability that
(i) both cargoes are ruined
(ii) only one is ruined
(iii) neither is ruined
5. A hits a target 80 times out of 100 shots, whilst B does so 90 times out of 100 shots. What is the chance that the target is hit if A and B each fire once?
6. A man applies for 3 jobs and his chances of getting the jobs are ½, 1/3, ¼, respectively. What is his chance of being offered at least one of the jobs?
7. A gallup poll establishes that 3 out of 5 people are in favour of a certain proposal. What is the chance that if 3 people are chosen at random there will be a majority against the proposal?
8. Four cards are drawn from a pack of 52. Find the chance of there being
(i) 1 from each suit,
(ii) all from the same suit
9. An insecticide is tried on flies. It is found that 80% are killed on the first application, but those that survive develop a resistance so that the proportion killed in any subsequent application is only one half that of the preceding application. Find the probability that a fly will survive 5 applications of insecticide.
10. Find the chance of throwing 8 with two dice.
11. A bag contains 5 white and 4 black balls. They are drawn out one by one. Find the chance that they are alternatively white and black.
12. A and B draw from a bag containing 3 red balls and 4 white balls. Find their respective chances of first drawing a red ball, the balls when drawn not being replaced.
13. A and B toss a coin alternately ( A first ) and the first to toss a head is the winner. Find their respective chances of winning.
14. A, B and C throw a die alternately (in that order) and the first one to throw a 6 wins. Find their respective chances of winning.
15. In the National Lottery six balls are chosen from forty nine, each ball carrying a number from 1 to 49. Find the probability of
(i) winning the jackpot (all six numbers correct)
(ii) winning the smallest prize (£10) by predicting three numbers correct
(iii) predicting four numbers correct
(iv) predicting five numbers correct
If you have predicted five correct numbers out of six you can win a large prize by predicting a seventh ball (the bonus ball). Find the probability of winning this prize.
Show that the probability of winning any sort of prize is about 1 in 54.
Examples.
Probability of throwing a head with a coin = P (H ) = ½Example 1
If a die is thrown once what is the probability of obtainingExample 2
What is the probability of (I) throwing 9, (ii) not throwing 9, with two dice?Example 3
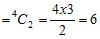
A committee consists of 4 men and 8 women from which two are to be chosen at random to go on a deputation. What is the probability that the two chosen will both be men?
Number of successes = number of ways of choosing 2 men from 4
Hence the probability of choosing two men = 6/66 = 1/11
Multiplication of Probabilities ( A and B )
Suppose two experiments A and B are performed ( simultaneously or otherwise ) and have outcomes which are independent of each other. Then the probability of both experiments being successful is the product of the probabilities of success in the individual experiments.Example 1
Find the probability of throwing a six with a die and drawing an ace from a pack of cards.Example 2
Find the probability of getting two heads when two coins are tossed.Example 3
One bag contains 3 red and 5 white balls while another contains 2 red and 7 white. If one ball is to be extracted from each bag find the probability of drawing (i) 2 red, and (ii) 2 white.Example 4
Repeat example 3 using a different method. Addition of Probabilities ( Either A or B )
Two events are mutually exclusive if the occurrence of one excludes the other. For example:Example 1
One bag contains 3 red and 5 white balls, while another contains 2 red and 7 white, Find the probability that when one ball is taken at random from each bag they will be of different colours.
Note that, from Example 6, P(2R) + P(2W) + P (1R, 1W) =
We are certain to get either 2 red, 2 white or 1 ball of each colour.
The fact that all probabilities add to 1 gives an alternative method for finding some probabilities.
Example 2
A coin is tossed 4 times. Find the probability of throwing at least one head.
Example 3
Three cards are drawn from a pack. Find the probability that
or 13.8 %
or 22.1 %Example 4
A has three coins and B has two. They both toss all their coins together. Find the probability that they will get the same number of heads.
=
Prob. of 1 head =
=
Prob. of 2 heads Exercises
1. What is the probability of throwing a number greater than 4 with a die?Solving Simple Equations.
Rules
Example 1
Example 2
Exercise One
Exercise Two
| 1 | Remove any brackets |
| 2 | Simplify each side of the equation if it is possible |
| 3 | Solve the equations, as before, keeping each side balanced |
6 ( x + 3 ) – 2 = 52
Multiply out the bracket
6x + 18 – 2 = 52
Simplify the left hand side of the equation by collecting like terms
6x + 16 = 52
We now need to take 16 from each side of the equation to obtain the x term on its own.
6x + 16 – 16 = 52 – 16
giving
6x = 36
The x is multiplied by 6. Divide both sides of the equation by 6.
giving
x = 6Example 1.
Find x if, 
| 1 | 2 (x + 3 ) = 12 |
| 2 | 3 (x – 7 ) = 15 |
| 3 | 4 ( 2x – 1 ) = 20 |
| 4 | 5 ( 3x – 7 ) = 25 |
| 5 | 2 ( 4x – 3 ) = 34 |
| 6 | 2 ( 5x + 11 ) = 52 |
| 7 | 3 (x + 20 ) = 96 |
| 8 | 5 (x + 7 ) = 45 |
| 9 | 7 (x + 2 ) = 49 |
| 10 | 9 (x + 6 ) = 36 |