Site hosted by Angelfire.com: Build your free website today!

Problema # 5



Los fisiólogos de animales han determinado experimentalmente que el peso (en kg.) y el área superficial (en m2) de un caballo típico están relacionados por la ecuación empírica S=0.1W2/3. En donde S es el área superficial y W es el peso. ¿A que velocidad esta creciendo el área superficial de un caballo cuando pesa 350 kg. y esta ganando peso a razón de 200 kg. al año.


Para calcular la velocidad de crecimiento tomamos S como f(W).


f(W)=0.1W2/3



Posteriormente se deriva esta función ya que la derivada es la velocidad, si la función es el área superficial entonces la primera derivada será la velocidad a la que crece o disminuye esta área superficial.





Se nos pide el valor de la velocidad cuando pesa 350 kg. evaluamos este valor en la primera derivada.



Cuando pesa 350 kg. tiene un crecimiento de área de superficie de 9.45 * 10-3 m2/kg




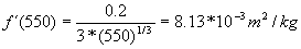
Tomando en cuenta de que esta aumentando 200 kg. al año, le sumamos 200 kg. a los 350 kg. que ya pesaba el caballo para obtener la velocidad a la que estaría creciendo después de haber pasado un año. Evaluaríamos entonces 550 en la primera derivada.





Si siguiera aumentando 200 kg. al año para el segundo año ya pesaría 750 kg. Evaluamos este valor en la primera derivada.



El caballo después del primer año estaría creciendo a una velocidad de 8.13*10-3 m2/kg.




El caballo cuando esta ganando a razón de 200 kg. al año tiene una velocidad cambiante, la velocidad a la que esta creciendo disminuye. Esto es perfectamente lógico debido a que el caballo tiene un limite de crecimiento y cada año van creciendo menos hasta llegar a su limite. Tal y como lo hacen los seres humanos.

Volver al problema # 1

Volver al Índice de Problemas

Volver a la Página Principal